流速梯度对悬浮颗粒脉动强度的影响
摘要:从简化的颗粒运动方程出发, 分析了在剪切流场中颗粒脉动强度和流体脉动强度之间的关系。结果表明, 由于纵向时均流速的垂线分布梯度的作用, 颗粒在两个方向上的脉动强度均可能超过相应的流体脉动强度。
关键词:流速梯度 Stokes数 脉动强度
1 引言
对于细小悬浮颗粒在恒定、均匀、各向同性紊动流场中的运动, 理论分析和试验量测都表明: 颗粒的脉动强度总是小于相应流体的脉动强度,而且随颗粒Stokes数(Stokes数定义为α=ωe/β,ωe和β分别是紊动场含能漩涡的特征频率和颗粒的反应频率)的增大,颗粒脉动强度将减小;当α足够大时, 颗粒的脉动强度将趋于零[1,2]。
随着LDV(Laser Doppler Velocimetry)和PIV(Particle Image Velocimetry)技术的与应用, 对颗粒在剪切流场中的运动有了较多的实测成果,不少中发现了颗粒的脉动强度大于相应流体的脉动强度的现象[3~6]。Lijegren 通过理论分析表明, 纵向时均流速的垂线分布梯度的存在,使得颗粒纵向脉动强度有可能超过流体脉动强度,而颗粒垂向脉动强度则不受流速梯度的影响[7]。
本文在Lijegren工作的基础上,考虑了流速梯度引起的Saffman力的影响, 进一步分析了颗粒脉动强度和流体脉动强度之间的关系。结果表明, 由于纵向时均流速垂向分布梯度的作用, 颗粒在两个方向上的脉动强度均可能超过相应的流体脉动强度。
2 颗粒运动方程
考虑圆球状单颗粒在二维恒定均匀剪切流场中的运动。当粒径较小时,阻力可用Stokes公式表示。 只考虑颗粒所受的Stokes阻力和垂向的Saffman力[8], 忽略其它力的作用,则颗粒的运动方程可表示为
(π/6)D3ρp[(dUp)/(dt)]=3πμD(Uf-Up) | (1) |
(π/6)D3ρp[(dUp)/(dt)]=3πμD(Vf-Vp)+δ′(Uf-Up) | (2) |
式中 D表示颗粒直径,下标f,p分别代表流体和颗粒,U, V分别表示纵向和垂向流速,μ为流体动力粘性系数。
, 其中G为纵向时均流
的垂线分布梯度:G=d
/dy. 为简化分析, 这里取G为常数.
将式(1)、(2)整理得
(dUp/dt)+βUp=βUf | (3) |
(dUp/dt)+βUp=βUf +δ(Uf-Up) | (4) |
其中β=18μ/(D2ρp),δ=6δ′/(πρpD3)。
按照Lijegren[7]的方法对式(3)作进一步分析。引入
ΔU=Up- | (5) |
其中Uf=
+uf,uf为脉动速度。由式(5)可得
| (6) |
沿颗粒的运动轨迹观察, 有
| (7) |
把式(5)、(6)、(7)代入式(3)得
(dΔU)/(dt)]+βΔU=-GVp+βuf | (8) |
不考虑体积力, 对细小颗粒有
=0。对式(8)取平均可得
| (9) |
式(9)为简单的一阶线性微分方程,其渐近平稳解
=0, 即在摆脱初始条件的影响后,有
p=f。结合式(5)可知ΔU=up, 同时在二维恒定均匀流中有
=0, 则式(8)、(4)可分别写为
[(dup)/(dt)]+βup=-Gvp+βuf | (10) |
[(dup)/(dt)]+βup=βvf+δ(uf-up) | (11) |
式(10)、(11)即为用脉动流速表示的简化的颗粒运动方程。
3 颗粒脉动强度分析
对普通函数f(t), 只有当
收敛时,其Fourier积分才存在。而对随机函数而言, 任一个平稳的随机过程, 虽则当t为无穷大时并不趋于零, 但其具有明确物理意义的Fourier变换仍然是存在的[9]。定义
,对式(10)、(11)进行Fourier变换
| (12) |
| (13) |
整理可得
| (14) |
用
(ω)和
(ω)来表示
(ω)和
(ω),则由式(14)、(15)可得
| (14) |
| (15) |
记能谱密度:S(ω)=|F(ω)|2 , 则由式(16)、(17)分别可得
| (18) |
| (19) |
其中
| (20) |
| (21) |
| (22) |
| (23) |
| (24) |
| (25) |
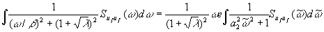
对能谱密度进行积分,可得脉动速度的均方值。从式(18)~(25)可得
| (26) |
| (27) |
其中
| (28) |
| (29) |
| (30) |
| (31) |
| (32) |
| (33) |
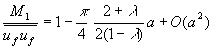
颗粒的纵向脉动强度由3项组成:M1项是颗粒脉动对流体脉动的响应, M2和M3两项则是由于流速梯度引起的附加项, 而且流速梯度越大, 二者的作用越明显。易知 M2>0。在剪切流场中,
的符号和流速梯度G的符号相反, 由此从式(22)、(30)知, M3的符号和(β2-δG)的符号相同, 当(β2-δG)>0时, M3>0。
颗粒垂向的脉动强度也由3项组成:N1项是颗粒脉动对流体脉动的响应, N2和N3是流速梯度引起的附加项, 而且流速梯度越大, 二者的作用越明显。易知N2>0, N3<0。
下面定量考察流速梯度G的影响。记α=ωe/β,λ=δG/B2(λ>0), 则有
(β2-ω2-δG) 2+4β2ω2=[ω2+(1+ | (34) |
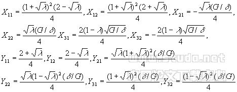
则Xi, Yi(i=1,2,3)分别可以写为
| (35) |
| (36) |
其中
|
记
/ωe, 则ω/β=α
, 从而有
| (37) |
| (38) |
其中:α1=α/(1+
),α2=α/(1-
),λ≠1。下面的分析只考虑α2>0, 对于α2<0的情况, 可得到相同的结论。
进一步的分析依赖于对能谱密度具体形式的认识。Lijegren[7]在其分析中采用如下能谱密度形式
| (39) |
u′为流体的特征脉动速度, 在各向同性流场中, 有u′2=
=
,ψ为Lagrangian长度积分比尺, 对于Xii, 有
| (40) |
ωd为截止频率, C0为常数:C0=ωeψ/u′=3π/[2(2-ωe/ωd)]
本文采用同样的能谱密度形式。记
| (41) |
把式(39)、(40)代入式(41), 在α1很小而α1ωd/ωe很大时,可得f(α1)的近似值
| (42) |
同理在α2很小而α2ωd/ωe很大时, 可得f(α2)的近似值为
| (43) |
由以上的分析可得
| (44) |
同理可得
| (45) |
| (46) |
由此可得
| (47) |
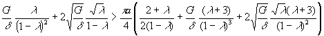
从式(47)可知, 当下式成立时
| (48) |
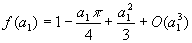
颗粒的纵向脉动强度将大于相应的流体的脉动强度。同时也可以看到,在不存在流速梯度时(G=0,λ=0)有:
/
=1-π/4α+O(α2),即颗粒的脉动强度将小于流体的脉动强度。可见流速梯度对颗粒的纵向脉动强度有着直接而重要的影响。
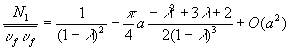
对于颗粒的垂向脉动强度, 按同样的分析方法,可得
| (49) |
| (50) |
| (51) |
从而有
| (52) |
在λ<1时,有1/(1-λ)2>1,所以在α较小时,总有可能使得(52)式的值大于1,即颗粒的垂向脉动强度大于流体的垂向脉动强度。由上式也可知,在不存在流速梯度时(δ=0,λ=0)有:
/
=1-π/4α+O(α2),即颗粒的垂向脉动强度总是小于流体的脉动强度。可见流速梯度对颗粒的垂向脉动强度大小也有着直接而重要的影响。
|
|
图1 颗粒脉动强度和流体脉动强度的关系 |
The relationship between turbulent intensity of two phases |
由以上分析可知,由于流速梯度的作用,颗粒脉动强度有可能超过流体的脉动强度, 下面给出一个具体的算例。假定流场中含能涡旋的特征频率在100HZ以下, 表征紊动涡旋尺度的Komogorov比尺约为0.1mm的量级。对于0.01~0.1mm的细小轻质塑料圆球颗粒(容重为1.056), 取ωe=50HZ, 颗粒的脉动强度和流体脉动强度的关系如图1。
从图1可以看出, 对于极细小的颗粒(D<0.01mm), 无论在何种流场中, 其脉动强度和流体基本相同; 对于粒径和紊动尺度相当的颗粒(D≈0.1mm), 若流速梯度不存在,其脉动强度将小于流体的脉动强度; 而在强剪切流场中, 其脉动强度明显超过流体的脉动强度。
4 结论
从简化的颗粒运动方程出发, 分析了颗粒脉动强度和流体的脉动强度之间的关系。结果表明, 由于纵向时均流速的垂线分布梯度的作用, 颗粒在两个方向上的脉动强度均可能超过相应的流体脉动强度。
在实际水槽流动中,由于流速梯度沿水深存在变化, 而且床壁附近颗粒与边界及颗粒与颗粒之间的碰撞频繁,因此对明槽悬移质的脉动强度还需要进一步的深入研究。本文的分析中引入了一些简化和假定, 得到的结论也只有在粒径较小时才有合理性,不能简单地类推至粒径较大的颗粒。
[1]Pismen, L M. & Nir, A. On the motion of suspended particles in stationary homogeneous turbulence. J. Fluid Mech. ,1978, Vol.84:193-206.
[2]Wells, M.W. The effects of crossing trajectories on the dispersion of particles in turbulent fluid. J. Fluid Mech., 1983, Vol.136: 31-62.
[3]Tsuji, Y. & Morikawa, Y. LDV measurements of an air-solid two-phase flow in a horizontal pipe. J. Fluid Mech., 1982, Vol. 120:385-409.
[4]Steimke, J. L. & Dukler, A. E. Laser Doppler Velocimetry measurements of aerosols in turbulent pipe flow. Int. J. Multiphase Flow, 1983, Vol.9: 751-754.
[5]Rogers, C. B. & Eaton, J.K. Particle transport in a vertical turbulent boundary layer. Int. J. Multiphase Flow, 1990,Vol.16:819-834.
[6]Kaftori, G., Hetsroni, G., & Banerjee, S. Particle behavior in the turbulent boundary layer. II. Velocity and distribution profiles. Phys. Fluids, 1995, Vol.7(5): 1107-1121.
[7]Liljegren, L.M. The effect of a mean flow velocity gradient on the stream-wise velocity variance of particles suspended in a turbulent flow. Int. J. Multiphase Flow, 1993, Vol. 19(3): 471-484.
[8]Saffman, P.G. The lift on a small sphere in a slow shear flow. J. Fluid Mech., 1965, Vol.22:385-400.
[9]王梓坤。概率论基础及其应用。北京:出版社会,1979。









