货币危机预警理论及实证比较研究
关键词:货币危机;预警模型;比较;应用
一、引 言
当前,经济正全面融入世界,金融业也已进入全面开放的最后阶段。2005年7月21日起,我国已实行以市场供求关系为基础,一篮子货币进行调节的、有管理的浮动汇率制度,汇率对经济的调节功能已显而易见,人民币流通区域化、国际化步伐加快,趋势明显,这同时也大大增加了我国的货币风险,所以研究货币危机的预警理论,对稳定人民币汇率和增强货币的抗风险能力等都具有重要的理论及实践意义。本文旨在对东南亚金融危机后各种货币危机预警的主流理论作出梳理和归纳,并对其实证结果作出客观评价的基础上,对我国的可能情况作了实际模拟分析,从而为我国货币危机预警理论及实践提供借鉴。
二、FR概率模型:简单易行且较成熟但偏差较大
(一)FR模型的建立和基本特征。1997年,Frankel和Rose以100个发展中国家在1971—1992年这段时间发生的货币危机为样本,以各个国家的年度数据为样本资料,建立了可以估计货币危机发生可能性的概率模型。FR模型将货币危机定义为货币贬值至少25%,并至少超出上年贬值率的10%。其研究对象不包括货币当局通过卖出外汇储备或提高利率成功击退投机供给的情况。Frankel和Rose认为,货币危机有多种因素引发,其中选择的变量有:GDP的增长率、国外的利率、国内信贷增长率、政府预算赤字占GDP的比率和经济开放程度等等。如果用Y表示货币危机这一离散变量,用X表示货币危机的各种引发因素的向量,β代表X所对应的参数向量,那么就可以用引发因素X的联合概率分布来衡量货币危机发生的概率。用公式表示为:

(二)FR模型的预警效果及评价。Frankel和Rose运用数据指标对货币危机发生的概率进行了最大对数似然估算。结论是:当产出增长缓慢,国内信贷增长较快,国外利率较高,外国直接投资占总债务的比例较低时,货币危机发生的概率增加。另外,研究结果说明外汇储备水平较低和实际汇率升值对预期危机有一定的作用。
FR模型的优点是:因为其研究思路是通过对一系列前述指标的样本数据进行最大对数似然估计,以确定各个引发因素的参数值。从而根据估计出来的参数建立用于外推估计某个国家在未来某一年发生货币危机的可能性的大小。所以,模型构建简单,数据取得容易,方法较为成熟,应用较为广泛。为了衡量FR概率模型对预测1997年东南亚货币危机的效果,1998年Andrew Bery和Catherine Pattilo对模型的准确度进行了验证。该模型预测泰国在 1997年发生货币危机的概率不到10%,而预测墨西哥、阿根廷发生货币危机的概率分别为18%和8%,这与事实严重不符。这就说明FR模型在预测的准确度方面还存在一定缺陷。缺陷主要有三:第一,“三重估计”在客观上限制了模型的准确性。在建立模型时,存在双重估计:一是必须要估计多因素、多参数条件下的联合概率分布,二是必须各参数的估计值。另外,在预测过程中,还必须估计某一外推年度的各个引发因素的取值。多次的估计导致了信息的过度使用,增加了偏差,降低了准确性。第二,模型没有考虑国家之间的差异性。一是它在定义货币危机发生与否的标准上没有考虑到各个国家之间的差异。二是它在确定引发因素、样本数据方面对各个国家一视同仁,没有区分。第三,FR模型的样本数据采用的是年度数据,数据很难达到“大数定律”的要求,客观上限制了FR概率模型的实用性。
三、STV横截面回归模型:考虑国别差异却条件苛刻指标也有失完整
(一)STV模型的建立与基本特征。该理论模型由Sachs,Tornell和Velasco研究建立。他们选择了20个新兴市场国家的截面数据,分析了1994年末的墨西哥货币危机在1995年对其他新兴市场国家的影响,考察了货币危机发生的决定因素;将货币危机指数IND定义为1994年11月~1995年4月加权的储备下降百分比和汇率贬值百分比的总和。他们认为:实际汇率、贷款增长率、国际储备与广义货币供应量的比率对一个国家是否发生货币危机至关重要。此外,他们还确定了两个虚拟变量:当实际汇率贬值幅度处于低四分位或国内私人信贷增长率高四分位时,第一个虚拟变量取值为1,其他情况则为0;当国际储备与广义货币量的比率处于低四分位时,第二个虚拟变量取值为1,其他情况为0。结果发现,如果一国的银行体制比较脆弱(LB,用1990—1994年对私人部门信贷的增长率来衡量),汇率高估(RER,用从1986—1989年和1990~1994年实际汇率的贬值率来衡量),同时,外汇储备水平(DLR,用外汇储备/M2来衡量)较低,经济基本面脆弱(DWF)就会遭到更严重的攻击。其估计方程为:

其中:β为7个指标各自回归的相关系数。在估计方程中,假设:(1)实际汇率贬值的国家遭受的危机较轻,但是这只与较低的外汇储备和脆弱的经济基本面因素有关,所以有:β2=0,β2+β4=0,β2+β4+β6<0。(2)贷款膨胀导致危机的严重性增加,但也只是与较低的储备和脆弱的基本面因素有关,因此有:β3=0,β3+β5=0,β3+β5+β7<0。
(二)STV模型的效果及评价。Sachs等人在1998年再次选用20个新兴市场国家的截面数据,对模型进行了实证检验,实证结果表明,模型对马来西亚和泰国在1997年的预测与实际情况相吻合,对巴西和阿根廷的预测与实际情况也较为一致,然而对印度尼西亚和韩国的预测准确度较差。
该模型除具有FR模型在指标选取和方便使用等方面的相同优点外,还使用了横截面数据,克服了FR概率模型没有考虑国别差异的不足;同时,该模型的指导思想是寻求哪些国家最有可能发生货币危机,而不是分析什么时候会发生货币危机。当然,在实证检验中也发现了预警的许多偏差,主要在于:第一, STV模型要求找到一系列相似的样本国家,这在现实中相当困难,因为国与国之间的差异通常很大。第二,STV横截面回归模型考虑因素范围过于狭窄,只考虑汇率、国内私人贷款、国际储备与广义货币供应量的比率等指标。第三, STV模型的估计方程是线性回归模型,过于简单,而现实情况往往是非线性的。第四,STV模型对危机指数的定义有失偏颇。第五,虽然Sachs等人的回归分析法对货币危机发生的决定因素进行了有益的分析,但是人们关心的不仅仅是决定危机发生与否的因素,而是希望能够预测危机发生的时间。
四、KLR信号分析法:准确性高但指标设计有倾向性
(一)KLR模型的建立和基本特征。该模型是Kaminsky、Lizondo和Reinhart于1998年创立并经过Kaminsky(1999)的完善。其预测步骤为:首先,通过研究货币危机发生的原因来确定哪些变量可以用于货币危机的预测;其次,运用数据进行统计分析,确定与货币危机的发生有显著联系的变量,以此作为货币危机发生的先行指标,并计算出该指标对危机发生进行预测的临界值。一旦一国经济中相对应的指标变动超过了临界值,那么就可以认为在24个月内将发生货币危机。在此基础上,他们采用1970—1995年发生于 15个发展中国家和5个发达国家的月度数据确定货币危机发生的临界值。利用这些先行指标与相对应的临界值建立一个有效的货币危机预警体系。一个预警指标在一定的历史时期内,有一个时间序列数据,根据这个时间序列数据可以估计它的累积概率分布,临界值就是某一个累积概率,当指标取值所对应的累积概率超过了这个临界值,就发出一个信号。为了对发生货币危机信号的指标进行综合考虑,模型在单个指标的基础上提出了4个预测危机的合成指标。他们还根据准确发出信号的概率、信号出现先于危机发生的时间长短、危机前信号出现的持续性等指标,对危机预测的成效与实际危机发生的序列等进行拟合度检验,结果发现对预测货币危机表现最好的先行指标是:产出水平、实际汇率对长期趋势的偏离、股票市场价格、广义货币与外汇储备的比率等等。其中第四个合成指标是预警能力最强的指标。
(二)KLR模型的预警效果及评价。Kaminsky等在1998年通过对25份 20世纪50至90年代发生于发达国家与发展中国家货币危机的研究成果的比较,得出了主要结论:预测货币危机的有效指标包括出口、实际汇率对一般趋势的偏离、广义货币对外汇储备的比例、产出和股票价格,而国内外实际存款利率的差别、借款利率和贷款利率的差别、进口、银行存款等指标并不具备有效预测的能力。
实证表明,用KLR模型来预测东南亚货币危机,泰国发生危机的可能性超过了40%,马来西亚超过了30%,印度尼西亚为25%~28%,韩国为20%~ 33%。这表明KLR模型比以往的预警模型的准确性要高得多。该模型的最大优点在于:能用数理方法确定与货币危机发生有显著关联的变量作为货币危机发生的先行指标,并计算出该指标对危机发生进行预测的临界值。同时,在指标的选择上比上述其他模型包含了一整套更为广泛的指标。但是KLR模型的缺陷也很明显,由于FR模型将外债指标作为研究对象,而外汇储备又不作为指标,于是导致认为外债指标作用不佳,从而放弃了外债指标。而且KLR模型25个指标中有明显的倾向性,大多集中在外汇储备、信贷增长与实际汇率等方面,放弃了外债指标有失偏颇,所以使该模型的有效性打了折扣。
五、基于合成指标的多时标货币危机预警流程:能区分时间差异但权重设计不佳
(一)多时标货币危机预警模型的建立和特征。该模型是冯芸和吴冲锋 (2002)根据市场形势的剧烈变化提出,该模型引入了多时标,并采用扩充观测指标集的方法将预警指标分为:(1)长期预警指标,反映金融系统宏观层面的状况,其监测周期为一年或一个季度;(2)中期预警指标,反映金融系统中观层面的状况,其监测周期为一个月;(3)短期预警指标,反映金融系统微观层面的状况,其监测周期为一周甚至是一天。
该预警流程首先在起始端进行长期预警,若预警系统未发出长期预警信号,则继续下一个长期预警周期,政府部门不需要做出反应;若预警系统发出长期预警信号,政府部门就需要做出长期调整。与此同时,预警系统进入中期预警阶段。
进入中期预警阶段以后,对中期先行指标进行监测,监测周期缩短。如果指标没有超过其临界值,说明经济中的矛盾并未出现早期症状,但是仍需要继续关注;如果超过临界值,说明经济中的矛盾已经在中观层面有所表现,应高度关注,同时进入短期预警体系,缩短监测的周期并扩大监测指标范围。
在短期预警阶段,不仅监测周期缩短,监测的频率增大,同时将预警信号根据短期先行指标的表现分为正常警戒和危机两种。与此同时,对长期与中期指标仍要继续监测。而之所以扩大了预警指标的范围是因为金融市场快速变化的本质特征的要求。
(二)多时标预警流程模型的预警效果及评价。冯芸等人将基于合成指标的多时标货币危机预警流程系统应用于1997年亚洲货币危机中5个主要受害国家(泰国、菲律宾、马来西亚、韩国和印度尼西亚)的实证分析。对于长期预警指标的检测结果,泰国在1996年第二季度、1998年第四季度,菲律宾在 1996年第二季度、1997年第一季度、1998年第一季度至第四季度,印度尼西亚在1996年第二、三季度、1997年第一季度发出了长期预警信号,进入了中期预警流程。中期预警指标的监测结果是:亚洲5个国家在1997年7月亚洲货币危机全面爆发之前都发出了中期预警信号,并进入了短期预警流程。短期预警结果为:泰国、菲律宾、马来西亚、韩国和印度尼西亚分别在1997年5月15日、7月11日、7月14日、11月20日和7月21日发出了危机信号。
与前三个模型相比,多时标预警流程模型的准确度大大提高,该模型是对 KLR模型的修正,在KLR模型的基础上引入了多时标,注意了不同指标在预警时间上的差异,增加了时间因素。但是该模型仍然有自身的缺陷,其中最明显的不足在于,虽然模型加入了时间因素,但是它却无法区别每个指标对危机的预警程度大小。在特定情况下,不同的指标对货币危机预警的有效程度是不一样的。但是多时标预警流程只是在KLR模型的基础上进行了修正,指标超过了临界值就发出一个信号,但是不同的指标对货币危机的影响是不一样的,表面上看都发出了一个预警信号,但是这无法体现各个指标在货币危机预警体系中的权重。
六、基于滞后宏观和数据的Logit模型:适用性强、准确性高、改进方便
(一)Logit模型的建立和基本特征。基于滞后宏观经济和金融数据的Logit模型由Kumar,Moorthy和Perraudin在2003年提出,该模型基于利率调整引起的汇率贬值构建了两个投机冲击预测模型:未预期到的贬值冲击模型和总贬值冲击模型。如果令et为在直接标价法下本币对外币的汇率;rt为本币的利率;r*t为外币的利率,γ1为未预期到的货币的贬值程度(5%或 10%)。则当
时,即投资外国货币或资产的收益大于本币的贬值率时,投资者会抛售本币,引发货币危机。公式左边表示投资者减少国内货币的持有,投资于外币直到到期日时所获得的报酬。当
时,投机性冲击也会发生,以至引发货币危机。其中:γ2指本币的汇率的贬值幅度,值为5%或10%,γ3= 100%。
(二)Logit模型的预警效果及评价。Kumar等在2003年用该模型对32个家1985年1月至1999年10月的危机进行验证,在较高的贬值水平上,两个冲击模型发生的概率均在1994年一月份以后;在解释20世纪90年代早期的阿根廷危机和中期的墨西哥危机、1997年爆发的亚洲货币危机以及1998年俄罗斯、1999年巴西货币危机时,结果是令人满意的,并且样本内预测更为稳定。实证结果也表明,样本外预测对货币危机的发生同样具有较强的解释力,而且它也进一步证实了早期理论研究中提出的导致货币危机发生的主要因素。模型结果显示,外汇储备和出口的下降以及真实经济的虚弱是导致危机发生的最重要解释变量。此外,货币危机的传染性在货币危机中也起了重要作用。
Logit模型的优点是:(1)模型考察了对两种货币危机定义情况下发生货币危机的可能性,即利率调整引起的汇率大幅度贬值和货币的贬值幅度超过了以往的水平的情形,而以往的模型只考虑一种情况。(2)该模型不仅可以在样本内进行预测,还可以对样本外的数据进行预测。(3)模型可以对预测的结果进行比较和检验,克服了以往模型只能解释货币危机的局限。虽然Logit模型能够在一定程度上克服以往模型事后预测事前事件的缺陷,综合了FR模型中概率分析法和KLR模型中信号分析法的优点,但是,它只是在利率、汇率等几个主要金融资产或经济指标的基础上预警投机冲击性货币危机,与我们所要求的一般货币危机预警还有所差异。所以仅用几个指标来定义货币危机从而判断发生货币危机的概率就会存在一定问题,外债、进出口、外汇储备、不良贷款等因素对货币危机的影响同样非常重要。
七、预警模型的综合比较及在中国的模拟应用
(一)各种货币危机预警模型的综合比较(见表1)及权衡选择。

考虑了前述各种模型的优劣势比较和实际应用的可能,同时基于中国未来的货币风险主要来自金融业和资本市场完全开放后的投机冲击,故在我国的实际应用中宜采用Logit模型。
(二)对中国实际的模拟验证。首先要解决货币危机预警模型指标的设计问题。货币危机的产生是国内外经济状况综合变化的结果。指标的选择要包括一国的内外均衡指标和国外相关的经济指标。指标既要精炼,又要具有先导性。本文研究所选取的指标包括:总体经济指标——(1)GDP增长率;(2)失业率;(3)通货膨胀率。国际收支平衡指标——(1)经常账户余额占GDP的比率;(2)出口占GDP的比率;(3)贸易条件恶化率。国内收支平衡系统指标——(1)短期债券占外汇储备的比率;(2)预算赤字占GDP的比率;(3)短期债券占长期债券的比例;(4)政府支出占GDP的比率。货币与信用指标——(1)基准利率变动率;(2)国内信贷增长率;(3)M2占外汇储备的比率。
以1997年东南亚货币危机与2002年拉丁美洲货币危机为样本国家(泰国、马来西亚、印度尼西亚、菲律宾、巴西、阿根廷、墨西哥、韩国、俄罗斯、土耳其和乌拉圭),采用第T-1年的数据来预测第T年的情况(1997年发生货币危机的国家采用1996年的基础数据,2002年发生货币危机的国家采用2001年的基础数据),对前述四大类共14项指标作一筛选,然后再予建模并预测。
首先经检验可知,具有显著性差异的指标为:国内信贷增长率X2、通货膨胀率X3、经常账户余额占GDP的比率X4、国内信贷占GDP的比率X5、M2占外汇储备的比率X6、短期债券占外汇储备的比例X8、短期债券占长期债券的比例X9、基准利率变动率X12。而GDP增长率、预算赤字占GDP的比率、政府支出占GDP的比率、失业率、出口占GDP的比率、贸易条件的恶化等指标,则由于对发生货币危机与否不存在显著性差异,因此将其剔除。
第二步,由于选取的这8个变量指标涉及到总体经济指标、国际收支平衡系统指标、国内收支平衡系统指标和货币与信用指标,故有可能在指标的选取中存在共线性问题,所以对这8个变量指标需要进行共线性检验(检验过程略)。通过共线性检验发现,除X8,其余7个变量指标的VIF(方差膨胀因子)都较小,也就是说其余7个变量指标之间不存在共线性问题。那么这7个变量指标都可以纳入下一步的预警建模。
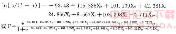
第三步,根据选取的变量指标,运用Logit模型处理的系数混合测试和模型概括后,得到如下预警模型:

IFS统计年鉴中,我国2000年的统计数据最全,其余年份都有一些缺损,同时考虑到研究中与样本资料时间的接近,将中国大陆2000年的数据代入该预警模型,可得到2001年我国大陆发生货币危机的概率模式的具体数据为:

发生货币危机的概率为:P=1/(1+e66.3)≈0。这个数字非常小,接近于 0,说明我国2001年发生货币危机的概率接近0,这与2001年我国大陆的真实情况完全吻合。对于以上验证需要作进一步补充说明。
1.模型变量选择修正问题。以上我们是用1997年东南亚货币危机和 2002年拉丁美洲货币危机为样本国家的基础数据构造的Logit模型对我国货币危机进行了预警模拟,但事实上模型可以针对中国的实际情况进行必要的修正。如考虑到我国经济增长主要依赖于出口带动的外向型经济,所以在敏感性指标的选择上可以加入X13(出口占GDP的比率);又如我国短期外债随着经济不断开放而大幅上升,对货币风险带来一定压力,所以可加入变量X8 (短期债券占GDP外汇储备的比率)。另外,中国当时尚未实施利率完全市场化,所以X12的作用有限。由于篇幅限制,这里不作修正后的再次模拟演示。但结论肯定是同样不会发生货币危机。
2.对预警结果的定性解释。模拟预警显示:我国2001年发生货币危机的概率接近0,也就是几乎没有发生货币危机的可能性,这与2001年我国大陆的真实情况相同。原因解释为:20世纪末,我国已完成金融体制改革的初步目标,建立了能相对独立执行货币政策的中央银行宏观调控体系和以国有商业银行为主体,多种金融机构并存的金融组织体系;建立了统一开放、有序竞争、严格管理的金融市场体系。其表现为:第一,利率市场化在金融自由化改革中稳步前进。第二,金融业务与机构的准入有序化推进。第三,资本账户自由化刚刚起步。第四,固定汇率制度的稳定器作用。
综上所述,我们就能理解我国发生货币危机的概率几乎为。的原因。但是,这并不意味着我国未来就真的没有发生货币危机的潜在可能性,货币危机预警对我国仍有重要意义。
八、结语
本文分别从货币危机预警模型的构造特征、预测方法、数据采集、危机定义和预警效果等不同层面对主流货币危机预警理论与实证作了比较分析。不难看出,它们各自都有优势和缺陷。在实际应用中,首要的问题是解决预警模型的选择。通过理论及实证比较研究发现:Logit预警模型较符合中国的实际,因为它能够在一定程度上克服以往模型事后预测事前事件的缺陷,综合了FR模型中概率分析法和KLR模型中的信号分析法的优点,同时我们认为中国未来的货币风险主要来自金融开放,特别是资本市场完全开放后的投机冲击,故选择 Logit模型较为可行。当然,由于国别不同,特别是制度、经济环境、开放程度和金融体制等的不同,因此实际应用中在模型的选择上应该是没有定论的。为了更能贴近实际,应该对模型进行必要的指标替换和修正。另外必须强调的是:虽然在实证模拟中得出我国发生货币危机的可能性极小(P=1/1+e66.3≈ 0),但是作为一个逐渐成熟并且越来越开放的经济体,我们不可能永远处在一种资本账户严格管制、相对固定的汇率制度和金融业的长期分业经营状态。2006年是我国“入世”过渡期的最后一年,金融和资本账户的全面开放已指日可待。一旦放开了资本账户和金融业的经营范围,我们将面临极大的货币风险。所以,我们应该未雨绸缪,积极做好货币危机的预警和预测。





![金融资本全球化是否历史发展的必然[下]](/d/file/20100626/b3c2c2820f9fdcfe57ba7658c0bbc299.jpg)





