货币政策透明度指数:理论方法与实证检验
摘 要:文章通过建立货币政策透明度指数,并利用我国市场的利率数据进行检验,认为我国中央银行在基准利率调整和准备金率改变等重大政策决策上,货币当局更倾向于采用模糊的政策操作方式,由此可能会导致市场预期的混乱,并最终对政策实施效果产生负面影响。因此,我国有必要借鉴西方国家的政策操作经验,进一步有选择地增加货币政策操作的透明度,并借以最终建立一个简单透明、效率更高的政策调控框架。
:货币政策;透明度指数;中央银行
一、我国人民银行的货币政策透明度:实证检验
(一)基于制度设定的透明度量化。通过考察中央银行的货币政策相关制度设定来研究其透明度状况,需要对应制度设定的不同方面对货币政策透明度进行细分。在与货币政策透明度相关的制度设定上,Eijffinger和Geraats(2002)的研究区分了行政、、程序、政策及操作等五个方面,但这五类透明度实际上存
膨胀反应函数,强调了中央银行的政策决定及其对经济的影响等相关信息,即货币政策的政策透明度。方程(4)表示中央银行在货币政策操作时所遵循的一种工具规则,它根据实际经济结构及中央银行的损失函数而确定,即为货币政策的操作透明度,其中e表示导致中央银行不能完全控制利率的金融冲击。
此处借鉴Eijffinger和Geraats的设计思路,对上述每一个方面的透明度都设计若干个问题,并根据对问题的回答及相应赋值来编纂衡量货币政策透明度的量化指数。因此可以看出,这种透明度指数设计的基础为中央银行的制度设定和实际政策行为表现,即通过考察各国中央银行的实际制度设定及其实践中的政策操作方式,得到其货币政策透明度的衡量值。在此衡量标准下,中央银行对所设计问题的回答得分越高,则表明其透明度越高,反之则越低。在此对、美国和欧洲中央银行的货币政策透明度进行量化分析(见表1)。从结果可以看出,在此衡量标准下,我国人民银行与美国、欧洲中央银行的透明度相差较大,尤其在向市场主体公告政策信息和政策操作的相关细节等方面,我国与发达国家中央银行之间还存在一定的差距。这在实践中反映为,我国中央银行在每次货币政策会议之后的新闻发布都使用比较原则的语言,公众难以从中得出正确的理解和判断。不仅如此,货币政策委员会每次会议时间也并不固定,也未提前告知市场主体和征求公众意见,而且会议上各位委员的发言没有给予公开,这样不利于公众更好地把握货币政策走向以做出正确的决策(穆良平、程均丽,2004)。

注:目标透明度中的目标特指中央银行货币政策的最终目标。另外,对上述12个问题的回答,得分上限为12分,下限为0分。
(二)基于实际政策操作的透明度检验。基于实际政策操作的透明度检验,将视角从货币政策相关制度设定转移至政策当局和市场主体的真实行为,即主要通过考察中央银行在政策实施过程中的实际行为以及金融市场参与者的预期或行为变化,间接考察货币政策透明度状况。
根据Haldane和Read(2000)的解释可以得知,中央银行的收益曲线变动状况主要取决于其政策目标值与市场值的契合程度,这一解释与上述基于市场行为检验货币政策透明度的思路不谋而合,即在理性预期假设下,货币政策公告后的市场利率与中央银行目标利率之间的偏差,可以用于间接度量一国货币政策的透明度状况。这里根据我国的实际情况,对Haldane和Read的模型进行适应性修正,并将其用于检验我国中央银行的货币政策透明度状况。

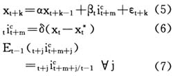
在上述方程组中,方程(5)描述了货币政策的传导机制,x[,t]为中央银行反应方程中变量集合里的任意向量(如通货膨胀、产出等,假定其遵循单位根为α的一阶自回归过程),k为货币政策的平均传导时滞(一般为12~24个月),β为货币政策传导机制的解释参数(假定中央银行和私人部门之间关于这一参数的信息是完全对称的),

上述模型的经济学意义在于,中央银行按照方程(5)所表述的货币政策传导机制,在每一个t—1时刻,根据可能出现的经济冲击ε[,t]来推断x[,t]的变化,并随后设定政策目标
。由于私人部门并不了解这一过程,因此其对政策利率的预测,只能基于自己对x[,t]的判断和对
的预期来进行,上述过程体现在方程(5)和方程(6)中。如果中央银行政策利率目标的告示效应使得市场主体在t—1时刻形成了对t时刻的利率预期①,并且由此导致市场利率发生了变动,此时如果市场实际利率x[,t]和政策利率目标
之间出现了较大的背离,则意味着较差的货币政策透明度,因为中央银行没有提供足够的信息来正确引导私人部门的预期,促使市场利率和政策利率目标趋于一致。在以短期名义利率为调控工具的货币政策操作框架下,如果中央银行根据对经济状况的判断,确定新的政策利率目标并向市场公布相关信息,则通过对实际市场利率与政策利率目标之间的计量分析,即可有效地间接度量中央银行的货币政策透明状况。
具体而言,通过检验中央银行改变基准利率后金融市场利率的变化趋势,然后判断市场利率的变动是否与政策利率相一致,这种一致性反映为检验所得的相应参数值的大小,最后,根据检验值来得出货币政策透明度的基本结论。Haldane和Read(2000)所提出的计量检验模型如公式(8)所示;其中,j表示远期利率的期限(以月单位),β(L)为关于滞后算子(L)的向量多项式②,该滞后因变量主要用于消除残差可能留有的移动自相关,D为虚拟制度变化变量,用于检验在引入通货膨胀目标制前后的不同透明度状况。

鉴于我国目前并未引入通货膨胀目标制的政策操作框架,并且由于我国目前的金融市场尚不完善,利率市场化也还没有完成,因此还无法形成合理的、市场化的利率期限结构;所以,在对我国货币政策透明度进行实证检验时,需要对上述计量模型进行相应的修正,修正后的模型可表示为:

式(9)中的关键参数为γ,主要用于衡量整个样本区间的平均利率偏差;如果γ[,0]=0,则意味着政策利率改变被市场完全预期到,即市场利率不会因中央银行改变目标利率而受到意外冲击,可知γ值(0≤γ≤1)越小,表明中央银行的政策透明度越高,反之则相反。

根据检验值可知,γ值显著大于0,因而可以据此得出我国目前的货币政策透明度较差,通过与其他国家相应检验值的比较也可以看出,我国人民银行在货币政策实施过程中,仍然没有通过提供足够、有效的信息来正确引导私人部门的预期,以促使市场利率和政策利率目标趋于—致。不仅如此,与一些东欧的新兴市场国家相比较,我国的货币政策透明度也相对较低。
(三)基于市场主体反映的时间序列检验。在有效市场理论假设下,选取货币政策制订者可能会对市场利率产生影响的货币政策会议、新闻发布会等重要事件,通过研究事件日及其前后的市场利率水平与其长期稳定状况下的平均变动值之间的偏差,间接衡量货币政策的透明度,这是一种较为理想的研究思路(Amir Kia,Hilde Patron;2004)。由于这种研究方法是基于时间序列的动态研究,而且,这种量化也是基于市场上的真实行为所进行的,因此可以用来衡量一国或不同国家在不同时段的政策透明度状况。下面在借鉴Amir Kia和 Hilde Patron度量模型的基础上,利用我国同业拆借利率和债券交易利率数据,对我国人民银行的货币政策透明度进行量化研究。
1.理论解释。假定在初始均衡条件下,市场同业拆借利率与债券市场交易利率之间的利差
为短期债券利率;并且存在完全透明(亦即数量化后透明度为100%)的货币政策,即中央银行向公众充分准确地公布其政策决定及意图等重要信息,公众也对这些信息及中央银行的政策目标完全理解。此时,理论上债券利率与市场同业拆借利率在t时刻的利差
应当趋于一致(此处假定利率期限结构既定并且稳定);而且,即使D[,t]与市场上长期形成的隔夜拆借和短期债券的利差均值
之间存在偏差,这种偏差在货币政策完全透明的情况下也只是暂时性的。进一步放松假设,如果货币政策并不完全透明(亦即透明度小于100%),则上述偏差将不再是暂时的,因为在货币政策不完全透明的情况下,市场参与者所得到的政策信息是不完全的,这有可能使市场主体误解中央银行的意图并形成错误预期,致使市场利率的变动与政策目标利率背道而驰。例如,如果中央银行卖出债券,市场主体可能会认为这只是中央银行的防御性操作,用以平抑利率波动,因此商业银行等金融机构就会在市场上购入债券以便在央行回购时进行套利,市场的这一套利行为会直接加大
的值就可以作为货币政策透明度的一个近似度量,其值与透明度成反比关系。2.检验模型。下面分三步建立货币政策动态透明度指数。(1)首先将中央银行改变利率(或准备金率)的货币政策例会、央行官员的重要讲话及其他可能对市场产生重要影响的新闻发布会时间选作“事件日”,对于每一个事件日,


3.数据、事件选取及检验结果。由于在我国的各种利率品种中,银行间同业拆借利率和债券交易利率的市场化程度相对最高,并且作为商业银行等金融机构的主要流动性来源,同业拆借和债券交易对市场利率的变化都极为敏感,二者不但在满足金融机构的流动性方面有着很高的替代性,而且利率水平之间有着相对稳定的期限结构关系。另外,在近三年所有期限的银行间债券交易中,R007的每日交易量几乎占了银行间各种期限债券交易总量的80%以上,因此,期限为7天的银行间债券交易利率和银行间隔夜拆借利率将作为计算透明度指数的基础数据来源⑤。
与美国、加拿大等西方发达国家不同,我国中央银行并不向市场宣布隔夜拆借利率目标,因此,事件选取在原则上尽可能重点考虑对市场拆借利率有较大影响的事件,在这一指导原则下,我国人民银行货币政策例会时间、宣布改变法定准备金率、超额准备金利率的日期、宣布改变商业银行存贷款利率的日期以及人民银行领导进行重要讲话的日期等都将作为主要事件日,具体整理结果此处刊略⑥。利用上述检验公式,最后计算得出我国近年来的货币政策透明度指数(见图1)。由图1可知,近年来我国中央银行的货币政策透明度呈现出稳步提升的趋势,但在中央银行调整基准利率或准备金率的重大政策出台或宣布前后,透明度指数的波动幅度相当之大,如2002年11月27日的美元利率调整、2004年4月25日的准备金率提高、2004年10月29日的利率调整和2005年5月20日及其之后的几次港币、美元利率调整等,说明我国中央银行在一些重大的货币政策决策上,并没有及时进行充分准确的信息披露,因此商业银行等金融机构无法据此形成正确的预期,从而导致市场利率偏离了正常的运行轨道。

通过实证检验可知,与一些西方发达国家相比,我国人民银行的货币政策透明度仍相对较低:其一,在制度设定上,人民银行在货币政策的出台过程、所用经济模型及政策操作误差说明等方面,仍没有形成向市场主体公告的制度化;其二,在实际政策操作过程中,人民银行无法做到向市场主体及时、准确地进行公告和政策意图解释,因此我国金融市场利率等经济变量在形成过程中还不能得到人民银行明确和有效的引导;其三,从市场主体反映来看,在人民银行有限的信息披露下,市场还很难准确理解和把握政策当局的调控方向及意图,由此往往会导致市场利率等变量偏离了正常运行状态。
二、研究结论和意义
通过上述研究,可以得知,与西方发达国家或其他一些新兴市场经济国家相比较,我国货币政策的透明度现状还不容乐观。从世界各国近年来的货币政策实践可以看出,未来的中央银行对宏观经济的调控,将较少使用直接控制货币供应量或利率水平的方式,而更多地通过引导和管理公众的市场预期来实现。如果中央银行不能通过及时准确的政策信息披露来正确引导公众预期,就将会增加公众预期错误对宏观经济的扰动,致使货币政策操作滞后于公众预期,最终必然加大调控的试错成本。考虑到我国人民银行的独立性不高以及在政策工具选择上的限制等现实问题,短期内我国还无法建立类似加拿大、新西兰等国的通货膨胀目标制度框架,因此,要通过对货币政策框架进行根本性变革来提高透明度,这在一定时期内还不太现实。因此,我国人民银行着重需要在货币政策的操作或运行上提高透明度,即解决中央银行与公众之间的信息不对称现象,坚持实际政策操作和向公众告示的内容相一致,以建立货币政策操作的信誉度。另外,人民银行应当通过各种方式来确保市场能准确理解货币政策操作的意图,促使私人部门对经济变量的预期与中央银行的预测尽可能保持一致,从而降低经济波动,给货币当局提供一个宽松的政策操作环境,并进而利用良好的透明度来提高货币政策通过预期传导的效率,最终建立一个简单透明、效率更高的政策调控框架。
注释:
①关于告示效应的具体理论解释,可参见贾德奎、胡海鸥:公告操作:西方国家货币政策操作的新范式,《财经研究》,2003年第7期,第15~17页。

③检验所用数据系笔者整理自货币网同业拆借及银行间债券市场交易日评和中国人民银行网站,网址分别为http://www.chinamoney.com.cn/和http://www.pbc.gov.cn。
④除中国之外的其他检验值来自本文的[6],第19~21页。
⑤数据系笔者整理自中国货币网同业拆借及银行间债券市场交易日评,网址:http://www.chinamoney.com.cn/。
⑥这里共选取了2002~2006年中39个主要事件,有需要者请与笔者联系。





![金融资本全球化是否历史发展的必然[下]](/d/file/20100626/b3c2c2820f9fdcfe57ba7658c0bbc299.jpg)





