银杏萜类内酯含量测定使用外标四点法可靠性的探讨
作者:黄喆雯,唐钦强,王存芳
【摘要】 目的 探讨外标四点法的可行性。方法 HPLC法,色谱柱:ALLTECH C18(4.6mm×250mm,5μm),流动相:正丙醇-四氢呋喃-水(1:15:85),流速1.0ml/min,ELSD参数:漂移管温度108.0℃;载气(压缩空气)流速3.10L/min。结果 外标四点法得出回归方程,经统计学方法证明成立,且相关系数r显著。结论 外标四点法可以用于银杏萜类内酯的含量测定。
【关键词】 银杏叶萜类内酯;含量测定;HPLC-ELSD;外标四点法
Study on reliability of ESM of four points to determine the assay for Ginkgo Terpene Lactones
【Abstract】 Objective Study on the reliability of ESM of four points.Methods HPLC system consisting of an Alltech C18 column(4.6mm×250mm,5μm),and the mobile phase was n-Propyl alchol,tetrahydrofuran and water (1:15:84) at flow rate of 1.0ml/min.The detector temperature was 108.0℃ and the dry gas flow rate was 3.10L/min.Results The ESM of four points has been established.Conclusion The ESM of four points can be used on determine the assay for Ginkgo Terpene Lactones.
【Key words】 ginkgo terpene lactones;assay;HPLC-ELSD;ESM of four points
有关银杏叶中萜类内酯的含量测定方法的报道较多,目前银杏叶制剂的萜类内酯含量测定方法采用的多为HPLC法[1~3]。我们亦采用2005版药典收录的HPLC法[4],蒸发光散射检测器进行测定。HPLC-ELSD使用外标两点法对数方程分别白果内酯、银杏叶内酯A、银杏叶内酯B和银杏叶内酯C的含量,四种银杏内酯的含量之和为萜类内酯含量。我们在实际工作中使用外标两点法时,直接从数值上难以判断对照溶液的配制是否准确,及其外标两点法对应的工作曲线(n=2)是否可靠。因此,同时配制两份对照溶液各自分别测定5μl、10μl两点,将四个浓度和相应峰面积一条标准曲线(n=4),得出回归方程及相关系数r,通过统计学方法考察曲线和回归方程是否成立[5]。
1 仪器与试药
1.1 仪器 高效液相色谱仪:SHIMADZU-10A;蒸发光散射检测器ALLTECH ELSD2000。
1.2 试药 白果内酯,银杏叶内酯B、银杏叶内酯C对照品购于中国药品生物制品检定所;银杏叶内酯A对照品购于SIGMA。甲醇为色谱纯;水为自制超纯水;其他试剂均为分析纯。
2 方法与结果
2.1 色谱条件与系统适应性试验 色谱柱:ALLTECH C18(4.6mm×250mm,5μm);流动相:正丙醇-四氢呋喃-水(1:15:84);流速1.0ml/min;ELSD参数:漂移管温度108.0℃;载气(压缩空气)流速3.10L/min;柱温35℃;进样量5、15μl。理论塔板数按白果内酯峰计算应不低于2500,相邻峰的分离度应>1.5。
2.2 对照品溶液的制备 分别精密称取经五氧化二磷干燥过夜的白果内酯、银杏叶内酯A、银杏叶内酯B和银杏叶内酯C对照品适量,置同一10ml量瓶中加甲醇稀释至刻度,混匀,即得。
2.2.1 对照品溶液一 白果内酯22.73mg、银杏内酯A 13.42mg、银杏内酯B 11.13mg和银杏内酯C 9.05mg。
2.2.2 对照品溶液二 白果内酯14.71mg、银杏内酯A 11.34mg、银杏内酯B 12.24mg和银杏内酯C 18.99mg。
以对照品浓度的对数InC(x)为横坐标,峰面积的自然对数InA(y)为纵坐标作图,见图2~5。
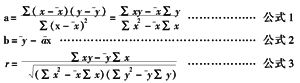
图中四点有成一条直线的趋势,在直线方程y=ax+b中,通过统计计算按公式1、2、3分别求出两个常数a,b及直线的相关系数r,见表2。
2.3 外标四点法直线回归方程的确定 分别精密吸取对照品溶液一和二5μl、15μl,注入液相色谱仪,按上述色谱条件测定,记录色谱图。结果:对照溶液中白果内酯(tR=8.375)、银杏叶内酯A(tR=9.811)、银杏叶内酯B(tR=12.040)和银杏叶内酯C(tR=7.194),相邻组分分离效果良好(见图1)。浓度与峰面积的数据及处理见表1。
图1 萜类内酯对照溶液HPLC图
(出峰顺序为银杏内酯C,白果内酯,银杏内酯A,银杏内酯B)
表1 对照进样量(μg)与峰面积


图2~5
1
2.4 直线回归方程的统计学检验
2.4.1 相关系数检验法 相关系数表示两变量间关系的密切程度。使用相关系数检验法来进行相关系数的显著性测验。见表2。
表2 回归方程和相关系数r结果以及r的t值
检验rn=4,显著性水平α为0.01时,查相关系数临界值表得r0.01,4=0.990,表2中r>r0.01,4,说明确立的回归方程是有意义的。
2.4.2 t检验法进行相关系数r的显著性测验t检验法进行相关系数的显著性测验,公式4如下:

t>t(n-2),0.01时,x(InC)与y(InA)间的相关关系有非常显著意义。查表得t(2)0.01=9.93。表2中t均>t(2)0.01,所以认为x(InC)与y(InA)之间存在线性相关关系。外标四点对数方程法的直线可确立。
2.4.3 外标四点法的重复性考察 取对照一与对照二,按照标准曲线的制备进行六次实验,分别得到六组标准曲线及相关系数r,见表3。
表3 外标四点法所得回归直线的比较

3 结论
实验数据中外标四点法对应的标准曲线相关系数均大于r0.01,4=0.990,线性相关且回归方程是有意义的。在实验得到的回归方程当相关系数>0.990时可用计算内酯的含量,该方法增加了标准曲线的可靠性,可有效控制制剂的质量。
【】
1 Mark Blumenthal.German government limits Ginkgoliv lactone levels in ginkgo leaf.Herral Gram,1997,(41):29.
2 Zhang L,Chen XP,Dong XP,et al.Determination of Ginkgo lactone in Ginkgo capsules by HPLC (HPLC法测定银杏叶胶囊的含量).Jiangsu Pharmacy and Clinical Research(江苏药学与临床研究),2004,12(1):29-32.
3 Tang JW.Determination of Ginkgo lactone in Kangmailing capsules by HPLC (HPLC法测定康脉灵胶囊中银杏萜内酯的含量).Tianjin Pharmacy(天津药学),2005,17(1):11-13.
4 Ch P.(药典).Vol I.2005.
5 蒋子刚,顾学梅.分析检验的质量保证和计量认证.上海:华东理工大学出版社,1998,50-210.











