论股指期货引入对股票现货市场的联动影响
[摘 要] 股指期货作为一种规避系统风险的工具,越来越受到机构投资者的青睐。本文主要分析了引入股指期货将对现货市场产生的联动影响,讨论了蛛网模型下的期货市场对现货市场的稳定效应,并提出了股指期货市场与股票市场的互动分析模型,为今后可能产生的市场风险作好充分的防范。
[关键词] 股指期货;股票现货;联动
一、引言
随着境外机构投资者QFII的引入,基金的大规模发行上市以及交易基金(ETF)即将上市,机构投资者规避系统风险的需求就显得尤为迫切。由于股指期货本身有低交易成本、低保证金、高财务杠杆、现金交割及更能掌握整体指数趋势的优点,因此,使得股指期货广受机构及基金经理人的青睐,用来作为避险、套利的工具。随着股改的推进,股权分置这一遗留问题得以逐步解决,市场趋势正逐步由熊市转为牛市,在客观上消除了推出股指期货等衍生产品的制度性障碍。推出股指期货对丰富和完善我国金融市场、规避市场风险、参与国际金融市场竞争已经时不我待了。2006年10月23日中国金融期货交易所就四项有关股指交易的相关细则公开向社会征求意见。至此,股指期货离我们越来越近了。对于股指期货的推出会对股票现货市场产生怎样的影响越来越成为关注的焦点。
二、期货市场对现货市场稳定效应——蛛网模型
蛛网理论是考察市场均衡的恢复与稳定条件的理论。它是用供求关系解释某些生产周期较长的商品(如农产品),价格和产量在偏离均衡状态后就会发生不同波动的情况。上世纪70年代,合理预期学派曾批评“蛛网模型”忽略了决策人合理预期的作用,因此,在上世纪80年代不再流行。然而,在实际生活中,人们的决策往往是基于有限理性,而“蛛网模型”正是基于有限理性。特别是当考虑到很多商品市场价格波动的交互影响时,人们对一种商品变化趋势无法形成合理预期,便会根据当时的价格做出结果有时滞后的决策,因此“蛛网模型”还是现实的。虽然这一模型更适合对农产品市场进行分析,但由于股指期货市场与现货市场之间也有着某种延迟或时滞,故其中的稳定效应或机制还是值得在讨论股指期货时借鉴的。
利用蛛网模型提出的价格波动抑制效应分析,我们可以得出:经过期货市场调节,市场价格和产量还会围绕均衡点发生蛛网的波动,但波动的幅度趋于逐渐缩小。这主要是期货交易作为一种市场交易行为,参与者为了获利会自发对未来产品价格做出理性的估计,改善价格信息质量,为蛛网波动提供一种不断发挥作用的收敛机制,使价格和产量收敛到合理的范围之内。当然,蛛网模型本身也具有其局限性,但是尽管如此,借助大量的交易,期货市场可以形成权威性的价格信号,在一定条件下有可能增加现货市场的稳定性,提高市场的有效性。
三、股指期货市场与股票现货市场的互动关系
1.股价指数期货市场与股票市场间的价格变化存在领先或落后的关系
完全有效的期货市场和现货市场,信息交易者在任何一个市场里都是一样的,并且新信息被同时反映。因此,两个市场同时期的收益是完全相关的,且任一市场的价格变动应不至于领先或落后另一个市场反应新信息。但许多实证研究却发现两个市场间的价格变动存着领先或落后的关系。Herbst et al在1987年对S&P500、MMI指数期货与现货的研究表明,指数期货的价格变化领先现货的情况确实存在,但领先的程度少于1分种。Cheung & Ng在1991年对S&P500指数期货与现货的实证研究亦指出,指数期货领先现货15-30分钟。Fleming et al.(1996)对S&P500指数期货与现货的1988年1月至1991年3月的数据实证研究结果是指数期货领先5分钟。1998年Pizzi et al对S&P500指数期货与现货的实证研究亦指出3月和6月期货市场至少领先于现货市场20分钟。
对于亚洲新兴股指期货市场的研究主要有:Suganthi Ra-masamy & Bala Shanmugam(2003)研究了1995年到2001年6月30日马来西亚股指期货市场与现货市场的关系,在学习期和稳定期,股指期货收益要领先现货收益一天,而在高度波动期,股指期货收益要领先现货收益两天,两个市场存在高度相关。Hyun-Jung & Ryoo & Graham Smith(2004)研究了韩国股指期货对现货市场的影响。他们使用了1996年5月3日至1998年12月底每隔5分钟交易的数据,认为两个市场互为因果,但是股指期货对现货市场的领先效果要强很多,股指期货具有重要的价格发现功能,股指期货市场对市场信息的反应要比现货市场更为灵敏,但同时也增加了现货市场对信息的反应。
2.股价指数期货市场与股票市场间的成交量变化的关系
短期而言,股指期货市场与股票现货市场联动会表现出资金排挤效应。在一个缺乏做空机制股票市场中,投资者只有做多才能获利。因此,股票价格可能经常会出现被推高至脱离基本面支持的状况,这样会吸引大量的投资者将资金转向股票市场。但就长期而言,二者也存在着某种程度的互补作用。由于股指期货与股市共处在一个金融市场体系中,投资者在市场风险较能掌握的情况下,投资股市的意愿也会增加。从整体角度看,股指期货的开展会促进股市交易的活跃与价格合理波动,吸引更多的增量资金,从而推动股市更加繁荣。由于套利保值者的加入,股市的规模和流动性都有较大的提高,且股市和期市交易量呈双向推动的态势。
芝加哥商业交易所在1982年推出S&P500股价指数后,短短3年时间就大幅超过纽约证券交易所现货股票成交量。而日本情况更是惊人,其指数期货成交量远超过现货市场成交量,最高时曾超过现货市场成交量的10倍。表1列出了10个国家(或地区)的股指期货与现货成交值的比率情况。
3.股票指数样本股与非样本股之间的波动关系
股指期货推出后,衍生交易使得市场各方的需求更加多元化。由于有了对冲风险的平台以及套利机会的存在,样本股的买卖将更加频繁,相对于原有的只有预期分歧才产生的个股流动,样本股的流动性将大大增加。对于机构投资者而言,投资选股策略着重于基本面及市场整体态势,常会依个股占权重来决定,而股指所含样本股理所当然成为首选。因此,股指期货市场建立后,在使投资策略工具更加多元化的同时,其选择股指样本股较非样本股之差异性亦越大,股指样本股的流动性及报酬率也越高。
四、股票现货市场对股指期货的影响
股指期货和现货市场之间的关系是相辅相成的,并非竞争的。股票指数期货是股票的衍生物,反过来说,股票指数期货是以股票为原生物的,而股票市场整体状况是以股票来刻画的,因而更直接地说,股票指数期货以股票指数为原生物。例如,投机资本通常在货币和资本市场、现货和期货市场联手操作,投机者在期货市场构筑空方头寸,在现货市场带头抛售股票,打压股价,通过传媒制造恐慌气氛,引起抛售瀑布,导致股价狂泻,从而在期货市场谋取暴利。图1为股票现货市场与股指期货市场的信息互动关系。
股指期货市场根据宏观资料,连同期货交易的动向,拟定新的价格,从而使它们之间形成长期稳定的联动关系,因此,股票指数期货这种产品要成功,有关它的所有问题都应以股票现货市场为基础。无论是股票指数期货的推出及风险管理还是其法规建设和监管都必须考虑股市的。
五、股指期货市场和股票市场互动关系的数学模型
1.双变量自回归模型(B-VAR)
Herbst,Kare,Marshall(1993)和Myers,Thompson(1989)发现利用OLS模型进行套期保值比率的会受到残差项序列相关的影响。为了消除残差项序列相关和增加模型的信息量,利用双变量向量自回归模型B-VAR(Bivariate-Vector autoregression)可以用来分析现货之间是否存在长期均衡关系。
在这里期货价格Ft和现货价格St是具有协整关系的随机变量。
2.双变量误差修正模型-EGARCH
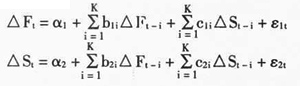
Engle和Granger证明了如果两个时间序列是协整的,那么一定存在一个误差修正表达式;如果存在一个误差修正表达式,那么这两个时间序列是协整的。Ghosh(1993)根据Granger和Engle的协整提出了双变量误差修正EGRCH模型,这种模型被认为最适合分析现货市场与期货市场关系。Ramaprassad Bhar的模型如下:
假设期货价格Ft和现货价格St具有协整关系的随机变量。为方便表示,在模型中用“1”表示期货变量,“2”表示现货序列变量。双变量协整序列Pt=(Ft,St)t可由下列向量误差修正模型(VECM)得到:
这里△Ft-i与△St-i为t-i时刻的现货价格和期货价格的收益率,ε1t、ε2t为服从独立同颁的随机误差项,在这一模型中,要寻找最佳的滞后值L,从而使残差的自相关消除。Zt-1=Ft-1-St-1就是误差修正项,它是现货价格与期货价格的一个平衡的线性组合。
六、结语
我国股市系统风险大,充分了解股指期货与股票现货市场的联动效应,合理利用股指期货来稳定股市价格具有重要意义。同时,对于其风险联动效应也要采取适当的措施加以防范。在技术层面上,完善保证金制度,建立合理的单个会员结算仓位上限,在交易所引入实时风险分析系统,防止保证金透支交易;在制度层面上,政府应侧重宏观政策指导,法规的制定,在股指期货推出后逐步完善交易环节、结算环节、交割环节和违约环节方面的制度。同时,由于股指期货交易的复杂性,提高从业人员素质,进行风险培训及投资者也是必要的。总之,股指期货推出在即,理性的心理预期对防范今后市场风险的发生具有不可替代的作用。
:
[1]张学东.股价指数期货理论与实践研究[M].北京:社会出版社,2005.
[2]肖辉,吴冲锋.股指与股指期货日内互动关系研究[J].系统工程理论与实践,2004,(5).
[3]De Jong,Frank,Theo Nijman.High frequency analysis of lead-lag relationships between financial markets[J].Journa1 of Empirica1 Finance,1997,4:259-277.
[4]刘晓星.中国期货市场与现货市场之间的引导关系研究[J].南方经济,2006,(6).
[5]Darrat,AliF,Shafiqur Rahman.Has futures trading ac-tivity caused stock price volatility?[J].Journal of Futures Mar-kets,1995,15(5):537-557.
[6]Min JH,&Najand M.A further investigation of the lead-lag relationship between the spot market and stock index futures:Early evidence from Korea.Journal of Futures Markets,1999,19(2):217-232.
[7]程婧,刘志奇.恒生股指期货与股票现货协整关系研究[J].金融与经济,2003,(11) .











