考虑滑移的离心泵叶片S2流面反问题计算方法
摘要:针对离心泵叶轮叶片数较少的特点,将有限叶片数带来的滑移的影响引入S2流面反问题过程之中,提出了用滑移率修正在假定流动轴对称条件下确定的叶片安放角的做法.从而使S2流面反问题计算方法更接近于实际情况.文中给出了计算实例,并与现有的S2流面反问题计算结果进行了对比.
关键词:离心泵 叶轮叶片 滑移 S2流面 反问题计算
S2流面反问题计算,就是根据流动参数确定叶轮叶片几何形状的过程.反问题计算与水泵的设计密切相关.目前已有的S2流面反问题计算方法,一般是建立在叶片无穷多,即流动轴对称前提条件下的.这种假定对一般的叶轮机械(如透平式压缩机,混流式水轮机等)来讲是可以接受的,但对离心泵而言,由于叶片数一般只有3至6片,这样,轴对称假定与叶轮内部的实际流动状况有较大差异,造成目前已有的S2流面反问题计算方法在离心泵上的应用效果不理想,以至于离心泵叶轮的水力设计方法还是主要采用以经验系数为主的一元设计理论.这样,很难从根本上解决水泵设计中存在的本质问题.因此,对S2流面反问题计算方法进行研究,就显得尤为重要.
为此,本文在已有研究结果的基础上,将滑移理论引入到S2流面的反问题计算过程之中,提出了一种具有工程实用价值的S2流面反问题计算方法.
一、S2流面反问题计算基本公式
1.1 基本运动方程 取S2流面上流线的轴面投影为正交曲线坐标的q1轴(见图1),取与q1垂直的方向为q2轴,圆周切线方向为q3轴.同时假定流体为理想液体,在轴对称流动的情况下,可写出沿q/-2方向的运动方程式[1]:
(1)

图1 研究叶轮的准正交曲线坐标
这里,下标i(i=1,2,3)对应q1,q2,q3三个坐标分量,H1为拉梅系数.E1为叶片进口处单位质量液体的能量,E1=p1/ρ+v21/2.K1为进口处速度矩,K1=(vur)1.ω为叶轮旋转角速度.q1,q2是指流面偏导数,就是流场参数沿相对流面S2变化时的偏导数,按复合函数求导法则确定.
考虑下式:
(2)
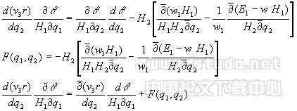
式(1)可写成:并引入F(q1,q2)从而,沿q2方向的运动方程可写成:(以下依次为(3),(4),(5))
(3)(4)(5)
式(5)是求解S2流面反问题的基本公式.
1.2 滑移率的计算公式 在离心泵叶轮内,因叶片数相对较少,因此产生轴向旋涡.轴向旋涡使流线偏离叶片骨线[2],这就是一般中所说的离心泵的滑移.对滑移的研究,目前主要集中在叶轮出口处,即通过滑移系数计算叶轮出口处的绝对速度圆周分量的差值,而对叶片进口处和叶片中部的滑移,研究得不多.为此,笔者在文献[3]中提出了一种确定叶片中部滑移量的方法.在该方法中,首先引入了“滑移率”的概念,以ξ表示,其物理意义为:在叶片表面(骨线)上某一P点处,叶片安放角(βK)p,与液流角(β)p的正切值之差为滑移率(ξ)p,即:
(ξ)p=tg(βK)p-tg(β)p (6)
在进行反问题计算时,由于βK是未知的,因此,不可能通过式(6)来计算(ξ)p,而根据笔者在文献[3]中的推导,有:
(ξ)p=(mp-mⅠ)/(mⅡ-mⅠ)
ξⅡ (7)
式中,mp为轴面流线在叶片P点处的长度值;mⅠ和mⅡ分别为叶片进口处和叶片出口处的轴面流线长度值;ξⅡ为叶片出口处的滑移率.
在叶片S2流面反问题计算过程,可根据泵的扬程H、滑移系数σ,以及其它参数,通过迭代计算得出ξⅡ:
ξⅡ=(vmⅡ)/(uⅡ-(vuⅡ+σuⅡ))-(vmⅡ)/(uⅡ-vuⅡ) (8)
式中,σ为按Weisner方法计算得到的滑移系数,![]()
1.3 叶片型线的计算
根据在水力机械中广泛使用的叶片型线微分方程式,有[3]:
(dθ)/(dm)=-(1)/(rtgβk) (9)
将式(6)代入式(9)中,并根据速度三角形,将tgβ用vm/(ωr-v3)代替,有:
(dθ)/(dm)=(v3r-ωr2)/(vmr2-ξ(v3r)r+ωr
ξ) (10)
考虑到dm=H1dq1,式(5)中的?
θ/H1?q1可近似用式(9)中的dθ/dm来代替,同时注意到在θ=常数的特征线上有dθ=0,这样,式(5)可写为:
(d(v3r))/(dq2)=F(q1,q2)(vmr2)/(v3r-ωr2-ξr) (11)
从而,通过求解式(10)和式(11)便可完成S2流面反问题的计算.
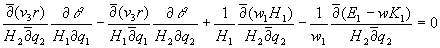
2.1 F(q1,q2)的确定 从式(11)中可以看出,F(q1,q2)与轴面流场有关,主要取决于vur沿q2方向的变化率.在反问题计算时,有两种方法可以用于确定F(q1,q2):一是直接给定F(q1,q2)的分布,二是通过正问题的求解结果计算得出.
在第一种确定F(q1,q2)的方法中,一般是先给定叶片进口边处的FⅠ(q1,q2)和叶片出口处的FⅡ(q1,q2),然后给定分布函数G,从而确定叶片上任一点处的F(q1,q2)[4]:
F(q1,q2)=FⅠ(q1,q2)+[FII(q1,q2)-F1(q1,q2)]G. (12)
由于F(q1,q2)是一个二维函数,所以无论是对函数G,还是对FⅠ(q1,q2)和FⅡ(q1,q2),都是很难给定的,因此,这种方法较少使用.
在第二种方法中,一般是先假定(或给定)轴面流场,然后通过下式计算F(q1,q2)[1]:
F(q1,q2)=vm(
α)/(
m)(1)/(cosδ)-(dα)/(dl)(1)/(cosδ)+(sinα)/(r)
+(
lnk)/(
m)sinδ]-(dvm)/(dl)+(1)/(vm)(d(EⅠ-ωKⅠ))/(dl)(dl)/(dq2). (13)
在初次使用式(13)计算F(q1,q2)时,由于叶片尚未确定,因此排挤系数k是未知的,可暂时取为1,这样,
lnk/
m=0,式(13)可以得到一定的简化.
2.2 基本方程的数值求解
令:A=(v3r-ωr2)/(vmr2-ξ(v3r)r+ωr
ξ)
B=F(q1,q2)(vmr2)/(v3r-ωr2)-ξr (14)
这样,用来决定待求函数v3r与θ沿特征线的导数的微分方程(10)和(11),可由下列有限差分方程求其近似解:
((v3r)i,j+1-(v3r)i,j)/((q2)j+1-(q2)j)=(1)/(2)(Bi,j+Bi,j+1) (15)
(θi+1,j-θi,j)/(mi+1,j-mi,j)=(1)/(2)(Ai,j+Ai+1,j) (16)
为了求解式(15)与(16),需给定v3r沿后盖板(或前盖板)的分布情况,这样等于是沿q2=常数的特征线是已知的.同时,由于叶片进口边一般是在同一轴面上,因此,叶片进口边可作为θ=常数(即θ=0)的一条特征线.从而可首先确定沿i=1(进口边)的特征线上的θ1,j与(v3r)1,j.通过式(16),确定沿j=1(后盖板)特征线
上的θi,1与(v3r)i,1.然后,以逐次逼近法可确定θi+1,j与(v3r)i,j+1.当v3r达到水泵的基本方程式所要求的叶轮出口环量时,计算结束.
2.3 S2流面反问题计算的基本步骤 第一,根据水泵的流量Q、扬程H、转速n等设计参数,按优化设计理论[5]确定叶轮轴面图的主要尺寸,并同时按一元设计理论[2]初定叶片形状.第二,找出5~7条流线与11~15条准正交线.首次确定流线时,可按流速沿过水断面均匀分布的一元理论来确定.此时,各流线间的环形过流面积相等.确定准正交线时,为计算方便,可按抛物线方程给出.叶片进出口边应是两条准正交线,其数学描述函数可用样条拟合.第三,根据Katsanis的流线曲率法[6]计算轴面流场,并根据式(13)计算F(q1,q2),根据式(7)和(8),计算ξp.第四,根据水泵的基本方程式H/ηh=ω/g所要求的速度矩值,确定叶轮出口处的v3r,据此给定v3r沿后盖板流线的分布.第五,根据式(15)和(16),确定θ=f(m)曲线,得到所有轴面截线.第六,根据前后两次计算得到的轴面截线的位置之差是否小于给定值,决定是结束计算还是转回到第二步重新进行计算.
三、应用实例
根据本文中提出的方法,对流量Q=40m
/h、扬程H=8.5m、转速n=2900r/min、比转数ns=224.2的离心泵叶轮进行了计算,图2示出了计算结果.为便于对比,图中还以虚线示出了在不考虑滑移的情况下按[1]计算得到的结果.从对比中可以看出,按本文计算得到的叶片,其包角略小于不考虑滑移的情况,这与目前的水泵设计的实际情况是比较接近的.
图2 离心泵叶片的S2流面反问题计算结果
(图中实线对应本文计算结果,虚线对应不考虑滑移的计算结果)
四、结束语
本文在考虑有限叶片数影响的情况下,将滑移理论引入到S2流面反问题计算的数值过程之中,建立了一种可用于设计离心泵叶片的新方法,该方法具有如下特点:
1.由于考虑了离心泵叶片数比较少的实际情况,因此理论上相对严密一些.
2.扩展了传统的基于叶片无穷多的轴对称假定的S2流面反问题计算方法,使其具有了较强的实际应用价值.
3.与已有的轴面流动有势的二元设计方法相比,由此生成的叶型,其轴面截线不一定必须是等速度矩线,出口边也不一定非要在一个轴面上.从绘型效果看,叶片型线比较合理.
文献
1 林汝长. 水力机械流动理论.北京:机械出版社,1995.
2 关醒凡.泵的理论与设计.北京:机械工业出版社,1987.
3 Wang Fujun,Liu Huiai. A Simplified 3D Engineering Design Method of Centrifugal Pumps,HYDROTURBO′89 on hydrodynamic machines in power engineering. Czechoslovakia,1989.
4 常近时. 叶片式水力机械水动力学计算基础.北京:电力出版社,1989.
5 刘会海,王福军. 低比转速离心泵的病态优化计算方法.农业机械学报,1987,18(4).
6 Katsanis T. Use of Arbitrary Qusi-Orthogonais for Calculating Flow Distribution in the Meridional of a Turbomachine. NACA TND2546 1964.
A method for inverse calculation of the blade S2 stream
surfacein centrifugal pump and its application
Abstract A new method for inverse calculation of the blade S2 stream surface in centrifugal pump is established with the flow slip has been considered.The meridian flow is considered as a vortex flow and a slip rate correction is recommended to consider the effect of slip caused by finite amount of blade.An example is given for demonstration.
Key words centrifugal pump, blade of impeller, slip,S2 stream surface, inverse calculation.