商业银行操作风险计量的损失分布法研究
来源:岁月联盟
时间:2010-06-27
[关键词]商业银行;操作风险;风险计量
一、操作风险的定义及基本内容
操作风险的定义有广义和狭义之分,广义上的操作风险是指市场风险和信用风险以外的所有风险;而狭义上的操作风险则指与机构中运营部门相关的风险。1998年9月,巴塞尔银行监督委员会首次发布了《操作风险管理》文件,并将操作风险正式纳入新巴塞尔协议的三大风险之中。新协议沿用英国银行家协会(BBA)对操作风险的定义,把操作风险定义为:“操作风险是指由不完善或有问题的内部程序、人员及系统或外部事件所造成损失的风险。”这个定义包括风险,但不包括策略风险和信誉风险。事实上,银行操作风险不仅仅与银行的操作相关,与银行操作之外的其他领域也相关,如欺诈交易、报告和体系出现问题等。
根据新巴塞尔协议的定义,操作风险包含的内容很广,但由于对它的重要性才刚刚认识到,目前还没有一个对它统一标准的内容界定。对于商业银行操作风险包含的内容,目前有三个划分;
第一,是普遍认同的内容,几乎所有的机构都认为这些内容应当属于操作风险。包括银行清算损失、交易记录失误、火灾和洪灾等意外灾害。
第二,是部分认同的内容,只有部分金融机构认为这些内容应当属于操作风险。包括内部舞弊、外部舞弊、虚假交易、不适当的销售技术和战略决策错误等。
第三,是少数认同的观点,大多数金融机构不认为这些内容属于操作风险。包括市场逆转导致的损失和交易对手违约等。
本文沿用大多数金融机构的意见,认为操作风险主要包括第一和第二部分的内容,对操作风险的计量主要针对这些风险类型。
二、操作风险计量的基本框架
操作风险的计量是操作风险防范和监督的前提与基础,是确定资本充足水平的重要依据。目前对操作风险的计量方法远远不如对市场风险和信贷风险的计量方法完善。根据新巴塞尔协议的建议,对操作风险的计量主要有三种方法:基本指标法、标准法和高级计量法。其中高级计量法又可以分为内部衡量法、损失分布法和计分卡法,本文探讨的操作风险计量方法就是损失分布法的一种。
操作风险的特殊性决定了对其计量也不同于市场风险和信贷风险。首先是操作风险发生的突发性和不可预测性。对于市场风险,可以根据市场因素的变化对标的资产的价值变化进行预测;对于信贷风险,可以对目标的经营状况进行评估来对信贷资产的价值进行衡量。而操作风险通常是突发的,没有可以据以预测其发生的客观指标对其发生进行判断,就如同财产和灾害保险中的索赔事件的发生,因此具有更大程度的不可预测性。其次是操作风险损失的不可预测性。对于市场风险,可以根据市场因素变化的程度出标的资产相应的损失状况,而市场因素变化的范围通常是可以大致估计的;对于信贷风险,根据目标企业经营及资产状况,对信贷资金的回收状况可以有一个大致的评估。但操作风险发生造成的损失,不同的事件发生造成的损失是不一样的,即使同样的事件发生造成的损失也通常是不一样的,这样造成了操作风险损失上的不可预测性。第三是操作风险分布的不平衡性。对于市场风险,当市场因素变化时银行标的资产在不同部门、不同分支机构的损失状况是基本相同的。而操作风险在不同的部门、不同的分支机构中分布是不同的,在业务规模大、交易量大、结构变化迅速的业务领域操作风险的损失也较大。
由于操作风险的这些特性,对它直接进行计量具有很大的困难,因此在对操作风险计量的时候首先根据操作风险的内容将操作风险划分为两个部分:低频高冲击事件风险和高频低冲击事件风险。所谓高频低冲击事件风险是指发生概率比较高,发生时损失比较小,在经营过程中经常会发生的事件给银行带来的风险。对于这一类风险,可以建立比较准确的计量模型,并且对未来预期损失作出较为准确的估算。这一类风险主要是日常业务流程处理上的小错误,比如清算失误、交易记录错误等。所谓低频高冲击事件风险是指发生的概率比较小,很难对它准确预期,一旦发生就会对银行造成很大损失的事件发生给银行带来的风险。对于这一类风险,属于一种极端的情况,通常并不会发生,因此对它的测度要采用情景分析的方法。这类风险主要是导致损失较高的灾害、大规模舞弊等。对待不同特性的风险类型需要采用不同的计量方法对其计量,最后将风险资产的数额加总获得银行面临的全部操作风险的度量。这个过程如图1所示。

三、商业银行操作风险的损失分布法计量
根据前面论述的风险计量框架,本文分别对低频高冲击事件风险和高频低冲击事件风险进行计量,并在此基础上获得对整体操作风险的计量。
1.高频低冲击事件风险计量
高频低冲击事件风险是商业银行在日常操作中不可避免的程序性失误,对于这一类风险的防范除了监管和内部控制外最重要的是银行事先预备一定数量的准备金,采用风险承受的策略,也就是新巴塞尔协议对资本充足率的要求。同风险防范的策略相对应,对这一部分风险的计量也主要是测量在给定置信区间和持有期间上、在正常经营条件下银行资产可能遭受的最可能损失数额。为了叙述方便,本文引入以下符号:设分析区间为[0,T],有n个离散点,分别为1,2,3,……,n;记银行某业务部门在该期间发生的高频低冲击事件损失为随机变量x,n个样本点的值分别为x1,x2,x3,……,xn。
(1)平均损失程度的度量
损失程度可以用最大损失量或平均损失量计量。由于最大损失量偶然性较大,使用平均损失量能够更好代表操作风险损失的大致水平,故本文采用平均损失量计量损失程度。
首先需要计量银行在计量期间内发生的损失序列的平均值与损失发生频率,二者的乘积构成银行操作风险损失的期望损失值的度量。用p2(p)表示损失序列均值,有:

式中:N1是在[0,T]区间上,xj>0的样本点数。式(2)中,计算的平均损失,是剔除了0值点后损失序列的平均值。
设损失序列中不为0的个数为N1,x的观测点数为n,则损失的概率p1(a)为:

平均损失程度计量指标R1是在计量期间内操作风险损失的期望值,是损失序列的损失程度p2(p)与损失概率p1(a)的乘积。
(2)考虑损失易变性的修正计量指标
平均损失程度计量指标R1仅反映出损失的平均水平,而无法反映出不同的操作事件导致的损失差异
的大小,因此还要在平均损失程度指标的基础上引人损失的易变性,以衡量时间序列数据的波动性。 根据损失易变性越大风险越大的基本观点,将损失序列的标准差引人计量指标,有:

式中:σ(x)——损失序列x的均方差,用于描述风险的易变性;
k>0——调整系数,反映易变性对银行操作风险的影响,也可以说是银行对操作风险的态度。
式(2)的基本含义是,风险随着损失序列均值和易变性的增加而增加,但它们对风险的贡献是不同的,E(x)的贡献是主要的,σ(x)的贡献是处于第二位的。式(2)中的“1”是指:当σ(x)=0时,风险的测度值为R1,这就是说,即使损失无变化,但只要存在损失,仍存在风险,这与Fishburn(1984)对风险的认识是相同的;当σ(x)>0时,损失变化的风险应大于具有同样损失均值但无损失变化的风险。因此,本文认为,σ(x)对风险的作用是在原有风险基础上进行的调整,而不是完全取代或简单地用σ(x)去加上R1,这样可以突出可能损失在风险中的作用。k的选取没有统一的规定,它取决于投资者在计量风险时对待损失易变性的重视程度。一般k越大,越突出损失易变性对风险的影响;反之,k越小,表明投资者对损失易变性看得越轻;当k=0时,投资者则不考虑损失的易变性。另一方面,kσ(x)指的是k个单位的标准差,很容易将选取的置信区间同风险计量联系起来,这样可以将低频高冲击事件风险和高频低冲击事件风险的计量统一到相同的置信区间计量。
尽管在计量操作风险负面性强度时,本文开始选用了平均损失,但R2将E(x)与σ(x)结合在一起,实质上间接考虑了最大损失的问题。
(3)考虑损失频率的修正计量指标
考虑到操作风险分布的不平衡性,仅仅考虑到损失的可能的程度是不够的,在不同时期业务量大小不一样带来的操作风险发生的可能性也会不同,因此在对高频低冲击事件风险的计量时还应当考虑到损失的频率。
设银行某业务部门单位时间内发生高频低冲击事件的次数为f,最大发生损失的次数为fm,则定义该业务部门高频低冲击事件风险的频度系数为:
fr=f/fm
式中,fm的数值规定与规定的时间单位有关,在单位时间确定后,fm为一常数。通常可以选择单位时间包含的天数作为最大损失次数。根据波动系数的,将操作风险计量公式再一次修正,可以有:

式中,k2≥0,为损失频率调整系数。它反应了损失频率对操作风险的影响程度。这个系数的数值通常是由银行自行选择的,如果认为损失频率对风险的影响程度大,可以将k2取大一些,当k2=0时,意为在计量风险的时候不考虑波动频率。
至此,本文建立了对高频低冲击事件风险的计量方法,该方法通过一个简单的公式将该类风险损失的可能性、损失的可能程度、损失的易变性以及损失的期间统一起来。
2.低频高冲击事件风险计量
低频高冲击事件风险具有更大的偶发性及损失程度的不确定性,并且每次发生造成的损失都是巨大的。对于这一类操作风险的防范,银行一次性提取某一固定比例的准备金会面临两个问题:第一,固定提取比例选择的问题。根据新巴塞尔协议有关操作风险计量的标准法,对于不同的业务类型规定不同的提取比例,但不同的商业银行会有不同的具体情况,同一商业银行不同分行、支行也会有不同的情况,很难用统一的提取比例对其进行规定。第二,即使确定一个固定的提取比例,银行一次性的提取大数额的资金作为风险准备金,但这部分损失发生的几率却是很小,而却要将相当一部分资产变成了不生息或是只产生微薄收入的准备金,不利于银行的经营效率的提高。因此对这一部分风险的计量本文采用不同于传统情景分析的方法,而是以一个类似于保险精算的模型解决上述两个问题。
(1)损失发生频率计量
低频高冲击事件的发生具有很大的偶然性,每一次事件的发生与其他事件的发生通常没有关联,可以认为是各自相互独立的。又由于风险事故发生的稀有性,因此可以假定损失次数过程N(t)具有如下特征:
首先,在时间起点,操作风险损失次数为0,即N(0)=0。
其次,在一个足够短的时间内,最多只能发生一次低频高冲击事件,且发生一次损失的概率与此时间的长度成正比,而发生两次或两次以上损失的概率是时间长度的高阶无穷小量,即:

最后,在两个不相交的时间区间内发生的损失次数相互独立,而且在每一时间区间内发生损失次数只与时间长度有关而与时间起点无关,也就是说,N(t)是一平衡独立增量过程,有:

可以证明,满足上述三个条件的随机过程为泊松过程,有:

不失一般性,假设时间长度为0,即令t=1,则上式简化为:

由此可见,在一个单位时间内,低频高冲击事件风险的损失次数服从参数为入的泊松分布。由基本的统计学知识可有期望损失发生次数为其均值,即参数入。 (2)损失程度计量
低频高冲击事件风险的损失是很难事先估计的,但仍然有一个大致的估量方法,当损失发生时,损失的程度不能大于该操作风险发生的部门或岗位能够动用的最高限额。用x表示损失的实际金额,S表示某一业务部门能够动用的,即能够损失的最高限额,有损失分布函数为:

该式说明,当损失金额小于最高限额时,即x

式中:p(x)——损失事件发生的概率。
(3)提取风险准备金的计量
银行提取的用于低频高冲击事件风险的准备金总额就应当等于期望的损失次数与期望的损失程度的乘积,结合公式(4)和公式(5)可以有:

单位时间提取的风险准备金数额为:

式中,R1——在第t期提取的有关低频高冲击事件操作风险准备金数额。
为了安全起见,银行需要留出一定程度的富余以防备可能出现的超出平均水平的损失,这主要是为了防止超出预期次数的损失出现。因此需要对期望损失次数做一下调整,通常是考虑在一定的置信水平下期望损失次数的变化幅度。这里介绍一种简化的方法对相关变量进行调整。在一定精确度的条件下计提风险准备金的单位时间数可以用一个简单的数学公式表示:

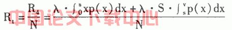
式中:N'——在某精确程度下计提风险准备金的时间单位数。E——相对于预期损失次数而言实际损失变动的次数与总数的比率,表示所需要的精确度。S——实际损失与预期损失相差的标准差的个数,s值可以说明对所有获得的结果的置信程度。P——某一特定标的发生损失的概率。这样,考虑到一定置信水平下损失的波动性后每一个单位时期计提的全部有关低频高冲击事件操作风险准备金为:

3.整体操作风险计量
在高频低冲击事件风险和低频高冲击事件风险计量的基础上,可以获得在任意一个时期整体操作风险的计量。它就等于该年度计提的高频低冲击事件操作风险准备金的数额加上截至这一时期累计提取的低频高冲击事件操作风险准备金数额之和。

式中:n——截至期为止经过的单位时期的期数。
四、结 论
本文探讨的操作风险计量方法从理论上是可行的。作为操作风险本身就存在很大的不确定性,不同种类的操作风险发生的频率、造成的损失都不一样,将这些不同种类的操作风险一同计量是不可能准确的。采用风险价值计量可以预测最大损失的可能,但巨额的风险准备金会降低商业银行的资金效率。因此本文综合考虑了这些因素,建立了一个复合模型来解决风险防范与资金效率的矛盾。
商业银行操作风险的计量是一个复杂的系统工程,也是计量的新课题,目前仍然没有一个十分准确和标准的计量方法,本文也仅仅是对操作风险计量的初步探讨。
上一篇:商业银行投资模式的拓展
下一篇:最优银行监管理论新发展











