我国投资银行业现状及发展策略
来源:岁月联盟
时间:2010-06-27
关键词:财富 风险资产 股权分置 投资银行
一般认为意义上的投资银行发端于英国。18世纪后期,伦敦的商人银行率先为外国政府和从事国际业务的大公司筹集长期资金,投资银行业务逐渐成为它们的主要业务。19世纪末20世纪初,欧美资本市场发展迅速,投资银行业获利丰厚,诱致商业银行纷纷在利益驱动下,将短期资金用于长期的证券投资,造成资本市场泡沫泛滥,并导致了1929—1933年的大萧条。因此,美国于1933年制定并通过了《格拉斯—斯特格尔法》等一系列相关法规,使投资银行与商业银行分业经营。
20世纪60年代,欧美经济获得了高速发展,新技术革命和金融创新浪潮风起云涌,金融市场的全球联系日益增强,各国金融管理当局纷纷放松金融管制,突破了银证保分业经营的限制,形成了一批声誉卓著的现代投资银行,如高盛 、花旗集团、环球金融、 摩根士丹利、美林等。目前现代投资银行业务种类繁多,主要有:证券发行及承销,证券交易经纪及自营、公司财务顾问及投资咨询、基金管理及运作、收购及兼并等。
从欧美投资银行发展的历程可以看出,随着国民财富的大量积累,人们的投资、理财观念日趋强烈,需要把很大一部分财富投入股票及债券等风险资产中,期望通过资产组合以实现财富的保值增值。由于专业知识能力有限及信息不对称,人们希望有特定的机构提供投资理财方面的专业化服务,从而极大的促进了投资银行业的发展。高度发达的资本市场在为人们的投资理财提供了丰富的金融工具的同时,也刺激了能提供专业化投资理财服务的投资银行的发展。
投资银行业发展的数学模型论证
国民财富的持续增长,人们迫切需要实现财富的保值增值,而面对着层出不穷的金融产品时往往不知所措,因此专业化的投资理财机构—投资银行的发展成为必然。国家经济景气监测中心的调查显示,全国范围内约有70%的居民希望得到投资理财顾问的指导。可见我国巨额的国民财富及人们日趋强烈的投资理财意愿,预示着投资银行业发展的巨大潜力。
经验表明,个人在较高的财富水平上,将更愿承担较大的风险,即随着国民财富的增加,绝对量更大的财富会投入风险资产中去。现以数学模型加以证实,投入到风险资产中的财富量是随着财富量的增加而增加。
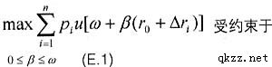
模型假设:一个投资者的初始财富;投资者为递减的绝对风险厌恶者;风险资产能以概率(i=1,….,n)产生一个超过无风险资产报酬率的净回报;为投入到风险资产的财富数量,小于初始财富;投资者的问题就是如何选择,去最大化财富的预期效用:
对求导数,使预期效用函数最大化的一阶与二阶条件:
为使预期效用最大化的投入到风险资产中的财富数量。由于风险厌恶,预期效用函数的二阶导数严格小于零。在投资者为递减的绝对风险厌恶者条件下,可视为的函数,对(E.2)求的微分:
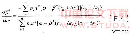
由(E.3)可知,
的分母为负,因此只要当分子也为负时,风险资产是正常品即β*随着ω的增加而增加。由绝对风险厌恶的阿罗—帕拉特测度可知:
由(E.8)可知,
的分子也为负,从而。
至此,模型表明,在风险厌恶条件下,投入风险资产中的财富会随着国民财富的增加而增加。这意味着,随着国民财富的增长,人们愿意把更多的财富投入到股票、债券等风险资产中去,实现资产的保值增值。无疑人们的投资理财行为,需要投资银行等金融机构提供大量的专业化服务,从而促进投资银行业的发展。 我国投资银行业的历程
我国投资银行业是伴随着资本市场的发展而产生的。改革开放以前,没有资本市场,当然更谈不上投资银行。20世纪80年代末,随着我国资本市场的产生和证券流通市场的开放,产生了一批以证券公司为主要形式的投资银行,商业银行以及保险公司也可经营证券业务。1997年以后,随着商业银行法的实施,我国业的分业经营及管理的体制逐步形成,银行、保险、信托业务与证券业务脱钩,因此诞生一批金融集团附属的证券公司,如中信证券、光大证券等。
改革开放以来,我国国民持续快速增长,经济总量已位于世界前列,2004年我国国内生产总值13.7万亿元,国家外汇储备达到6099亿美元 。城乡居民储蓄存款达到12.6万亿元, 占当年国内生产总值92%。与此同时,我国国债及债券规模达到7251亿元,股票市场流通市值为11688亿元,占GDP的比率为8.6%,最高时曾达到18%。1993年至2004年期间城乡居民储蓄存款占GDP的比率年均69%,而同期股票市场流通市值占GDP的比率为年均8.3%。可见由于种种原因,人们并没有有效实现财富的保值增值,尚有巨大的潜力可挖掘。
尽管受到分业经营体制的约束,国内各商业银行并没有放弃参与投资银行业务的努力。中国建设银行1994年与美国投资银行摩根士丹利等机构合资创办了中国境内首家中外合资投资银行机构—中国国际金融公司。中国银行于1998年在香港成立了全资附属区域性投资银行—中银国际控股有限公司。中国工商银行以及股份制商业银行中,如招商银行也在积极推进投资银行业务。目前,金融监管当局也制定了一些相关政策,如2001年央行颁布了商业银行中间业务暂行规定,鼓励商业银行开展投资银行业务。
我国投资银行业发展面临的困境
应该说我国投资银行业的发展是具备一定经济基础的,然而现实表现却强差人意。作为资本市场核心的股票市场,如沪市上证指数从2001年国有股减持办法出台时的2245.44点跌到目前的1300点以下,跌幅高达45%,投资者财富大幅缩水。随之而来的是投资银行业的全行业亏损,一些证券公司在持续低迷的行情中倒下,更多的是处在苦苦挣扎中,整个投资银行业举步维艰。造成投资银行业发展与经济增长、国民财富增长脱节,并陷于困境的主要原因有:
我国资本市场存在重大缺陷,严重影响投资银行功能的发挥。一是功能定位缺陷,资本市场应当具有企业融资、资源配置和风险分散等基本功能,然而我国目前的资本市场过分强调融资功能而忽视其它功能,功能不全的资本市场,降低了企业对投资银行的业务需求。二是股权分置缺陷,三分之二的非流通股置身股市涨跌之外,导致非流通股股东恶意圈钱、占用资金、内幕交易等股市腐败行为盛行,肆意侵害流通股股东利益,极大的损害了资本市场的信誉。
我国实行的分业经营、分业管理的监管模式。分业经营虽然有利于防止和控制银行、证券、保险业的风险在行间交叉传递和扩大,便于政府对市场的监管,却客观上限制了投资银行业务创新。目前,金融混业经营的国际趋势,塑造了如花旗集团、瑞士信贷、第一波士顿等一批新型投资银行,充分发挥了金融业务间的协同效应,对独立型投资银行造成很大冲击。
我国投资银行绝大多数为国有或国有控股,采取有限责任公司形式,一方面没有从本质上解决所有者缺位问题,导致投资银行缺乏创新动力,业务范围狭窄,收入来源主要集中在手续费收入,自营业务收入和证券承销业务收入方面。另一方面,难以在资本市场通过股票、债券等方式融资,在货币市场上的短期融资也受到各种限制,导致我国投资银行融资渠道狭小,资产规模普遍偏小。
不解决这些问题,即使拥有巨额的国民财富和强烈的投资理财意愿,由于人们对资本市场缺乏信心,也不会把财富投入到各种风险资产中,即使投入也不可能实现财富的增值,从而使提供专业化投资理财服务的投资银行难以获得正常发展。
促进投资银行业发展的建议
通过以上分析可知,由于资本市场的缺陷以及金融监管体制等方面存在的问题,导致目前投资银行业的发展与经济增长、国民财富增长相脱节。但是,改革开放以来我国国民经济的持续增长和国民财富的积累,以及人们投资理财欲望的日趋强烈,都使投资银行业具备巨大的发展潜力。只要尽快采取措施彻底解决这些问题,重塑投资者对资本市场的信心,投资银行业必会实现快速的发展。具体建议如下:
完善资本市场建设,解决股权分裂、激活股市,为投资银行业的发展创造基础条件。全流通能抑制上市公司不受节制的扩张冲动,并能从市场环节制约上市公司的规范重组,重塑投资者对资本市场的信心。在完善股票市场的同时,大力发展债券等其它资本市场,塑造多层次的资本市场体系。
适应混业经营趋势,逐步放松金融管制。实行混业经营可以更加充分地利用资金和客户资源,发挥协同效应,提高金融体系的运作效率,金融监管当局应当适应这一潮流,逐步适时放宽金融管制,鼓励金融创新,促进新兴投资银行业务的发展。
实现投资银行股份制改造。对符合条件的投资银行应通过股份制改造或其它形式, 引入各种性质的战略投资者,优化股本结构,拓宽融资渠道,为投资银行筹集长期稳定的发展资金。同时,可逐步完善投资银行的法人治理结构,为投资银行的业务创新创造制度前提。
:
1.杨建文.2003—2004上海金融发展报告.上海人民出版社,2004
2.华庆山.2003—2004国际金融报告.经济出版社,2004
3.曹大宽.全球投资发展银行模式及借鉴.国际金融研究,2004
4.郑志勇.我国投资银行业的现状分析和发展对策.管理科学,2003
5.赵晓康.中国投资银行业的发展困境及消除.上海经济研究,2002











