教育对经济增长的回归模型研究及实证分析
[摘要] 本文首先从人们对产品的需求动机出发,提出了构成教育总需求的主要因素;其次根据总需求-总供给的分析方法构建了教育对增长贡献率的多元回归模型;最后通过河南省历年来的教育投入相关统计数据,对教育对河南省经济增长的贡献进行了实证分析。
[关键词] 教育 经济增长 实证研究
一、引言
教育是一种同时影响一国经济和社会的活动,教育的发展必影响经济社会生活的各个方面,从柯布——道格拉斯的方法研究到罗默——卢卡斯模型的建立都使人们坚信了教育对经济增长的贡献。在经济发展理论中做出开创性贡献而获得诺贝尔经济学奖的美国经济学家刘易斯(1954)在其《经济增长理论中》直接把“教育所引起的知识的增长”归结为经济增长的三个原因之一。长期以来,讨论教育与经济的关系问题一直是国民经济发展中的一个热点问题。目前,现有的中关于教育与经济的关系的讨论主要有人力资本理论(human capital theory)、赶超模型(catch-up model)、何罗(arrow ,1992)、干中学模型(learning by doing)三种思路和方法。但无论从人力资本角度、从教育的赶超效应还是分析教育的回报率方面,均把教育活动作为经济中的一项投资。但从经济增长贡献来源的角度来说,教育又是一种经济活动。因此,它既是一种投资又是一种消费,也可以看成是经济体的一种需求。目前,大多学者采用菲德模型或C-D模型来讨论教育对经济增长的贡献,从总需求方面尚没有成熟的方法来检验教育需求对经济增长的贡献。本文尝试从总需求方面建立一个类似菲德的模型来测量教育对经济增长的贡献率,并结合河南省近几年来的相关数据来验证模型的正确性。
一、教育对经济增长贡献需求的多元回归模型构建
根据经济学总需求和总供给的分析方法,可以把一个经济体的总需求Y分为教育部门的需求De和非教育部门需求DN。因此,总需求与教育需求、非教育部门的需求关系可以表示为:Y=De+DN (1)
教育对总需求的增加通过两种途径进行:第一,教育的支出使总需求直接增加;第二,教育需求的增加引发非教育部门需求的增加。由于教育因素的影响,非教育部门的需求实际上包括两部分:一是原来的正常需求DN1;二是教育需求引发的非教育部门的需求增加部分,也就是教育的引致需求DN2。由于正常需求DN1不受教育需求变动影响,可以假设其按固定增长率增长,但引致需求 则是由教育需求引起的。而教育实际上是一种产生,它的需求是人们作为消费者在一定时期内对教育产品的一种有支付能力的购欲望买,它与许多因素有关。从主要的方面分析来看,主要的需求由以下三个部分组成:
1.私人对教育的需求Dp。它指私人的教育投资性和消费性需求,包括学费(继续教育的学杂费)、教育用品支出和其他费用等。
2.政府对教育的需求DG。它主要指政府的教育支出,包括财政计划内教育支出、教育拨款、社会团体和公民个人办学支出以及社会教育捐款等。
3.交流对教育的需求DE。它指经济体横向交流时外出学生所支付的费用与接受外来学生所产生费用的差值。
总之,教育对教育部门、对非教育部门的引致需求以及对总需求的影响通过以上三个基本途径发生作用的。单位的各种教育需求增加引致的非教育部门需求不尽相等,所以用下式来表示
又由于总需求的可加性和对非教育部门的正常需求恒定增长率的假定,总需求可以表达为 
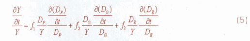
三部分的教育需求通过直接增加教育部门的需求和对非教育部门的引致需求从两方面影响经济体的总需求。通过对时间t求导数可得:

其中分别是总需求对的偏导数。公式(4)两边除以Y得:

为简化研究,上述模型存在着一个隐含量,即非教育部门正常需求DN1。由于它不受教育影响,可将其增长率设为一个常数α0,可得到以下教育对经济增长贡献率的多元回归模型:

其中分别是产出、私人教育需求、政府教育需求、交流对教育需求的实际增长率;分别私人教育需求、政府教育需求、交流对教育需求各自的贡献系数;为扰动项,即为剩余残差,且有,与三个自变量无关。
二、多元回归模型的实证分析
1.数据的确定
本文数据主要取自国家统计局网站(http://www.stats.gov.cn/)2001年至2006年统计年鉴和河南省年鉴。 其中, 政府对教育的需求 数据主要由国家财政教育经费、社会团体与个人办学经费、社会捐助办学经费组成;私人对教育的需求 数据主要由学杂费支出、上学期间的花费等其他费用组成,但数据统计有一定难度,故采用私人教育支出=年人均教育支出×农村人口+城镇居民人均教育支出×城镇人口的值来近似代替;教育出口的主要采用(河南省高等教育外出求学学生人数-河南省高等教育外省入学学生人数)×1万元/年进行估算,忽略了学生奖学金和助学金等其他因素的影响作用。教育对增长贡献需求各因子的具体数据参见表。

2.模型检验:
用SPSS 14软件对收集的数据进行分析处理,得出如下分析结果:可决系数R2=0.987
常量弹性为-0.122,政府对教育的投入的经济增长弹性为1.248,私人对教育投入增长弹性为-0.155,教育出口投入增长弹性为-0.023.
3.结论与启示
由以上数据可以最终得到回归模型为:
根据结果可以初步得到以下结论:
(1)可决系数R2=0.987,由此说明所选的三个自变量对因变量的解释程度比较高;统计量F=49.109P=0.020,由此说明所选的包括常数项在内的三个自变量对因变量的影响是显著的,说明提出的三元线性回归方程是成立的。
(2)政府对教育的投入是影响我省经济波动的重要原因,是推动经济增长的重要力量。增加教育投入有助于促进我省实际经济总量的增长,政府对教育的投入的经济增长弹性为1.248 ,即政府对教育的投入每增长1%,则经济增长1.248 %。
(3)私人对教育投入和教育出口投入低于政府对教育的产出弹性,分别为-0.155和-0.023,它们对经济增长的贡献并未如一些所说的那样,对经济增长发挥着绝对的作用。主要原因与国家对教育的政策变化有一定的关系,另外也与一些数据的估计不准确性有直接关系。这也是此项目后续需要研究的问题。
文献:
[1]史仕新:教育对经济贡献的计量模型与方法研究[J]. 经济问题探索,2006,(12)126
[2]胡双梅潘孝挺:四川省的教育投资对经济增长的贡献计量分析[J].西南民族大学学报,2006,(1)176
[3]魏志静:基于SPSS软件与多元线性回归分析理论的分析[J]. 研究与探讨2006,(2)107











