热经济系数对制冷方式选择的影响
摘要:提出一种对用能系统进行热性决策的热经济系数法,探讨了其对制冷方式选择的影响,并定量分析了酒店总能系统方案较之其他制冷方案的优越性。
关键词:热经济系数 空调制冷方案选择 总能系统
Abstract Proposes the thermal-economic coefficient method for thermal-economic analyses of refrigeration systems. Discusses the effects of the thermal-economic coefficient on refrigeration system selection and presents a quantitative analysis showing advantages of the total energy system in a hotel over other plans based on this method.
Keywords thermal-economic coefficient, scheme selection of air conditioning refrigeration, total energy system
影响制冷方案的因素很多,每种方案都各有其优缺点,从热力角度来讲,所追求的是系统用能的合理性(能级利用系数)及完善性--火用效率,而从经济学的角度则要求系统以最小的投资获取最大的利润。目前对这种系统的评价尚无从热力学和经济学角度给以综合考虑的准确的标准,而空调系统的热经济性将成为对制冷方式进行选择的一项重要指标。本文试图从热经济学的角度出发提出热经济系数这一定量评价指标,并用这一指标对某酒店空调制冷方案进行优化分析,最后提出其总能系统方案,与其它制冷方式进行了比较。
1 热经济系数的导出
对于单元能量转换系统,其热经济分析模型如图1所示,定义热经济系数[1~2]
(1)

图1 能量转换系统热经济分析模型
其中,(1-Δε)是能级利用系数;a是投资效果系数。
能利用系数定义为理想系统入口能级100%(电能)与实际能量转换系统入口与出口输向用户的能级差Δε之差值[3]:
(2)
其中,Ω0是系统入口总能级;ηex是系统火用效率。
投资效果系数[4]a由下式求得:
(3)
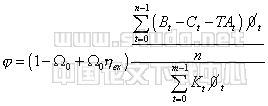
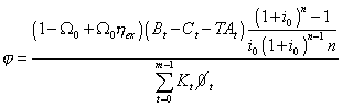
式中,第t年的输出能现金收益
;第t年的供入能成本
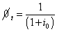
;第t年的现值系数
;TAt是第t年的销售税,元;Kt是第t年的投资额,元;C0j是第j种供入能的单位价格,元/MJ;E0j是第j种供入能的数量,MJ/a;B1j是第j种输出能的单位价格,元/MJ;E1j是第j种输出能的数量,MJ/a;i0是贴现率;n是系统运行时间,a;m是投资的年份数,a;n1是供入能种类数;n2是输出能种类数。对能量的计价有两种方式:热(冷)能价或火用价,目前常采用的还是热(冷)能价。
将式(2),(3)代入(1)得:

假定每年的利润(Bt-Ct-TAt)相等,则上式可写成
(4)
上式即是所推出的热经济系数的最终表达式。当系统采用高品位能源如电能为用户提供低品位能量(如压缩式制冷)时,其热效率和火用效率常常高于采用低品位能源(如废热)为用户提供低品位能量(如太阳能吸收式制冷)的系统,而能级利用系数则能从能级匹配的角度拉开方案之间的档次,以体现采用低品位能源为用户提供低品位能量系统的优越性,从而促进余热利用,节能节火用。
以投资效果系数评价系统的经济效益,可以从时间的价值角度全面分析系统在寿命期内总的设备投资、折旧费、产品成本、利率、税金等动态变化与盈亏。热经济系数综合了上述两方面的优点,便于合理地对制冷等能量转换系统的选择作出决策。
2 热经济系数对制冷方式选择的影响
下面以一个实际工程为例来探讨热经济系数对制冷方式选择的影响。某酒店是一个建筑面积4万多m2的五星级宾馆,夏天总冷负荷3898kW,冬天热负荷3693kW,宾馆自用电1027kW(不包括空调),供应热水量3.5t/h(60℃)。为了应付电力短缺,宾馆备有发电机组。通常在选择空调制冷方式时,一方面力求节能,另一方面要把外界电力短缺对宾馆的影响降到最小。该酒店采用总能系统方案,如图2所示。它采用柴油发电机组发电,所发电能满足全部自用电,柴油机的排气余热和冷却水余热带动废热吸收式制冷机,宾馆所需热水也由柴油机余热提供。为了研究此方案的热经济性,把它同传统的压缩式制冷方案(图3)和吸收式制冷方案(图4)进行了比较。对当前空调用冷水机组的综合分析表明[5-6],在压缩式制冷机中,当单机空调制冷量大于1160kW时,离心式比较经济;在大容量吸收式制冷机中,双效直燃机式COP最高,也最经济。因此在压缩制冷方案中,选择了离心式冷水机,在吸收制冷方案中,选择了直燃型溴化锂冷水机。三种制冷方案的热经济性比较如表1所示。

图2 酒店总能系统

图3 压缩机制冷方案

图4 吸收式制冷方案
表1 不同制冷方案的热系数比较
| 方案1压缩式 | 方案2直燃式 | 方案3总能系统 | |
| 制冷系数 | 4.5 | 1.33 | 离心式4.5 |
| 吸收式0.7 | |||
| 制冷量/kW | 3900 | 4060 | 3895 |
| 电耗/ kW | 867 | 38.5 | 0 |
| 油耗/kg/h | 15 | 326 | 350.7 |
| 系统火用效率/% | 27.7 | 7.69 | 48.37 |
| 对宾馆供电/ kW | 0 | 0 | 1027 |
| 能级利用系数 | 0.2633 | 0.0731 | 0.4721 |
| 主机投资/万元 | 272.8 | 490.2 | 520.1 |
| 电力增容费/万元 | 86.7 | 3.85 | 0 |
| 合计投资/万元 | 359.5 | 494.1 | 520.1 |
| 年运行费用/万元 | 4.95 | 168.18 | 176.75 |
| 年现金收益/万元 | 283.05 | 294.67 | 437.96 |
| 投资效果系数 | 0.3020 | 0.1478 | 0.2899 |
| 热经济系数ф | 0.0795 | 0.0108 | 0.1369 |
注:主要设备价:直燃机,1210元/kW;离心式制冷机,672元/kW;废热吸收式制冷机,2000元/kW,柴油机,254元/kW;发电机,150元/kW。柴油,2000元/t;市电价,0.4/kWh;电力增容费,1000元/kW。年运行时间3600h;负荷率0.7;贴现率0.15;运行时间10a;冷量价0.08元/MJ。
上面各设备及能源的价格仅供参考,在具体应用时,应根据当地当时的实际情况做具体分析。从表1可以看出,方案3的热经济系数是方案2的12.6倍,是方案1的1.7倍,所以酒店总能系统的热经济性最高。直燃机由于投资大,运行费用高,能级利用系数低而热经济性最差。吸收式制冷适宜用在余热制冷或能量综合利用的场合,如果直接消耗高品位的化学能,因为其效率只及离心式的1/4~1/3,而投资较高,所以其热经济系数最低,只有0.0108。压缩式制冷的突出特点是效率高,主机投资少,但它消耗高品位的电能,能级利用系数低,也容易受到电力短缺和环保方面的制约。
酒店总能系统由于实现了能级的合理匹配,低品位的余热都得到了充分利用,因而能量利用率比原柴油机备用电站有大幅提高。柴油机发出的电力不仅满足宾馆全部自用电,而且还可以带动离心式制冷机,负担宾馆相当一部分冷负荷。这种联合运行方式充分发挥了压缩式和吸收式制冷机的各自优势,并且排除了对外界电网的依赖,能确保酒店用能系统的稳定可靠运行。总能系统的热经济性随着电价的上涨将进一步提高。
3 结论
本文从探讨热经济系数对制冷方式选择的影响出发,推导了热经济系数的具体表达式,它综合考虑了系统的热力学指标和经济性指标,分析了系统的动态投入产出特性,是一个定量指标。用它对酒店各种制冷方案所做的选择表明,它能直观地反映出各种方案的热经济性,便于对能量转换系统进行优化和综合。
在目前的能源和设备价格前提下,酒店总能系统同其它制冷方式相比,具有最高的热经济系数,压缩式的次之,直燃式的热经济系数最低。但作为一个工程项目,空调制冷方式的选择还涉及到其它许多问题(如基建条件和负荷变化特点等),所以应针对具体情况做具体分析。
4 参考
1 Gaggioli R A, Wang Ling, Too J R. Second law analysis of a total energy plant. ASME AES, 1986,1(2):149~165.
2 张惟纲,王玲.热电冷系统的热经济决策.第五届全国热力学分析与节能学术会议集.北京:出版社,1991,219~223.
3 杨东华.火用分析与能级分析.北京:科学出版社,1986.
4 傅家骥.技术经济学.北京:清华大学出版社,1986.
5 严德隆,张维君.对当前空调用冷水机组的综合分析.暖通空调,1994,24(2):8~12.
6 杨昌智,刘光大.溴化锂吸收式制冷方案和氟里昂压缩式制冷方案的分析比较.暖通空调,1994,24(5):46~47.











