增施有机肥可少用一半化肥并维持最高的玉米产量
Abstract
Excessive consumption of chemical fertilizer and pesticide leads to serious environmental pollution,while debases the quality of agricultural ecosystem. To decrease the damage of chemical fertilizer and maintain or increase the crop yield, straw-fertilizing-field after feeding animals is one important approach. Leaf area index and dry matter accumulation in M2 and M3 treatments were significantly higher than that of M1 (P<0.05). When organic fertilizer reached to 75kg·hm-2, reduced a half of common chemical fertilizer consumption realized not only the highest dry matter accumulation, but also gained the highest grain yield (12884.4 kg·hm-2). However, when organic fertilizer was added to150 t · hm–2, the increasing of both grain yield and biomass become smaller, indicating that the75kg·hm-2 organic fertilizer increasing at the base of M2 was ineffective. That the treatment of M2F2 gained the highest yield might be due to modest proportion of dry matter distribution in different organs, achieving the harmonization of source, sink and flow. Those factors together benefited for thetransportation of photosynthate to grain. This research could provide a useful reference for usingchemical fertilizer reasonably and lessening environmental pollution while guaranteeing the grain safety.
Keywords: organic fertilizer; mineral fertilizer; maize; leaf area index; dry matter accumulation; yield
1. 引言
高投入、高产出和高效率为农业的主要特征。为保证高产,需要向耕地持续投入大 量化肥 [1]。但是,滥施化肥不但不能有效增产反而会导致土壤理化性状改变,造成严重的 环境污染。以氮肥为例,我国是世界上最大的氮肥生产与消费国[2],早在 1998 年我国农业 化学氮肥施用量就已突破 2.47×107 t,占世界同期氮肥用量的 29.7%[3]。目前,我国化肥平均 施用量达 434.3 kg • hm-2,是国际化肥安全施用上限(225 kg • hm-2)的 1.93 倍,但利用率仅为
40%左右, 其余 60%的化肥贡献给了土壤和地下水[4]。农产种植成本大幅上升、品质下降及 种地效益下降等负面问题的出现,也给化肥农业带来挑战。大量化肥引起生态环境恶化,已 经成为全球生态问题,受到广泛关注[5]。
具有“长效肥料”之称的有机肥, 具有养分齐全、平衡、稳肥性好、后效长的优点[6]。长
期施用有机肥可改良土壤团块结构;提高土壤有机质含量;改善土壤理化性质;增加土壤生 物多样性;减少土壤对氮磷钾的固定,显著提高土壤肥力。有机肥中的碳水化合物,在分解 过程中释放出热量,有利于提高地温,改良土壤耕性,延长土壤适耕期[7,8]。有机肥亦是我 国传统的农家肥料,50年代初,全国有机肥料占总用肥量的99%以上,近年来,由于化肥的 大量使用,有机肥占总用肥的比例下降到30%以下[7],导致耕地越种越瘦。
针对化肥和农药给生态环境和农产品所带来的诸多问题,国内外学者提出了许多替代模 式,寻求农业持续的新途径,其共同特点是保护环境,减少化肥、农药的施用,最大限 度地依靠有机肥来培肥土壤,保持肥力,持续供给农作物养分[9]。但是,在具体应用成 功的例子依然较少,其原因是对有机肥使用效果缺乏系统的试验证据。如何尽可能多地将农 业和生活有机质废物投入再循环,在保障粮食安全的同时,减少化肥用量,改善农业生态环 境是本研究的切入点。本研究的假设是,如果秸秆中的养分通过动物过腹还田,粮食带 走的养分不能有效还田,可通过增施化肥解决,按照粮食与秸秆比例为 1:1 ,与现行的 化肥施用量相比,仅施加一半的化肥即可保证粮食产量不下降,甚至因改造了土壤理化和生物性质,产量还可略有提高。本研究通过常规玉米在大田条件下试验,增加有机肥减少化肥用量,并保证玉米高产稳产,为高产、优质、生态、安全粮食生产提供科学依据。
2. 材料和方法
2.1 试验设计
本试验于 2005 年 10 月~2007 年 11 月在山东省泰安市山东农业大学玉米科技园
(E117°9′,N36°9′) 进行,试验地所在区域为暖温带大陆性半湿润季风气候区,年平均气温
13℃,平均降水量 675.3 毫米, 年均日照时数 2527.9 小时,年日照百分率 58.3%,年内无霜
期 200 多天。
采用裂区设计,有机肥用量为主区,肥料梯度依次为 0(M1), 75(M2), 150(M3)t • hm–2; 化肥处理为副区,化肥用量(单位 kg • hm–2)为,F1 (N 84; P2O5 28; K2O 67)、F2 (N168; P2O5
56; K2O 134)、F3(N336; P2O5 112; K2O 268),共 9 个处理,栽植小区面积为 27m2,小区之间
设 50cm 宽保护行,3 次重复。 供试材料为普通玉米(Zea mays L.)郑单 958,行距 67cm、株
距 25cm,种植密度为 60000 株•hm–2,开沟穴播,每穴 2 粒,播种深度为 5cm,其它管理措 施同常规大田。
考虑到今后发展秸秆畜牧业“过腹还田”,有机肥采用半熟的牛粪。化肥中氮肥为尿素及 磷酸二铵((NH4)2HPO4),磷肥为磷酸二铵((NH4)2HPO4),钾肥为硫酸钾(K2SO4)。氮肥分 两次施用,播种前基施总量的 1/3,大口期施 2/3,有机肥及磷、钾肥播种前一次性基施。两 年试验结果趋势基本一致,表现出很好的重复性。本文以 2006~2007 年度试验数据进行分析。
2.2 叶面积指数
叶面积指数的测定采用叶面积指数法[10],测量每片叶的叶长(L),以叶片最宽处的宽 度作为叶宽(W),计算单株叶面积(LA)、叶面积指数(LAI):
单株叶面积(LA)=∑L×W×0.75
叶面积指数(LAI)=单株叶面积×单位土地面积株数/单位土地面积
2.3 生物量及干物质分配
在玉米关键生育时期取样,大喇叭口期分茎秆和叶片两部分,抽雄期分茎秆、叶片、苞 叶和穗轴四部分,成熟期分茎秆、叶片、穗轴、苞叶、籽粒五部分,于干燥箱 105℃杀青 30
min 后,80℃烘干至恒重,测定干物质积累量。
2.4 数据分析
本试验分 9 个小区 3 次重复。数据分析采用 Microsoft Excel 2000 和 DPS7.5 统计分析软 件进行数据处理和差异性检验,多重比较运用 LSD 法。采用 SigmaPlot10.0 绘制图形。当 P<0.05 时,视各处理之间的差异为显著。
3. 结果
3.1 叶面积指数的动态变化
由表 1 可以看出,有机肥处理的玉米叶面积指数显著高于不施有机肥处理组,其中大喇 叭口期和成熟其均以 M3(150 t•hm–2)处理最高,分别高出平均值 7%和 8%。不施有机肥时, 抽雄期和成熟期叶面积指数均以 F2 处理略高,分别高出平均值 3%和 5%,统计检验不显 著。有机肥施用量 M2(75 t•hm–2)水平下,F1 和 F3 处理的叶面积指数极显著高于 F2 处理,3 个时期 F2 处理的叶面积指数分别较均值低 6%、19%和 7%。随着生育期延长,玉米叶面积指数均呈下降趋势,即使如此,在有机肥施用量为 75 t•hm-2 的条件下,正常化肥用量 F3
处理的玉米叶面积指数依然表现最大。有机肥 M3 水平下,叶面积指数以 F1 处理最高,但 随生育进程推进,从抽雄至成熟期的叶面积指数以 F2 处理的变化幅度最小,为 4.6~4.8,而
F1 和 F3 的变化幅度分别为 4.9~5.7 和 4.6~5.2。
3.2 干物质积累量动态变化
表 2 显示,有机肥施用量 M1 处理下的玉米单株干物质积累量显著低于 M1 和 M2 处理。
在 M1 水平下,大喇叭口期干物质积累量以 F3 为最高,F2 与 F3 处理无显著差异;抽雄期 化肥处理间的干物质积累量差异表现为 F1>F3>F2;成熟期化肥处理间的干物质积累量差异
表现为 F1>F3>F2,差异达极显著水平。M2 水平下,大喇叭口期和抽雄期化肥处理间的差
异表现一致,F2>F3>F1;成熟期干物质积累量 F2 与 F3 处理之间无显著差异,但极显著高
于 F1 处理(P<0.0001),说明在有机肥用量为
3.3 干物质在不同器官中的分配
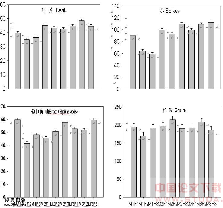
由图 1 可以看出,成熟期叶片干物质分配量随有机肥施用量的增加而增加。不施有机肥 时,F1 处理的叶片干物质分配量高于其它两个处理;有机肥 M2 水平下,干物质分配量 F1
与 F2 处理之间无显著差异,但显著高于 F3 处理;有机肥 M3 水平下,F2 的干物质分配量 显著高于 F1、F3 处理。不同配施比较发现,以 M
图 1 成熟期干物质在各器官中的分配量
Fig.1.Amount of dry matter distribution in different organs at maturity
不施有机肥的 M1 处理中,玉米茎干物质分配量显著低于施有机肥的 M2 和 M3 处理。
有机肥 M1 水平下,分配到茎中的干物质随化肥施用量的增加而降低;有机肥 M2 水平下,
茎干物质分配量在化肥处理间的差异表现为 F3>F1>F2;而在有机肥施用量 M3 水平下,F1
处理的茎干物质分配量显著低于 F2 和 F3 处理,但 F2 与 F3 处理之间无显著差异。不同配 施处理比较,M2F3、M3F2 和 M3F3 无显著差异,但高于其它处理;其次为 M2F1 和 M3F1 处理,M2F2 与 M1F1 处理无显著差异,M1F2 处理较低,M1F3 最低。
苞叶+穗轴的干物质分配量在 M1、M2、M3 水平下分别为 49.9g·stalk-1、51.4 g·stalk-1、
54.8 g·stalk-1。M1 水平下,苞叶+穗轴的干物质分配量 F1>F3>F2;M2 水平下,苞叶+穗轴 的干物质分配量随化肥用量的增加呈递增趋势;M3 水平下,F3 处理获得了最高的干物质分 配量,F1 与 F2 处理无显著差异。不同配施处理间比较,处理间差异表现为 M1F1、M2F3、 M3F3>M3F1、M3F2、M2F2>M1F3>M2F1>M1F2(P<0.001)。
单株籽粒干物重以有机肥 M1 处理最低,M2 与 M3 之间无显著差异。有机肥施用量
M1 水平下,F1 与 F3 处理无显著差异,但显著高于 F2 处理;M2 水平下,M2F2>M2F1、 M2F3;M3 水平下,M3F2>M3F1、M3F3。不同配施处理间比较,处理间籽粒干物重差异表 现为 M2F2、M3F2> M2F1、M2F3、M3F1、M3F3、M1F1、 M1F3>M1F2。说明不施有机 肥时,不施化肥和正常化肥用量均利于籽粒干物重的提高,而化肥用量为正常用量一半的处 理对籽粒干物重无显著影响;在有机肥用量 75t·hm-2 和 150 t·hm-2 条件下,化肥用量降低到 正常用量一半的处理获得了最高的籽粒干物重;但增加有机肥用量一倍对籽粒干物重无显著影响。
3.4 不同器官干物质分配量的相关性分析
表 3 显示,叶片干物质分配量与茎杆的干物质分配量呈极显著正相关;叶片、茎干物质分配量与单株总干物质积累量呈极显著正相关,相关系数达 0.91 和 0.92;苞叶+穗轴和籽粒 的干物质分配量与单株总干物质积累量呈显著正相关;籽粒干物质分配量与叶片的干物质分 配量呈显著正相关。说明在试验条件下,郑单 958 的籽粒产量主要取决于光合光能器官叶 片的干物质分配量,植株总重则主要决定于叶片和茎杆的干物质分配量,其次取决于籽粒和 苞叶+穗轴的干物质分配量。
3.5 不同处理玉米籽粒产量的差异
由图 2 可以看出,不施有机肥时,籽粒产量以 F2 处理最低;在 M2 和 M3 水平下,则
以 F2 处理的籽粒产量最高,分别为
肥条件下化肥用量为常规用量的一半时产量最高。以上说明有机肥用量为

4. 讨论
农业对化肥的长期依赖,将制约农业的可持续。改良耕地质量的重点应当定位
在 “减化肥、增粪肥”。提高光合产物的循环利用可有效提高“粮食”产量,这不仅没有环境 风险,而且解决了棘手的乡村环境问题和农业的可持续发展问题[11]。理论上,秸秆中含有 的物质和能量与粮食不相上下,关键一环是通过牲畜转换,即生态学上的初级生产和次级生产链接。如果通过一定的技术措施实现秸秆“过腹还田”,如加工成微储秸草[12]为牲畜提供饲 料,进而增加有机肥,地会越种越肥,化肥用量必然下降,对水的需求也将减少,从而大大 降低种植业成本[13]。有人在水稻上研究表明适当减少氮肥用量可一定程度上提高产量[14], 但是通过严格试验检验上述假说的研究工作较少报道。本文研究发现,在有机肥施用量

75t·hm-2 前提下,在目前基础上减少一半化肥用量,玉米籽粒产量仍高于施常规化肥量的籽粒产量(图 2),但当有机肥施用量增加至 150 t·hm-2 时,籽粒产量无显著增加,化肥利用率 大幅度降低,这说明粮食生产中减少化肥投放量的空间很大。
据初步估计,如将全国 50%的秸秆利用起来,可增加牛粪 32.8 亿~38.3 亿吨,折合 2835 万~3310 万吨硫酸胺。如果坚持不懈地用有机肥养地,减少化肥用量,则一些温带和湿润 地区的盐碱地、丘陵地带等中低产田可变为高产田或中产田,这样,我国粮食生产的压力就大为减小了。目前我国农民每公顷耕地肥料投入比欧洲农民多 208 元,但粮食生产能力只相当于欧洲国家的 60%~70%。由于不合理施肥,国家每年浪费性化肥投入高达 1400 亿元。 事实上,农民使用的化肥中,60%左右没有利用并对环境造成危害[15]。有人研究发现[16], 由于长年过量施肥,每公顷氮(N)盈余 127 kg, 损失 267kg,其中氨挥发和淋洗的氮损失分 别高达 143kg 和 102kg,,对环境安全构成了严重威胁。本研究表明,有机肥施用量 M1 处 理下的玉米单株干物质积累量低于 M1 和 M2 处理;在有机肥用量为 75kg·hm-2 时,常规化 肥用量减半不会降低玉米成熟期的干物质积累,大喇叭口期和抽雄期的干物质均以 F2 处理
的最高,成熟期 F2 与 F3 无显著差异(P>0.05);当有机肥用量由 75 t·hm-2 增至 150 t·hm-2
时,干物质积累量并无显著变化,说明有机肥施用超过一定量会出现报酬递减现象。 长期施用有机肥可改良土壤理化性质、提高土壤生物活性。施用有机肥后,耕层的土壤
容重降低,总孔隙度和土壤吸附力增加[17]。Witter[18]通过 30 年的大田试验研究表明,长期 施用有机肥或有机料等提高土壤微生物量。另外,长期使用有机肥可大大提高土壤中的细菌、真菌和放线菌的数量[19]。本研究中 M2F2 处理之所以获得最高产量可能与这种有机肥和化肥配施组合可以改善土壤,促进玉米对土壤营养元素的吸收有关,具体机理有待进一步研究。
源-库关系是作物生理生态学中最重要的问题之一,它把群体光能利用和作物产量紧密 联系起来,众多学者进行了大量研究[20-26]。在玉米源-库关系方面,由于试验环境条件、供 试品种、产量水平、种植方式、处理方法以及分析角度等方面的差异,形成了不同看法,如 源限制说[20,21]、库限制说[19]、源库共同限制说[23]、品种差异说[21-24]、环境差异说[21-23]等。 有研究表明高产玉米产量的形成是其源库协调发展的结果[26]。结合不同器官干物质分配结 果(图 1),我们不难看出,籽粒产量最高的 M2F2 处理的叶片干物质分配量并不是最高,这似与表 1 中所表明的叶片干物质分配量与籽粒产量显著正相关不吻合。其原因可能存在于, M2F2 处理不同玉米器官的干物质分配比例适中,实现了源、库、流协调统一,有利于光合产物向籽粒运转,从而获得理想的籽粒产量。
5. 结论
本研究通过严格的控制试验证实,在田间状态下增施有机肥可以有效地降低化肥用量,减少环境污染,提高作物产量。在有机肥用量达到 75 t·hm-2 时,在常规化肥施用量基础上减 少一半化肥用量依然获得最高的玉米籽粒产量。有机肥增产很可能与有机肥改良土壤结构、增加土壤生物多样性和促进作物源、库、流协调发育有关。
[1]奚振邦,王寓群,杨佩珍,中国现代农业发展中的有机肥问题[J].中国农业科学,2004,37(12):1874-1878.
[2] 李菊梅,徐明岗,秦道珠,等.有机肥无机肥配施对稻田氨挥发和水稻产量的影响[J].植物营养与肥料学 报,2005,11(1): 51-56.
[3] 沈善敏.氮肥在我国农业发展中的贡献和农业氮的损失[J].土壤学报,2002,39(增刊): 12-25.
[4] 蒋高明.治理耕地污染要的是行动[J].环境杂志,2007,42.
[5] Flipse W J, and Katr BG. Source of nitrate ground water in a sewed housing development[J]. Central LingIsland, New york. Groundwater, 1984, 22: 57-65.
[6] 索东让.长期定位试验中化肥与有机肥结合效应研究[J]. 干旱地区农业研究,2005,23(2):71-75.
[7] 宋秀杰.我国有机肥利用现状及合理利用的技术措施[J]. 生态环境,1997,16(2):56-59.
[8] 唐继伟,林治安,许建新,等.有机肥与无机肥在提高土壤肥力中的作用[J]. 中国土壤与肥料,2006,3:44-47.
[9] 刘国伟.长期施用生物有机肥对土壤理化性质影响的研究[D]. 中国农业大学,2004.
[10] 马国胜,薛吉全,路海东,等,播种时期与密度对关中灌区夏玉米群体生理指标的影响[J]. 应用生态学报 2007,18(6): 1247-1253.
[11] 蒋高明.六畜兴旺才能五谷丰登[EB/OL]. blog.sina.com.cn/s/blog_49919cad010003jo.html. 2006.5.23,
[12] 石元春,发展生物质产业[J].科技日报,2005,3:2.
[13] 蒋高明.让生态农业循环起来[EB/OL[.zhanxian.cn/HuanjingBaohu/xunhuanjingji.shtml, 200,07.02
[14] 谢文法,叶惠华.化肥减量增效田间试验[J].安徽农业科学, 2007,35(22):6868,6875.
[15] 蒋高明. 我国粮食增产的空间在哪里[EB/OL]. it.sohu.com/20071228/n254349882.shtml, 2007, 12.28.
[16] 王兴仁,江荣风,刘全清,等.施肥与环境的关系[J]. 磷肥与复肥.2007, 22(5):10-14.
[17] 张 锐, 严慧峻, 魏由庆, 等.有机肥在改良盐渍土中的作用[J].土壤肥料,1997(4): 11-14.
[18] 玉米生理[M].北京:农业出版社,1987.
[19] A. Ndayeyamiye, D. Cote ,Effect of long-term pig slurry and solid cattle manure application on soil chemical and biological properties [J]. Canada Journal of soil science.1989, 69(1): 39-47.
[20] Daynard TB, et al. Contribution of stalk soluble carbohydrates to grain yield in corn (Zea mays L.) [J]. CropSci.,1969, 9:831-834.
[21] Maize Physiology[M]. Beijing: Agricultural PublishingHouse, 1987.
[22] Barnett K H, et al. Source-sink ratio alteration and its effect on physiological parameters in maize[J]. CropSci.,1983, 23:294-299.
[23] Uhart, et al. Source-sink relationship in maize grown in a cool temperate area[J].Agronomy,1991,11:863-875.
[24] 尹枝瑞.一熟制春玉米吉林省产区超高产田的理论基础与技术关键[J].中国农业科技导报, 2000, 2(3):33-37.
[25]. 李明,李文雄. 肥料和密度对寒地高产玉米源库性状及产量的调节作用[J]. 中国农业科学, 2004,37(8):1130-1137.
[26] 吴正锋,王空军,董树亭.高油玉米源、库生理特性研究Ⅰ·高油玉米产量受叶源的限制[J]. 作物学报,2005, 31(3):283-288.











