大坝防洪安全的评估和校核
摘要:洪水漫坝风险失事,是影响大坝安全的主要原因之一。本文寻求一种既能反映大坝防洪系统随机性和模糊性,又能合理描述大坝防洪能力的风险模型,以实现对大坝防洪能力的定量化,进而为已建大坝和待建大坝的防洪安全评估和校核创造条件.
关键词:大坝防洪安全 洪水漫坝失事 随机 微分方程 风险分析
目前我国和世界上约三分之一的大坝失事,是洪水漫坝所造成的.因此,正确地对大坝安全进行评估和校核,具有十分重要的意义.洪水漫坝风险是和大坝洪水设计标准紧密联系的.按我国现行的洪水设计标准对大坝的安全进行分析,从水文角度估算的理论漫坝风险率远大于实际漫坝失事率.这说明现有大坝通常具有一定的抗洪潜力.这一抗洪潜力主要来源于两个方面:由于水文、水力等随机不确定性的影响,导致了设计者在调洪演算过程和泄洪建筑物设计规模、坝顶高程的决策中,留有一定的安全系数;由于工程、管理等模糊不确定性的影响,导致了洪水漫坝风险失事临界限值的模糊化,常使洪水位略超坝顶高程而不发生失事事故。
目前,国内外对大坝安全的分析主要从洪水设计标准的选择出发,仅能考察大坝的水文风险,带有一定的片面性和局限性.诸多随机不确定性和模糊不确定性因素均未能定量引入对大坝安全的分析中,致使这一问题迄今未能解决。
1现有大坝安全分析
1.1 已建大坝安全水准评估 通过分析国内外大坝洪水漫坝风险失事的统计资料,可以了解已建大坝的总体安全水准及趋势。
据九十年代初统计[1]我国共建有大坝83000余座,其中土坝占90%以上,运行多达30—40年.
表1我国各类大坝的漫顶失事率
| 类型 | 座数n | 漫坝失事座数np | 漫坝失事率Rp(N=30~40年) | 漫坝失事率(预测) Rp(N=50年) |
| 大型 | 358 | 2 | ||
| 中型 | 2480 | 11 | 0.46% | 0.66% |
| 小型 | 80010 | 1134 | 1.42% | 2.02% |
| 总计 | 82848 | 1147 | 1.38% | 1.97% |
在这些大坝的运行期中,发生漫坝风险失事的共有1147座,约占失事总数的46.6%.各类大坝的漫顶失事座数及风险率见表1.这一统计表明,我国大中型坝的实际漫顶风险率Rp约在0.46%;小型坝的Rp偏高些,达1.42%;总的Rp可达1.38%.八十年代是我国大坝失事最少的年代.据[1]的资料,这一时期我国年均失事大坝27座,其中漫坝失事的约占40.2%.据此,以35年运行期推算,其Rp约为0.46%.这一风险率远小于前述30—40年累计均值Rp=1.38%。
文献[2]—[4]统计了世界各国失事大坝的资料,约三分之一是洪水漫坝而导致失事的.20000座符合ICOLD标准的大坝和12500座土坝的统计资料表明,在50年左右的运行期中,其Rp分别为0.2%和0.36%。
1.2大坝安全的水文分析 传统的大坝安全分析认为:漫坝风险主要来自超标洪水.大坝在整个运行期间抗御洪水的安全度SN,取决于设计洪水重现期Tr和运行年限N,有:
(1)
N年内的漫坝风险率PFN则为:
(2)
这一分析粗略认定,大坝遭遇超标洪水必然漫坝失事,而未遇超标洪水则一定安全.
根据我国现行的大坝洪水设计标准[5],由式(1)求得的各类各等级大坝在N=35年和50年内的SN,见表2.
表2我国的洪水设计标准和相应的水文安全度
| 坝型 | 等级 | 大(Ⅰ) | 大(Ⅱ) | 中 | 小(Ⅰ) | 小(Ⅱ) | |||||
| 土石坝 | 洪水标准Tr(年) | 10000 | 2000 | 1000 | 500 | 200 | |||||
| 运行年限N(年) | 35 | 50 | 35 | 50 | 35 | 50 | 35 | 50 | 35 | 50 | |
| 安全度SN(% | 99.65 | 99.50 | 98.26 | 97.53 | 96.56 | 95.12 | 93.23 | 90.47 | 83.91 | 77.83 | |
| 混凝土坝 | 洪水标准Tr(年) | 5000 | 1000 | 500 | 200 | 100 | |||||
| 运行年限N(年) | 35 | 50 | 35 | 50 | 35 | 50 | 35 | 50 | 35 | 50 | |
| 安全度SN(%) | 99.30 | 99.00 | 96.56 | 95.12 | 93.23 | 90.47 | 83.91 | 77.83 | 70.34 | 60.50 | |
从表1和表2的分析对比中可见,尽管过去我国大坝的洪水设计标准较现行规定为低、设计洪水成果也可能偏小,但实际的Rp远小于式(2)估算的水文PFN.这说明现有大坝通常都具有一定的抗洪潜力,仅从水文角度考察大坝的安全是不够的.
大坝的安全受诸多不确定性因素的影响,主要可归纳为:水文、水力等随机不确定性和工程、管理等模糊不确定性.只有综合考察这些不确定性因素的作用,才能正确理解大坝的抗洪潜力,定量确定漫坝失事率PFN。
2.1随机不确定性的作用大坝的洪水漫顶风险率是与水库的整个调洪过程联系着的.在整个调洪过程中,存在着许多人们难以预料和控制的随机不确定性因素,如:入库洪水过程Q(t)的水文条件,出库泄洪过程q(h,m)的水力条件、库容和水位关系w(h)的边界条件、起调水位H(t0)的初始条件等的随机性.所有这些导致了不同时刻水库蓄洪量W(t)的随机变化,这一变化又制约着库水位H(t)的随机消长.无疑地,H(t)与大坝的漫顶风险率Pf密切相关。
传统的调洪演算方法不能考察H(t)过程的随机性.所以,设计者不得不采取偏保守的设计,在调洪演算过程和泄洪建筑物设计规模、坝顶高程的决策中,留有一定的安全系数.由此可见,从随机水文、水力设计角度分析,在遭遇超标洪水条件下,大坝仍可具一定的安全度.当然,亦不排除未遇超标洪水时的漫坝风险。
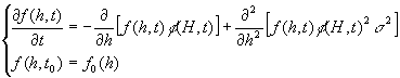
2.2 随机微分方程的建立 对随机变量H(t)的定量分析,是确定Pf的关键。调洪过程随机微分方程的建立,为模拟和分析H(t)的随机变化创造了条件。
[6]根据调洪过程中W(t)具有Wiener过程特性的分析,建立了带有随机作用项、随机系数和随机初始条件的随机微分方程:
,(3)式中,μQ(t)为均值洪水过程线,μq(H,m)为均值泄洪过程线G(H)=dμW(H/dμH,μW(H)为均值水位库容曲线,μH为均值库水位,H0为t0时刻的初始随机库水位.dB(t)/dt为一正态白噪声,该项的增加表示了随机因素的引入.
这一随机输入是在调洪过程中实现的.Q(t),q(H,m)和w(H)等的综合作用,导致了W(t)围绕其均值过程线μW(t)作随机游走,其概率密度服从正态分布.在扣除了W(t)的均值偏移μW(t)后,存在一无偏的Wiener过程B(t),其均
值E[B(t)]=0,方差D[B(t)=σ2t.B(t)的概率密度f(B)为:
(4)式中,σ2为过程的强度,它决定着W(t)的离散程,据多个随机过程联合分布的概念及对B(t)量纲分析的结果,从3个随机过程标准差σQ(t),σq(t)和σW(t)可得:
(5)
取σ2的均值作为式(4)的过程强度。
式(3)可简化为典型的Ito方程形式:
(6)
就考察洪水漫坝风险率而言,人们关注的是这一Ito方程解过程的概率密度,即在不同时刻库水位的随机分布状况.在式(6)的情况下,文献[7]推导了Fokker-Planck方程的简化表达式,以求解库水位过程的概率密度f(h,t):
(7)
式(7)是一确定性的偏微分方程,可采用有限差分的方法求解,以解得调洪过程各个时刻的f(h,t)和相应的μH(t),σH(t).同时,还可求得相应的均值泄量μq(t):
(8)
以随机数学模型考察H(t)的不确定性,能综合多种随机因素在整个过程中的影响,具有较高的可信程度。
2.3漫坝失事的随机风险表述 对于大坝的洪水漫顶风险,常可规定明确的极限标志,即
z=H-D≥0, (9)
式中,D为随机的坝顶高程,其不确定性可据工程情况分析而定.
由式(9)确定的Pf为:在一定洪水频率下,H(t)超过D事件发生的机率:
Pf=P[A/T]=Pf[H(t)]≥D=∫z>0f(z)dz, (10)
式中,A为H(t)大于D事件,T为一定频率洪水发生的事件,P[A/T]为条件概率,f(z)为洪水超高z的概率密度函数.只要确定了H和D的概型及相应的统计特征参数,即可确定f(z),进而求得相应的Pf值.

图1Pf,P′f和T的关系
这样,在不同的洪水重现期Ti所给出的洪水过程线Qi(t)条件下,可分别求得不同的Hi(t)和相应的Pfi.由此,可绘得Pf-T关系曲线(见图1).该曲线表明,大坝的随机漫顶风险率Pf是随T而变化的.在T>Tr的超标洪水条件下,Pf不再认定是1,而只是随T的增加,逐渐趋向于1;在T<Tr的条件下,也不再认定绝无漫顶失事可能性,只是随T的减小,渐趋于0;当T=Tr时,Pf并未跃变,而是某一定值.显然,由该曲线确定的大坝随机风险率较传统的水文风险方法更为合理。
3.1模糊不确定性的作用 洪水漫顶失事并没有绝对分明的界限,而具有着从量变到质变的中介过渡过程.这一模糊的过渡过程是与大坝的工程和管理条件紧密相关的,如:坝体的工程情况决定着大坝对洪水超越事件z的承受能力,混凝土坝、下游植被和防渗条件较好的土石坝,都可允许洪水位略超坝顶而不致失事破坏;在大洪水来临时,采取抢险加高坝顶等措施,亦可免除可能发生的失事事故.所以,z与漫坝失事事件A′是相关而不相同的,它可以表示为一个模糊子集A′(z). 显然,A′(z)的模糊性也直接影响着P′f。
经典数学无法研究和处理模糊现象.所以,在大坝安全的分析中,只能忽略模糊不确定性的影响,简单地以精确数学方法处理,即认为z发生时,A一定发生,从而造成Pf结果的片面性和局限性.由此可见,从工程和管理的角度出发,大坝的实际漫顶失事率P′f并不会象理论上估计的那么大.
3.2模糊隶属函数的确定 隶属函数是描述模糊性的关键.为了考察模糊失事率P′f,必须首先分析特征因子z对A′的隶属函数μA′(z).它既要体现工程设计、管理人员的主观意识对A′的判定和信度,又要受客观条件的制约,成为客观性的一种量度.
显然,z越大,A′的可能性就越大,对“洪水超高z大”这一模糊概念,可采用升半正态的模糊分布[8]来描述:
(11)亦可以升半梯形分布粗略给出这一隶属函数
(12)式中,Z为超高临界限值,需依实际工程和管理的情况,经验地确定.坝体允许漫溢条件好的、抗洪抢险条件好的,都可采用较大的Z值.
3.3拓展的漫坝失事模糊风险表述 为了研究和处理漫坝失事过程中的模糊现象,必须将前述Pf定义拓展为:“发生H超过D事件,并在某种程度上造成大坝失事破坏的机率”.即认为,z仅是A′的一个模糊子集A′(z),其模糊集合记为
在“漫坝风险失事率”定义模糊拓展的基础上,根据模糊事件的概率计算方法,对式(10)修正,得到随机模糊风险率P′f:
(14)
若考虑功能函数z=H-D服的正态分布N(μz,σz),选取μA′(z)为常用的升半正态分布,即式(11),则有:
(15)
式(14)和(15)兼顾了漫坝失事的随机性和模糊性,能较为全面、合理反映漫坝失事的实际风险.图1中P′f-T关系曲线表明,考虑了漫坝失事的模糊性,大坝的整个安全度将有所增加.
4 大坝安全分析方法的讨论
在领域,大坝的风险度PFf通常指:在一定的坝高和泄洪建筑物设计规模下,大坝在运行期N年内,发生漫坝失事的机率.前述Pf,P′f仅为一定洪水发生条件下的失事率.
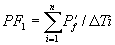
在P′f-T图上,根据计算精度需将T分作若干区间,即可导出大坝一年运行期PF1为:
,i=1,2…n (16)
其中,ΔTi可为非等值,但应满足:
i=1,2…n (17)
这样,在整个N年运行期中PFN则为:
(18)
显然,大坝的风险度PFN取决于N和PF1,而PF1则由P′f-T曲线的位置所决定.该曲线主要由设计控制点Tr和相应的P′f所制约.当然,整条曲线的陡竣程度,即在若干非设计控制点Ti上的P′fi,亦会对PF1产生一定的影响。选择较大的Tr,将有利于降低PF1;同样,在Tr点上P′f的减小,也将有利于降低PF1.在选定Tr的情况下,通过调洪演算所确定的坝高和泄洪建筑物必然要使大坝承受漫顶失事风险.设计的保守程度将导致不同的Pf和P′f,从而使整条P′f-T曲线的位置变化.式(2)仅从水文角度分析,得出的PFf其控制因素仅为Tr和N,显得十分粗略.
在此基础上,即可对具体的大坝进行安全评估和校核.对已建大坝,可根据原设计给出的水文、水力等资料,补充分析随机不确定性.同时,结合大坝建成后的实际,进行模糊不确定性分析.由式(14)、(18)等计算确定PFf.只要对P′f所涉及的随机模糊不确定性参数选择得当,计算并综合统计各具体大坝的PFN,总体上当接近前述实际统计所得的Rp.当某一大坝的PFN较Rp为大,则说明该坝的安全度达不到现有该类坝的一般水准,当采取措施予以改进.对新建大坝,可在现行洪水设计标准的基础上开展工作.即认为,现行标准确定的Tr基本合理.根据工程实际,分析各种随机和模糊不确定性,计算确定PFN,使其满足适当的安全度要求.通过调整P′f,将使各类新建大坝具有较为统一的安全尺度.这样,将使设计和管理中留有的安全富裕有据可依,从而做到安全和的统一.
5 算例和讨论
根据[7]给出的某大坝情况作一算例,以说明本文建议的安全分析方法.

图2μH,μQ、μq和t的关系
该坝为大(Ⅱ)型混凝土坝,按Tr=1000a标准设计.设计洪水过程线绘于图2中,Qmax=12400m
/s.T=20a时,Qmax=6300m
/s;T=2000a时,Qmax=16200m
/s.按放大典型洪水过程线方法,可分别给出其洪水过程线.该坝坝顶高程D=19.5m(以堰顶高程为基准),其泄洪建筑物有:主坝5孔、副坝1孔溢流堰,另设1底孔.起调水位h0=12.5m,当入库流量Q<3000m
/s时,不泄洪,q=0;当3000m
/s<Q<6300m
/s时,q=3000m
/s;当Q>6300m
/s时,洪设施敞泄。
据此调洪规则,采用前述随机调洪演算方法,求得千年一遇洪水条件下的f(h,t)分布绘于图3中.显然,随着过程的进展,不同时刻的库水位不再是定值,而是具有某种分布的随机变量.据f(h,t)分布,可以求出相应的μH(t)和σH(t),以及μq(t).不同σ情况下的μH(t),与传统方法计算结果的比较亦显示在图2中.
图3f(h,t)分布
在这一计算过程中,取δQ(t)=σQ(t)/μQ(t)=0.1,δq=0.01,δW=0.05,以洪峰时刻相应的δ值为计算依据,按式(5)求得B(t)的σ=920000m
s.取初值H0为离散型的分布,即
(19)
同时,还进行了T=20a,2000a等情况下的随机调洪计算.D符合正态分布,μD=19.5m,σD=0.01m.
在前述调洪方案下,当Tr=1000a洪水发生时,洪水漫坝的最大随机风险出现在t=60h时,相应μHmax=18.65m,σHmax=1.18m,由此求得Pfmax=24.21%.此外,还计算求得T=20a,2000a等点的Pfmax(见图1).
考虑该坝能具1m以下的漫坝水头承受能力或抢险加高可能性,即取Z=1m,则以随机模糊风险失事模型,计算得千年一遇洪水时的P′f=14.36%及相应的P′f-T曲线.
按式(16)积分求得PF1=0.00032相应PF35=1.11%、PF50=1.59%。这两数值远小于仅从水文角度考虑的PF1=0.001、PF35=3.44%和PF50=4.88%.在此基础上进行的该坝安全评估表明,考虑随机模糊因素的作用后,该坝的PFN仍偏高,超过了国内现有大中型坝Rp=0.46%和0.66%的水准.
若根据该坝设计洪水过程线的特点,改变调洪方案,将敞泄的控制限值Q降低至5500m
/s,敞泄的时间相应提前到t=27h。这一方案下,μμmax=18.34m,σHmax=0.73m,相应的Pf和P′f大幅度降低,分别为6.83%和2.39%.同时,整条P′f-T曲线的位置降低,积分法求得PF1=0.000069,相应的PF35=0.24%、PF50=0.34%。改变调洪方案后,该坝的安全度将可超过我国现有大中型坝的水准.因此,当预报有较大洪水出现时,该库应提前敞泄,并相应做好抗洪抢险准备,以确保大坝的安全.
6 结 论
洪水漫坝是大坝风险失事的主要原因之一.通过对国内外失事大坝资料的统计分析,评估了现有大坝的总体安全水准.
在阐述大坝系统随机不确定性和模糊不确定性的基础上,建立了漫坝失事的随机模糊风险模型.这一模型能较为合理地描述大坝的能力,定量给出漫坝失事的风险率.这样,就为已建和待建大坝的安全评估和校核创造了条件.
文献
1 张秀玲,文明宣。我国水库失事的统计分析及安全对策探讨.管理集.部水管司,1992.3.
2 National Aemy Press. Safetyof Existing Dams: Evaluation and Inprovement. WashingtonD.C.1983.
3 PowledgeR,SveumDL.OvertoppingEmbankmentDams-AnAlt ernativein Accommodating Rare Floods Proceedings 16th ICOLD, Q63.R35.volⅣ,SanFrancisco,1988.
4 F.DamsThatHaveFailedbyFlooding:AnAnalys isof70Failures,WaterPowerandDamConstruction.1993,(9)、(10).
5 水电部。水电枢纽工程等级划分及设计标准.北京:电力出版社,1990.
6 姜树海,水库调洪演算的随机数学模型.水进展,1993,(4).
7 姜树海,随机微分方程在泄洪风险分析中的应用.学报,1994,(3).
8 贺中雄,模糊数学及其应用.天津:天津科学技术出版社,1985.
Theassessmentandcheckofdamsafetyforfloodprevention
Abstract Top redict nume rically theris kasse ssme nt of the dam failu redue toove rtopping,am athe matic alproce dure isproposed inthis paper.The metho dprovide sanap proach tovis ualize the random and fuzzy phenomena in dam flood prevention system and helps to establish the stochastic risk model for overtopping.
Key words dam safety, overtopping, stochastic differential equation,random and fuzzy risk analyses.