相变贮能新风机组运行经济分析
摘要:阐述了该机组的结构与特点,提出了一种综合考虑相变材料利用率、空气处理效果满意率和运行费用节省率来确定系统最佳蓄冷量和运行方案的方法;通过分析提出了临界附加初投资的概念,可作为是否应该投资的判据;作为算例,对该机组的经济性及其在北京地区的使用效果作了全年模拟分析。
关键词:相变贮能新风机组 经济分析 临界附加初投资 最佳蓄冷量
Abstract Explains its structure and features, presents a method for determining the optimum thermal storage and operation programmes on a trade-off basis between usage of the phase change material, effects of air handling and the savings in operation costs; Following an economic analyssis, defines a concept of critical additional initial investment as a measure of the units' profitability; And provides and annual simulation of the economics and effects when used in Beijing area.
Keywords:fresh air handling unit with phase change material,economic analysis,critical additional initial investment,optimum thermal storage
1 引言
针对我国长年来电力生产和供应的突出矛盾,国家已制定政策,以经济手段推动电力"削峰填谷"的实现,蓄冷空调是其中一项最主要的技术措施。目前,蓄冰空调技术日趋完善,但由于冰的凝因点低,需要制冷机提供-3~-7℃的温度,这样一般将使制冷机成本增加25%~30%[1]。而利用高温相变材料(融点高于0℃)蓄冷,制冷机提供7℃的的水温即可,可以提高制冷机的效率(COP)。本文介绍的相变贮能新风机组是一种新型高温相变蓄冷空系统。
作为一种贮能型空调设备,其蓄冷量和运行方案的选择很关键。文中提出了一种综合考虑相变材料利用率、空气处理效果满意率和运行费用节省率来确定系统最佳蓄冷量和运行方案的方法,根据逐时的室外气象参数对系统进行了运行经济分析,并提出临界附加初投资的概念,可作为生产厂商的投资判据。
2 系统简介
与常规的新风机组相比,相变贮能新风机组的不同之处是用相变贮能换热器取代了表冷器,如图1所示。它的工作方式与蓄冰空不尽相同,在蓄冰空调中,由制冷机提供冷量蓄冰,冰贮存的冷量先传递给水,再由水传递给空气。而在本系统中,制冷机提供的冷量先传递给水,再由水传递给相变材料,然后用相变材料冷却空气。

图1 相变贮能新风机组系统示意图
可看出,这种机组主要有如下优点:
①常规空调系统中白天制冷机需同时承担新风和房间的负荷,采用本文中的系统后白天制冷机只承担房间负荷(当采用部分蓄冷方式时也要承担部分新风负荷),晚上只承担相变贮能换热器的蓄冷负荷,因此这种系统能有效降低机组的容量,同时能降低电力增容费。
②这种机组在降低制冷机组容量的同时,制冷机白天和晚上都工作,从而使其运行效率得到提高。
③因制冷机组主要利用夜间廉价电运行,故能大幅度降低机组运行费用。
④与蓄冰空调相比,这种同组因利用高温相变材料蓄冷,制冷机提供较高水温(7℃)的冷冻水即可,故可提高制冷机效率,并可降低对制冷机的性能要求。此外,相变贮能新风机组不是在集中冷源处蓄冷而是在空气处理设备处蓄冷,所以可以省去蓄冰空调中需要的蓄冰槽、板式换热器、乙二醇泵及相关管道。并且,在过渡季节,夜间可进一步利用通风对相变材料蓄冷,进一步降低运行能耗。
3 经济性分析
3.1 概述
作为经济性分析,这里暂时只和常规新风机组比较,即求省去表冷器而采用贮能换热器后机组的投资回收年限。因为贮能式换热器作为一种尚待开发的新型设备,它的总成本(见下文初投资部分)尚不容易预测,因此本文提出另外一种经济性分析方法,即出厂n年内回收成本时允许的最大附加初投资,我们定义为临界附加初投资,以作为投资厂商的投资判据。
①初投资
贮能式新风机组的初投资
Mi= Mi0 + Mi1 - Mi2 (1)
其中 Mi0为贮能换热器的总投资;Mi1为占地费及其它费用;Mi2为因削减电力高峰峰期用电量而节省的电力增容费及削减制冷机组容量而节省的制冷机组的成本。
常规新风机组的初投资
Mi0= M0i0 + M0i1 (2)
其中M0i0 为表冷器成本; M0i1 为占地费有其它费用。
②运行费用
贮能式新风机组的运行费用
Mr= Mr0 + Mr1 + Mr2 (3)
其中Mr0为贮能式换热器夜间蓄冷时制冷机的电费(包括部分负荷工况时白天蓄冷负荷不足进制冷机的电费);Mr1为水泵耗能的电费(包括部分负荷工况时白天水泵的运行费用);Mr2为风机耗能的电费。
常规新风机组的运行费用
Mr0= M0r0 + M0r1 + M0r2 (4)
其中M0r0为制冷机的电费。
③总投资
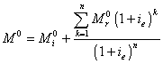
总投资是指机组运行n年,考虑货币时效后运行费用和初投资的总和。该值可用现值表示,也可用终值表示。本文用现值表示,则
贮能式新风机组的总投资
(5)
常规新风机组的总投资
(6)
其中
,为有效年利率;i1为年利率;i2为电价上涨率。
④目标函数
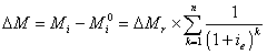
若计划在n年内回收附加成本,则n年后,M=M0。
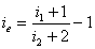
令ΔMi = Mi - M0i ,ΔMr = M0r - Mr ,则
(7)
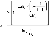
相应n年回收期的临界附加初投资应为
(8)
这里ΔM表示n年回收期内允许临界附加初投资,即采用相变贮能新风机组后在n年内回收成本,所允许附加设备比节省的电力增容费、制冷机组成本和表冷器成本之和多出的费用,从运行费用角度看,即n年内能节约的运行费用的现值。
⑤模型简化
为简化分析,作如下假设:
·忽略电价年上涨率,则ie=i1
取年利率i1=5%,则ie=0.05
·运行费用中,忽略本系统风机、水泵与常规新风机组中风机、水泵的耗能比较,即认为
(Mr1+ Mr2)- (M0r1+ M0r2)= 0
则 ΔM r = M0r0 - M r0
经上述简化,式(8)则为
(9)
3.2 运行费用分析
一天气新风负荷(本文的新风负荷概念与传统概念不尽相同)可表示为
(10)
式中q为新风负荷,kJ;G为风量,m3/s;ρ为空气密度,kg/ m3;h为比焓kJ/kg。下标d表示一天内,in表示进风,out表示排风,h,a,l分别表示电价的高峰期,平峰期和低谷期。
本文取q1=0即qd= qd + qa ,即不考虑机组在夜间电价低谷期对新风处理的情况。
当Q>qd时,q ex= Q - q d,q ex , h= Q - q h ,q sh , h= 0,q sh , a= 0;
当Q>qh且Q < q d时,q ex= 0,q ex , h= Q - q h> ,q sh , h= 0,q sh , a= q d - Q;
当Qh,qex= 0,q ex , h= 0 ,q sh , h= q h - Q,q sh , a= q a ;
贮能机组运行费用:
M r =[(Q -q ex)·P1 + q sh , h·P h + q sh , a·P a ]/(3600·COP) (11)
常规机组运行费用:
M0r =(qh·P h + q a·P a)/(3600·COP) (12)
第j天节省的运行费用:yj= M0r - M r
一年中,节省的总运行费用为![]()
以上各式中,Q为蓄冷量,kJ;P为电价,元/(kW·h);COP为制冷系数;y为每天节省的运行费用,元,下标ex表示过量,sh表示不足。
4 最佳蓄冷量与运行方案的选择
相变贮能新风机组在夜间电价低谷期蓄冷,白天对新风放冷,以降低机组的运行费用。对相变蓄冷新风机组进行经济分析,需要考虑机组每天的蓄冷量和运行方案,而它们之间是相互联系、相互影响的,需综合考虑。
4.1 运行方案的选择
运行方案是否合理,是影响贮能新风机组性和运行效果的重要因素。贮能空调系统的运行一般分两种:全负荷贮能和部分负荷贮能。全负荷贮能方式虽然运行费用低,但设备投资高,并且贮能装置占地面积大;部分负荷贮能方式全天所需冷量部分由制冷面提供,所需制冷机容量和贮能系统的容量均较小,但节省的运行费用相对全负荷方式要少。
根据图2电价情况,本文采用下述运行方案:①保证被处理空气的出口温度为24℃;②对全负荷贮能方式,夜间蓄冷是为了满足全天的新风负荷;对部分负荷贮能方式,夜间蓄冷则主要是为了满足电价高峰期的新风负荷,如果对选择的日蓄冷量,在电价高峰期有冷量过量时,认为过量部分可以转移到电价平峰期,在高峰期和平峰期冷量不足时,由制冷机提供不足的冷量。为实现这样的运行方案,需要对相变贮能换热器进行结构优化设计并采用合理的运行控制手段。

图2 北京地区电价结构
4.2蓄冷量的选择
选择最佳蓄冷量本质是使蓄冷量与新负荷相匹配,并力求保证空气处理效果和系统的经济性。新风机组需要的蓄冷量与运行方案和室外气象参数有关。一天中,机组运行时间越长,室外新风温度越高,新风量越大,需要的蓄冷量越大。因为一年中机组运行期间,室外空气温度变化幅度较大,则在一定的运行方案下,每天的新风负荷不同,并且一年中日新风负荷的最大值和最小值相关很大,这给蓄冷量的确定带来了很大困难。蓄冷量选择得小,所需的贮能设备容量和设备投资小,相变材料利用率高,并且因为夜间贮存的能量大部分可补充在电价高峰期,相应的性能价格比较高,但是,因为夜间贮能量小,白天仍有相对较多的冷量需要制冷机提供,运行费用相对较高;蓄冷量选择得大,所需贮能设备容量和设备投资大,并且因为夜间贮存的能量很可能补充在电价高峰期后仍有剩余,要转移到电价平峰期,甚至会使一部分蓄冷量用不上,所以相应的性能价格比和相变材料的利用率较低,但是,因为夜间贮能量大,白天需要制冷机提供的能量少,运行费用相对较低。
为了清楚表达蓄冷量和运行方案与系统性能和经济性的关系,本文提出了以下几个概念:
相变材料利用率
(13)
空气处理效果的满意率
(14)
运行费用节省率
(15)
其中全负荷蓄冷时q sh = q sh , h + q sh , a , ,q = q d;部分负荷蓄冷时q sh = q sh , h,q = q h
这里z1是白天利用的蓄冷量占全部夜间蓄冷量的比值;z2是指白天利用的蓄冷量与当天新风负荷(全负荷方式下为白天高峰期和平峰期总新风负荷,部分负荷方式下为白天高峰期的负荷)的比率,它还间接表明了白天仍需制冷机提供的冷量;z是所节省的运行费用占常规机组运行费用的比例,它表明了贮能机组运行费用的节省情况。本来在部分负荷蓄冷时,应有q ex = q ex , h,但实际应用时难免会有一部分过量蓄冷量转移到平峰期,所以这里仍取q ex。
可以看出z1,z2和z是相变贮能新风机组经济分析的重要指标。这些指标结合系统节省的运行费用和临界初投资,有助于确定系统的最佳蓄冷量和合理的运行方案。在全负荷蓄冷时,因为白天制冷机不工作,可根据空气处理要求得到z2,求出相应的最佳蓄冷量;在部分负荷蓄冷时,因为白天制冷机仍可提供不足的冷量,故可综合考虑各z指标和节省的运行费用来选择最佳蓄冷量。
5 算例
这里以风量为3000m3/h的新风机组为例,取北京地区的气象数据为室外工况,室外气象参数由[2]得到,按照前文所述的运行方案,研究在不同蓄冷量下机组的临界初投资和指标z1,z2和z。机组运行时间为5月15日~9月10日。
从图3、图4可以看出:①随蓄冷量增大,每年能节省的运行费用和允许的临界附加初投资逐渐增加,但增加的速率越来截止慢;②蓄冷量从200MJ增加到300MJ时,每年节省的运行费用仅由485元增加到535元。后者是因为蓄冷量较小时,夜间的蓄冷量主要转移到电价高峰期,材料利用率较高,经济性强,但随蓄冷量增大,越来截止多的蓄冷量转移到平峰期,甚至用不上,材料利用率越来越低,经济性减弱。但蓄冷量太小会导致处理空气的效果很差。

图3 不同蓄冷量每年节省的运行费用 图4 不同蓄冷量的临界附加初投资n为回收期
图5~8曲线描述了选择不同蓄冷量时,在全蓄冷方式和部分蓄冷方式下各月份的z指标即z1,z2和z。可以看出,从5月到9月,z1的是"两头小,中间大",而z2和z的规律是"两头大,中间小"(部分负荷方式下,因新风负荷小,z2已达到100%),这是由于此间随室外工况变化,新风负荷从小变大再变小的规律引起的。

图5 蓄冷量为100MJ时的z指标(全负荷) 图6 蓄冷量为300MJ时的z指标(全负荷)

图7 蓄冷量为100MJ时的z指标(部分负荷) 图8 蓄冷量为200MJ时的z指标(部分负荷)
图9、图10描述了在全负荷蓄冷方式和部分负荷蓄冷方式下,蓄冷量与年平均z指标的关系。可以根据用户要求的空气处理不满意率,由图中的z2指标确定最佳蓄冷量。 如果不满意率取4%(即全年运行期有5天的不保证率),则z2=96%。全负荷蓄冷方式下,对应的最佳蓄冷量为250MJ,但此是时的相变材料利用率仅为61%,运行费用节省率为63%,此时每年节省的运行费用为510元;在部分负荷蓄冷方式下,z2=96%对应的最佳蓄冷量为30MJ,此时的相变材料利用率为97%,但可看出此时z的增长幅度较大,所以可以适当增大蓄冷量,将部分蓄冷量转移到平峰期利用,可以看到当蓄冷量为200MJ时,空气处理满意率达到100%,相变材料利用率为71%,运行费用节省率为60%,与全负荷蓄冷方式相比,材料节省了20%,但运行费用节省率基本没有减小,而此时所需的制冷机的容量也比全负荷蓄冷方式减小了,所以从运行费用经济分析角度看,采用部分蓄冷方式经济合理。
图9 不同蓄冷量的年平均z指标(全负荷蓄冷) 图10 不同蓄冷量的年平均z指标(部分负荷蓄冷)
日最佳蓄冷量取200MJ时,由图3曲线可见,年节省运行费用485元;由图4曲线,以回收期年数分别为5a和10a时允许的临界附加初投资分别为2100元和4023元,即采用相变材料新风机组后附加设备的成本可以比节省的电力增容费、制冷机组成本和表冷器成本之和分别多出2100元和4023元,生产厂商可藉此值及有关成本的概算数据判断是否应该投资。
以本文3000m3/h的机组为例,按前文的设计工况,则相变贮能换热器的传热速率约为11kW,取制冷机COP=3,则可削减的制冷机组容量和电力报装容量分别为11 kW和3.7 kW。若以850元/ kW估算制冷机组成本,按北京地区的价格,以5700元/kVA计算电力增容费,而省却的表冷器估算为6000元,本机组比常规空调多用的占地费用设为7500元,则从初投资角度允许相变贮能换热器的成本为28940元,此时的初投资与常规系统相同;若回收期取5a,则从运行费用角度允许的临界附加初投资为2100元,即5a内相变贮能新风机组比常规机组能节约2100元现值;所以从总投资角度允许相变贮能换热器的总成本为31040元。经初步计算,相变贮能换热器的管道和加工费用估算为8500元,需要相变材料约1500kg,可以判断当相变材料价格低于15元/kg时才应该投资生产。
6 结束语
本文介绍了一种综合考虑相变材料利用率、空气处理的满意率和运行费用节省率而确定相变材料贮能式新风机组的最佳期日蓄冷量和运行方案的方法,提出临界附加初投资的概念。以3000 m3/h的新风机组为例,根据逐时的室外气象参数对系统作了运行费用的经济分析而确定了机组的最佳日蓄冷量和运行方案,并计算了回收期为5 a和10 a时所允许的临界附加初投资。该方法有及有关结论为厂家提供了投资判据。
7 文献
1 彦启森,冰蓄冷系统设计,全国蓄冷空调节能技术工程中心,1996。
2 江亿,用于空调负荷计算的随气象模型,制冷学报,1981(3)。
3 张寅平,胡汉平、孔祥冬,等,相变贮能--理论和应用,科技大学出版社,1996。
4 那景成,如何保证空调蓄冰的效果和提高空调蓄冰的效益,1996年暖通空调制冷学术年会集,1996
5 何立群,等,新型全蓄冷空调系统的经济技术初步分析。1996年暖通空调制冷学术年会论文集,1996。
6 黄杏容,技术经济学,北京:中国劳动出版社,1993。











