人民币实际汇率错位对出口贸易影响的实证研究
摘 要:本文在既有的基础上,通过结合我国转型的特点,研究了人民币实际汇率错位对出口贸易的影响。文中提出了更加合理的模型,引入关税(出口退税额)、政府支出、贸易条件等变量,通过Johansen协整检验、误差修正模型、格兰杰因果检验、脉冲响应函数和预测方差分解等计量方法进行了实证检验,结果表明,1978~2005年,人民币实际汇率错位对出口贸易产生负面影响。其后,运用--~离散选择模型(L。加模型)进一步对二者关系进行了考察,得出了人民币实际汇率错位幅度与净出口呈负相关的结论,即汇率错位幅度越小,越有利于出口,从而出现贸易顺差。
关键词:人民币实际汇率错位;出口贸易;Johansen协整检验;误差修正模型;Logit模型
一、问题的提出
在经济全球化、经济一体化和全球化的大趋势下,各个国家都必须利用自己的比较优势在国际贸易中获得利益。汇率正是一国在国际贸易中使用的核心变量。均衡合意的汇率水平有利于一国对外贸易和金融交易的顺利进行,有利于经济的内外协调。然而在现实中,实际汇率往往不在均衡合意的汇率水平上,汇率错位是经常出现且不可避免的现象。所谓实际汇率错位(Real Exchange Rate Misalignment),是实际有效汇率偏离均衡汇率的状态。实际汇率错位会对一国出口、进口、外商直接投资、收入分配、产业发展、就业、资源配置、经济增长等各个方面都产生影响。如果能够判断汇率错位的影响是正面的还是负面的;与出口贸易之间有多大程度的相关性,是否存在因果关系;以及解决如何从短期非均衡状态向长期均衡状态过渡等问题,就可以指导各个国家更加理性地融入到国际贸易的领域中来。对于我国来说,出口贸易增长是拉动经济增长的重要“引擎”之一。因此,考察人民币实际汇率错位对我国出口贸易的影响具有很重要的实际意义。
二、文献综述
Edwards(1988)最早以12个发展家为研究对象,结果发现实际汇率错位对经济增长有显著的负面影响。[1] 其后,大量的研究结果表明发展中国家的实际汇率错位对经济增长、出口、农业部门增长都有显著的负影响(Cottni, Cavallo and Khan( 1990) [2]; Daniel H. Pick and Thomas L. Vollrath( 1994) [3], Ofair Razin( 1997) [4], Gue Dae Cho, MinKyoung Kim, Edwin Sun, Hyun Jin & Won W. Koo[5])。Ghura & Grennes(1993)通过对非洲撒哈拉沙漠以南的33个国家进行研究,结果发现实际汇率错位对经济增长、出口、进口、储蓄、投资有负面影响。[6] Razin and Collins(1997)以93个发达和发展中国家为样本进行研究,结果发现实际汇率错位对经济增长有显著的负面影响。[7] Domac and Shabsigh(1999)通过对埃及、约旦、摩洛哥和突尼斯的研究,发现实际汇率错位对经济增长有明显的负面影响。[8-9] Daniel H. Pick and Thomas L. Vollrath Bleaney & Greenaway(2001)对非洲14个国家实际汇率错位对制造业出口贸易的影响进行研究,Sekkat & Varoudakis(2000)对11个国家实际汇率错位对制造业出口贸易的影响进行研究,结果都表明实际汇率错位对出口贸易具有不利影响。[10]
对于我国来说,现有研究主要集中在人民币均衡实际汇率与实际汇率错位水平的衡量与估算上。Chou & Shih(1998),Zhang(2001),Zhijun Zhao & Toshiki Kanamori(2004)分别对我国实际汇率的错位水平进行了估计,研究表明,90年代以来,人民币名义汇率与实际汇率水平均出现了不同程度的低估。[11-12] 张晓朴(2001)运用ERER模型和BEER模型测算了人民币均衡汇率和人民币汇率的错位情况,并主要对实际汇率高估的危害进行了研究。[13] 林伯强(2002)基于均衡实际汇率理论,应用经济计量方法实证分析了自20世纪50年代中期至2000年期间人民币实际汇率状况,估计出人民币均衡实际汇率,进而测算了不同阶段实际汇率错位的状况。[14] 唐国兴和徐剑刚(2003)研究了人民币实际汇率错位的经济效应,结果认为实际汇率错位对进口与GDP之比、出口与GDP之比、投资与GDP之比有显著的负面影响。[15] 李广众和Lan P. Voon(2004)利用制造业SITC3位数代码商品1978~1998年对不同国家出口的平行数据,采用似不相关估计方法对我国出口商品需求方程系统进行了估计,分析强调实际汇率风险、实际汇率错位对不同商品出口量的影响,其中汇率错位在大多数分析中表现为对出口具有不利影响。[10] 施建淮和余海丰(2005)运用行为均衡汇率模型对人民币均衡实质汇率和汇率失调程度进行了实证研究,发现1997年以来硬钉住美元的汇率政策是造成人民币汇率失调的一个主要宏观政策因素。[16] 吴丽华和王锋(2005)运用BEER模型和协整理论,测算了人民币实际汇率错位的季度状况,划分阶段研究了人民币实际汇率错位的经济效应。[9]
迄今为止,对于人民币实际汇率错位对实际经济变量,如出口贸易、投资等方面影响的研究文献比较少。因此必须通过构建模型,运用计量经济学方法进一步实证检验人民币实际汇率错位对出口贸易的影响。本文的创新之处在于:
1. 我国是经济转型的发展中国家,市场化手段不是很成熟,贸易管制和壁垒相对较多,金融市场欠发达,尤其是远期外汇市场发展非常落后。如果把外国学者的模型和变量直接照搬到我国来用是存在缺陷的。因此,本文针对我国具体情况提出了更加合理的模型,引入了新的变量。例如:由于我国长期以来采取的是“奖出限入”的进出口政策,所以引入了关税变量(出口退税额)。由于我国政府行政权力色彩比较浓厚,往往也会对出口贸易产生影响,因此引入政府支出变量等。
2. 在Johansen协整检验、误差修正模型、格兰杰因果检验、脉冲响应函数和预测方差分解等计量方法检验的基础上,运用二元离散选择模型(Logit模型)进一步对人民币汇率错位对出口贸易的影响进行了考察,将被解释变量出口贸易作为一种二元离散变量,分为两种状态,分别是净进口和净出口。如果是净进口的话,赋值为0;如果是净出口的话,赋值为1。从而从一个新的视角具体量化了汇率错位的幅度与净出口之间的关系。
三、模型分析
相关理献对于出口需求方程的估计,通常采用以下形式:

其中,EX[,t]为出口额,Y[,it]为实际GDP,X[,it]为实际汇率,M[,it]为实际汇率错位,i表示国家,t表示时间范围。
本文在上述模型的基础上,提出了更加合适的模型(对数线性形式),并增加了若干变量,如关税变量(TOT),政府支出变量(GOV)和贸易条件变量(TOT)来反映我国的实际情况,如下:

其中,LEX表示出口贸易;LM表示汇率错位,用当期实际有效汇率与名义汇率的差额,再除以实际有效汇率的比率绝对值来衡量;LGDP表示本国实际GDP,衡量本国的出口供给能力;LYF是主要出口伙伴国实际GDP的加权平均值,衡量出口伙伴国的实际收入。本文选择了2005年与我国出口贸易额最多的前十名国家和地区的GDP加权平均数作为代理变量,分别是美国(21.4%),欧盟(19.6%),中国香港(15.1%),日本(10.5%),东盟(7.5%),韩国(4.7%),中国省(2.1%),加拿大(1.6%),俄罗斯(1.5%),澳大利亚(1.4%)。LTOT代表贸易条件,是出口/进口的价格指数;LTAX表示出口退税额,衡量我国政府对出口的变相补贴;LGOV表示政府支出额,反映政府的行政干预在经济中的作用。α[,1],α[,2],α[,3],α[,4],α[,5],α[,6]都是系数项,是常数项。文中数据来源于中国统计年鉴各期、国际货币基金组织(IMF: International Financial Statistics)、中国商务部网站(http: //www. mofcom. gov. cn)、中华人民共和国海关统计网站(http: //www. customs. gov. cn)及高校财经数据库网站(http: //www. bjinfobank. com),数据样本区间为1978~2005年。
四、实证检验
本文采用Eviews软件,首先对各变量进行单位根检验,以确定变量的平稳性,这是变量之间存在协整关系的前提条件;如果确认各变量有单位根,再进行Johansen协整检验;若协整关系存在,利用误差修正模型反映变量之间的动态调节机制;其后,使用格兰杰因果检验,证明变量之间的因果关系;再使用脉冲响应函数和预测方差分解来描述因变量自身滞后值的一个标准差随机扰动项所产生的影响;最后,构建二元离散选择模型(Logit模型)进一步检验汇率错位幅度与出口贸易顺差或逆差之间的关系。
(一)单位根检验
首先,将所有变量取对数,以消除异方差的影响。在检验时,依据赤池信息准则(AIC)最小化原则,选择趋势项和常数项是否存在以及最优滞后变量的阶数,来确定ADF检验的基本类型(c,t,q)。其中c表示常数项,t表示趋势项,q表示滞后阶数。通过检验,发现LEX、LM、LGDP、LYF、LTOT、LTAX和LGOV在10%的显著性水平下均接受了原假设,为非平稳变量。其次,我们分别对它们取一阶差分,结果△LEX、△LM、△LYF、△LTOT、△LTAX和△LGOV在5%显著性水平下均拒绝原假设,为平稳变量;△LGDP在10%显著性水平下拒绝原假设(稍弱),成为平稳变量,即所有变量均为一阶单整,记为Ⅰ(1)。结果见表1。

(二)Johansen协整检验
如果非平稳变量之间的线性组合能构成平稳关系,则这些非平稳变量就是协整的,即存在着某种长期均衡关系。利用Johansen协整检验判断上述非平稳变量之间是否存在协整关系,并进一步确定它们之间的符号关系和具体的似然比数值。首先确定VAR模型的结构。

在VAR模型的基础上,可以得到协整检验的具体结果,如表2所示。

从表2可以看出,这些变量之间至多存在两个协整关系,其中标准化系数的一个协整方程如下:
LEX=0.0296LM-0.013310LGDP+0.9822LYF+0.4242LGOV+0.2221LTAX-0.1957LTOT-0.9123 (4)
最大似然比:262.4969
LEX=-0.2822LM+0.7094LGDP (5)
最大似然比:95.6431
(5)式说明出口贸易与我国GDP呈现明显的正相关关系,我国GDP每增加1个单位,出口贸易额增加0.7094个单位;出口贸易与汇率错位之间呈现显著的负相关关系,汇率错位幅度每增加1个百分点,出口贸易额就会减少0.2822个百分点。汇率错位幅度越大,抑制出口增加的作用越明显。
(三)误差修正模型
根据格兰杰定理,具有协整关系的非平稳变量都可以表示成误差修正模型(其中误差修正项包含了长期均衡关系)。上文已经证明了各变量之间存在协整关系,因此存在描述变量之间由短期波动向长期波动调整的误差修正模型。误差修正模型把变量的长短期参数集于一体,可以很好地描述变量之间的长期均衡关系对短期变动“负反馈”的调整机制。我们将模型改写为如下的误差修正模型的形式:

(6)式中,误差弹性系数为-0.0137,该系数反映了误差修正模型自我修正的动态机制。如果在当年,汇率错位幅度对出口产生影响,那么在接下来的一年,误差修正项就会逐渐减弱这种影响。显然误差修正项的系数越大,系统自我修正功能就越强。汇率错位的短期波动会导致出口的波动,但受长期均衡机制的影响,通过误差修正模型的反向调整,使得波动程度不太大,其一定会回归到长期均衡路径。而且,在不考虑其他方面对出口贸易影响的条件下,实际汇率错位向长期均衡水平的调整会对出口产生有利的影响。
(四)格兰杰因果检验
利用格兰杰因果检验法对出口贸易与实际汇率错位之间的因果关系做进一步分析,可以看出,在最优滞后期为2时,检验结果拒绝了LM不是LEX的Granger原因的原假设,没有拒绝LEX不是LM的Granger原因的原假设(见表3),说明汇率错位正是出口贸易变动的原因。

(五)脉冲响应函数和预测方差分解
脉冲响应函数反映了来自随机扰动项的一个标准差冲击对内生变量当前和未来取值的影响,以及其影响的路径变化。预测方差分解将系统的预测均方误差分解成系统中各变量冲击所作的贡献,从而了解到各信息(Innovation)对模型内生变量的相对重要性,即变量的贡献占总贡献的比例。通过比较这个比例,就可以估计出该变量的作用时滞,还可以估计出该变量效用的相对大小。如图1,可以看出实际汇率错位引起出口贸易的调节路径。将反应时间设定为10期,给定初始的一单位实际汇率错位的冲击,汇率错位的正向冲击在短期内促进了出口的增长,在第2.5期达到了最大值,然后迅速下降,在第4.5期达到最低点,然后开始逐步趋于稳定,并有缓慢微弱上升。根据对LM的VAR模型进行方差分解的结果,LM对LEX的影响在第1期是最大,达到15.74%,越往后期越小,在第10期达到最小,只占到LEX预测误差的11.50%。这表明,这种影响机制在短期内明显,越往后期越微弱,最终趋于稳定状态。此外,出口贸易LEX的正向自冲击,明显地有利于自身的改善。

(六)二元离散选择模型(Logit模型)
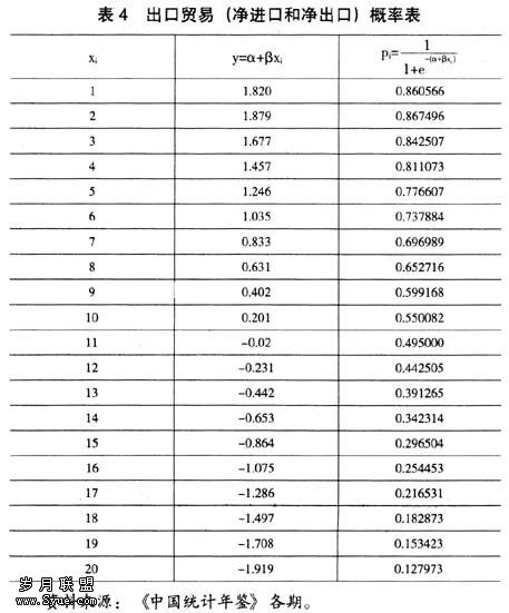
在以上实证检验的基础上,本文将运用二元离散选择模型(Logit模型)进一步对人民币汇率错位幅度与出口贸易顺、逆差的关系进行考察,该模型是McFadden于1973年首次提出。其采用的是logistic概率分布函数。其形式是:
x[,i]表示汇率错位的幅度,对于给定的x[,i],p[,i]表示将会出现净出口额的概率,将被解释变量出口贸易作为一种二元离散变量,分为两种状态,分别是净进口和净出口。如果是净进口的话,赋值为0;如果是净出口的话,赋值为1。通过Eviews计量软件中的Binary Choice选项,得出结果,常数项为2.301,系数项为-0.211,代入得到:=2.301-0.211X[,i]。表4仅给出取值从1到20的情况下,当年出口贸易是净进口或者净出口的概率大小。
结果显示:当汇率错位幅度是1%时,出口贸易是净出口的概率是86.0566%;当汇率错位幅度是2%时,净出口的概率是86.7496%;依此类推,当汇率错位幅度是20%时,净出口的概率仅为12.7973%。说明如果汇率错位幅度越小,越有利于出口,出口贸易是净出口的概率越高,则出现贸易顺差;如果汇率错位幅度越大,越不利于出口,出口贸易是净出口的概率越小,则出现贸易逆差。汇率错位包括低估错位和高估错位,低估错位相当于汇率升值,高估错位相当于汇率贬值。只有当汇率保持或者接近均衡合意的汇率水平时,才是帕累托最优的,有利于出口,从而形成贸易顺差;如果汇率高估错位幅度越大,显而易见不利于出口;如果汇率低估错位幅度越大,也不利于出口,这与常识上的汇率定理有些冲突。可能的解释是,虽然汇率过度低估使得微观主体的出口倾向较高,但是从国际、国内宏观经济稳定的角度来看,汇率过度低估必然会在市场上形成汇率升值预期,引发短期投机资本流入的投机冲击,引发国际收支危机和货币危机,还可能遭受到其他贸易伙伴国家的报复,不利于世界经济和国际贸易格局的稳定,所以在现实经济贸易中,过度低估错位也可能不利于出口。
五、结论
本文通过利用1978~2005年的数据,运用Johansen协整检验、误差修正模型、格兰杰因果检验、脉冲响应函数、预测方差分解以及二元离散选择模型(Logit模型),对人民币实际汇率错位对出口贸易的影响进行了实证分析。得出以下三个结论:
1. 在本文中加入的关税、政府支出和贸易条件等变量与出口贸易之间的协整关系显著,其中本国GDP、外国加权GDP、本国政府支出、出口退税额与出口额呈正相关,汇率错位、贸易条件与出口额呈负相关。
2. 人民币实际汇率错位与出口贸易之间呈现显著的负相关关系,实际汇率错位幅度每增加1个百分点,出口贸易额就会减少0.2822个百分点。错位幅度越大,抑制出口增加的作用越明显。这种影响机制在短期内表现显著,越往后期越微弱,最终趋于稳定状态。
3. 汇率错位幅度与净出口呈负相关。汇率错位幅度越小,越有利于出口,出现贸易顺差;汇率错位幅度越大,越不利于出口,出现贸易逆差。
因此,应该大力完善人民币汇率的形成机制,进一步一揽子货币、有管理的浮动汇率制度,促使人民币实际有效汇率和名义汇率能够统一,减少错位,避免错估,更好地调节出口贸易,促进我国对外贸易的。





![金融资本全球化是否历史发展的必然[下]](/d/file/20100626/b3c2c2820f9fdcfe57ba7658c0bbc299.jpg)





