关于我国商业银行规模与效率:理论与现实的悖论
关键词:商业银行 规模 超越成本对数函数法 悖论
论文摘要:理论分析表明银行在达到一定规模之后,规模经济弹性系数随着其规模的扩大趋于上升,规模不经济性越来越强;采用超越成本对数函数法的实证研究,却得出了从1994年到2005年,我国商业银行规模弹性系数趋于下降,规模经济性越来越明显,银行效率趋于提高的结论。本文试图从商业银行规模经济的内部和外部两方面的因素来解释理论与现实之间的悖论。
随着我国国民经济的持续增长,无论国有商业银行还是股份制商业银行,规模都迅速扩张。我国商业银行规模是否经济,近几年来我国商业银行规模与效率的关系如何,都将成为本文研究的重点。
一、综述
各国学者对银行业的规模经济问题运用各种方法作了多方面研究。这些研究关注的焦点在于银行业是否存在规模经济,以及规模经济在多大的范围内存在等方面。Benston(1972)最早研究了银行业的规模经济效应,认为不管自身规模大小,给定其他条件不变,银行规模扩大一倍,平均成本将下降5%~8%;Lavrence(1989)发现总资产小于1亿美元的商业银行存在规模经济;Nouras.Ray和Miller(1990)指出,总资产在10~60亿美元变动时,其银行效率会逐渐减小,总资产超过60亿美元的银行出现了规模不经济现象;Ashton(1998)对英国银行业的研究表明,规模小的银行具有较高的规模经济性质,总资产在50亿英镑以上的银行出现了规模不经济;Budnevich、Franken和Paredes(1998)研究表明,小银行通过并购途径有助于实现规模经济效应,但是大银行无法达此结果;Kuntand、Huizinga(1999)用回归分析方法对80个发达国家和家的银行效率的研究发现,资本、通货膨胀、银行业的市场集中度和利润率正相关,同时,股权结构对银行利润率的影响比较显著。
国内相关领域的研究出现的比较晚。于良春和鞠源(1999) 运用经营效率指标和成本费用指标对中国商业银行进行比较研究后发现,新兴商业银行的获利能力和经营绩效明显高于四大国有商业银行。赵怀勇和王越(1999) 通过对资产收益率及市场集中度等相关经济指标的比较,指出我国四大国有商业银行资产收益率低下直至亏损的主要原因是,支撑银行绩效的国民经济总体效益较低。赵旭(2000) 运用数据包络分析法(DEA) 对我国国有商业银行1993-1998 年的数据进行了实证分析,指出国有商业银行相对于外国银行而言,其绝对规模并不算大,而就其现有的经营、服务与管理技术条件,其有效的经济规模又比实际规模要小。杜莉、王锋、齐树天(2003)在Translog 成本函数的基础上,结合我国的国情,对我国银行业的规模经济状况进行了实证分析,其判断标准是成本——规模弹性系数E。在不考虑不良资产的情况下,其结果是我国商业银行在规模上还有很大的扩张空间;然而,将不良资产考虑在内后,四大国有商业银行普遍呈现出了规模不经济。
以上研究成果主要集中在银行实现规模经营和高效率应该保持的规模大小、各种影响银行规模经济的因素和商业银行规模的扩展空间等方面。而本文试图从理论和实证两方面,得出我国商业银行规模与效率的关系特征,并结合我国商业银行近年来经营的一些基本指标数据对此进行经济学解释。
二、商业银行规模经济的理论分析
银行规模经济是指随着银行的业务规模、人员数量、机构网点、产品的扩大和增多而发生的单位运营成本下降、单位收益上升的现象,它反映了银行经营规模与成本收益的变动关系。如图

假定银行主要经营存贷款业务。在图中,横坐标表示银行的营运规模,即机构网点规模所能收的资金量;纵坐标表示银行的成本价格,即银行存款和平均利率与费用支出成本。图中的LAC为长期平均成本曲线,LMC为长期边际成本曲线必将经过其最低点E。LAC、LMC曲线描述了成本与规模的关系,如图所示:在经营规模小于OQ阶段,边际成本小于平均成本,平均成本随着经营规模的扩张而趋于下降;相反,在经营规模大于OQ时,边际成本大于平均成本,平均成本随着经营规模的扩张而趋于下降。最低的长期平均成本发生在经营规模为OQ点上,由此可以知道,银行的最适规模为规模OQ。
依据经济学理论,规模经济性通常利用总成本对产出的弹性来衡量,用来描述规模经济弹性系数(总成本对产出的弹性),它的大小受银行投入和产出水平的影响,则有:
SE=(dTC/TC)/(dQ/Q)=(dTC/dQ)/(C/Q)=LMC/LAC
可以得出,随着经营规模的扩大,规模经济弹性系数 SE是逐渐增大的。在经营规模小于OQ阶段, SE<1,银行规模变化1%所引起总成本变化低于1%,即成本的增加慢于规模的增加,此时存在规模经济;在经营规模大于OQ时,SE>1,银行规模变化1%所引起总成本的变化超过1%,即成本的增加快于规模的增加,此时存在规模不经济;在最适规模OQ处,SE=1,银行规模变化1%将引起总成本1%的变化,即规模与成本同比例增加,此时处于规模经济与规模不经济的临界点。
三、商业银行规模及效率的实证分析
(一)实证数据的处理
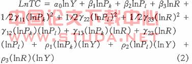
根据商业银行的经营的特点,本文利用超越对数成本函数法作为估计银行的成本及其生产函数的方法。对于多种投入和产出的银行,其对数成本函数可以表示为:

其中:TC表示总成本,y表示商业银行的产出,只 表示第i种投入品价格。 把商业银行的产出定义为贷款和投资,用 y表示贷款和投资的总和,将投入定义为资本、劳动及存款,他们的价格分别用R表示。则超越对数成本函数可以表示为:

根据规模经济的相关理论,利用总成本对产出的弹性来衡量银行的规模经济性,即:

在指标数据的过程中,总成本是指银行的支出成本,包括利息支出、营业费用以及营业税金及附加等;银行存款是指全部存款的总和,等于短期存款、短期储蓄存款、长期存款及长期储蓄存款的总和;投资是指债权投资和股权投资之和;资本成本(Pk)是指年度固定资产折旧于年度固定资产净值的比值,基于数据的可获得性,本文采用固定资产净值与存款总额的比值来近似表示;劳动成本(Pl)是指银行雇员的工资总额与银行员工总数的比值,本文采用营业费用与存款总额的比例表示;R表示资金运用成本,用利息支出额与存款总额的比例来表示。
本文所选取的样本为中国工商银行、中国农业银行、中国银行、中国建设银行、银行、浦东发展银行、光大银行和中信实业银行8家商业银行,研究期间为1994-2005年,采用的指标数据系根据中国金融年鉴(1995-2006)所列示的8家商业银行1994-2005年的资产负债表、损益表整理所得。由于所采用的数据是截面数据,所采用数据均通过价格指数调整至1994年。
应用 Eviews3.1软件,经过多次迭代,得出检验结果在 10%置信水平下都是显著的。根据公式(3)得出如下的规模经济(SE)弹性系数的计算公式:

利用上面计算的参数估计结果,可以计算出各商业银行的规模经济(sE)弹性系数如附表所示。
(二)实证研究结果的分析
本文采用的是改进的超越对数成本函数,各商业银行的规模经济弹性系数的值均大于 1,即我国的商业银行普遍存在着规模不经济(如附图所示,我国商业银行规模均处于Q点以右)。从附表中我们可以看到,从 1994年至 2005年以来,随着商业银行规模的扩大,其规模经济弹性系数却一直呈下降的趋势,规模经济性越来越明显。这与理论出现了显著的相悖,我国商业银行实现了规模扩大,同时银行营运效率则提高。这一双赢的状态是怎么形成的呢?这说明了我国商业银行新增资产边际成本降低,同时赢利能力有所提高。我们可以从影响我国商业银行规模经济性的内部因素和外部因素两方面进行分析。

(1)银行的信息技术水平。我国商业银行的技术水平在近年来得到了显著的进步。技术开发力度逐年加强,如成立网上银行、电话银行、手机银行等等虚拟银行,依赖其长期固有的、庞大的顾客群,使得新技术被利用的效率较高。借助信息技术,银行业可以超越时空、地域、交换位置,共享资源,实现信息化、全球化,使得商业银行从服务到管理都在发生着深刻的变革,商业银行以抢占服务竞争的制高点为奋斗目标。技术上的创新实现了规模经济在一个起点上的飞跃,实现了一个更高层次、更优的规模经济效应。
(2)银行的治理结构水平。我国商业银行体制在近年来也得到巨大改善。首先是推行股份制改革。几年来银行、建设银行、工商银行相继上市,银行内部产权结构得到了优化。其次,推进内部组织管理体制的改革,责权利紧密结合的灵活经营机制得以完善。再次,基本实现传统人事管理模式向人力资源管理模式的转变,逐步建立起适应经济金融全球化需要和现代商业银行特点的一整套先进的人力资源管理运作模式。公司治理改善降低了我国商业银行过高的管理费用,减少了银行利润的消耗部分;使银行的规模扩张充分考虑到了规模与利润之间的正相关关系,达到了银行总成本有效率运行的状态。这使得我国商业银行管理运营模式和内部管理机制进一步规范,提高了其市场化程度和赢利能力。
(3)银行的交易费用水平。交易费用可以被定义为银行进行借贷交易活动所投入资源的价值量度,其大小和结构的变化必然对商业银行的经济效益产生重大的影响。这一影响主要体现在两个方面,一是商业银行信贷资产质量,二是商业银行的盈利能力。近些年来,银监会一直把银行业不良贷款的下降作为监管工作的重中之重,不断推动商业银行积极清收贷款和利用拨备核销贷款损失,提高信贷资产质量,连续几年实现了商业银行不良贷款余额和比例的“双下降”。而衡量商业银行盈利能力的两个基本指标资产收益率和人均创利率,在近几年来也有了长足的发展。以工商银行为例,根据中国金融年鉴的统计资料,2005年其资产收益率为0.52%,而 1994年仅为 0.16%;2005年其人均创利率为 6.81万元,而 1994年只有0.75万元。可以看出,银行的交易费用水平是逐渐递减的。这为银行扩大规模创造了条件:规模扩大促使单位交易费用递减,而单位费用的递减,又可以促进规模的进一步扩大,提升规模经济效益。
2.商业银行规模经济性增强的外在影响因素
(1)社会经济发展水平。经济发展和金融发展两者之间是相互影响、相互促进的。在正常情况下经济发展水平与银行规模经济正相关。我国近几年来经济一直保持着强劲的增长势头,每年保持 9%以上的增长速度,这必然为银行的发展提供了广阔的基础,提高了银行规模经济性。
(2)银行的业务创新程度。银行业务创新使得其规模经济的边界不断扩大。近几年来,我国商业银行陆续开展了个人消费信贷、代发工资等新业务。这些业务在不增加银行网点的情况下增加了银行的收益,取得了很好的规模效益,无论在资产业务、负债业务还是在中间业务方面的创新越来越提高了其经营的规模经济性。由于金融工具的创新和金融工程的应用,银行能够以更低的成本来满足投资者收益性、流动性、安全性和风险分散化的要求。这些都扩大了银行经营的生产边界,使其在规模扩大的同时保持了经营效率的提高。
(3)银行业的市场结构水平与政府干预情况。市场结构与规模经济的关系表现在,竞争性的市场结构有利于银行业规模经济的形成。1994年至今,随着国有专业银行的商业化改革和众多商业银行的成立,加上外资银行的大量进入,中国银行业的市场结构发生了重大变化。从市场份额上看,目前中国银行业的市场结构具有寡头垄断的特征。但随着改革开放的发展,我国商业银行的数量不断增多,不同规模、不同性质的银行大量出现,垄断程度逐步降低,竞争也日趋激烈,这一过程有利于提高银行业的规模经济性。
目前,我国金融监管当局对银行业的管制也日益放松,这有利于提高公众利益,增加社会福利,另一方面也降低大量的进入成本,促进了了竞争,提高了银行效率。近年来我国商业银行的经营更加符合了标准的商业银行管理运营模式,很少有政府干预的经营,使其在人事制度上比较灵活。同时,四大国有商业银行也逐渐卸下了国家政策性贷款业务,在企业利润最大化的目标指引下,利用完善的服务和竞争性手段开拓市场,其市场化程度和赢利能力大大加强。
四、结 论
理论分析表明银行在达到一定规模之后,规模经济弹性系数随着其规模的扩大趋于上升,规模不经济性越来越强;我们采用超越对数成本函数法的实证研究,却得出了从 1994年到 2005年,我国商业银行规模弹性系数趋于下降,规模经济性越来越明显,银行效率趋于提高的结论。同时从商业银行规模经济的内部和外部两方面的因素对理论与现实之间的悖论进行了解释。
[1] GEORGE,BENSTON.Economics of Scale of FinanciaInstitutions[J].Journal of Money,Credit and Banking1972(2).
[2] LAVRENCE.Bank Costs Generalized Functional Formand EstinationofEconomiesofScale andSeope[J].Jourhal ofMoney,CreditandBanking,1989(21).
[3] BUDNEVICH,FRANKENANDPAREDES.ThePerformanee of D~novo Commercial Banks .A Profit Effieiency Approach[J].Journal of Banking and Finance1998(4).
[4] DEMINGUC,KUNT,HARRY.Huixinga.Determinants of Commercial Bank Interest Margins and Profitability.Some International Evidence[J].The worldBank Economic Review,1999.
[5] 赵旭.国有商业银行效率的实证分析[J].国际金融研究,2000(6).
[6] 杜莉,王锋,齐树天.我国商业银行规模经济及其状态比较[J].吉林大学社会学报,2003(1).
[7] 胡俊华,周芳.中国商业银行规模经济实证分析——基于超越对数成本函数法[J].黑龙江对外经贸,2006(1).











