地铁施工中地下建筑物对地表沉降的控制标准
【摘 要】在地铁工程施工中,为保障施工影响范围内地下建筑物的安全,以及围岩与结构的稳定,针对具体工程提出了一个地表下沉控制基准值,作为施工监测指标。
【关键词】地铁施工;地表沉降;控制标准
在城市市区修建的浅埋地下工程,在设计与施工中需要提出一个控制地表下沉的标准。国内现有的一些城市地铁施工引起的地面沉降允许值往往是由专家们为了控制地下工程开挖对地面环境的不利影响而根据经验规定的,通常都采用30mm的控制标准。
为了使所提出的沉降控制基准值既保证建筑物及地下管线的安全,又使建设成本较为,有必要对控制基准作较深入的分析。
1 地表沉降控制基准
1.1 按地面环境要求分析地表沉降的控制标准
地层沉降对地下建筑物的危害主要表现在地面的不均匀沉降和由此而引发的建筑物倾斜(或局部倾斜)。参照相关规范各种建筑物的允许倾斜(例如砌体承重结构基础之局部倾斜在2‰~3‰以内,多层及高层建筑基础随建筑物高度控制在1.5‰~4‰以内),根据给出的允许倾斜度和实测某种条件下的沉陷宽度,就可以出该种条件下的地表最大下沉允许值。
地下工程在施工时产生沉降,在其影响范围内将对其上面的建筑物产生不良影响。根据以往的经验,地表沉降(横向)可以采用著名的Peck曲线(图1),其公式为[2]:
S(x)=Smaxexp[-x2/(2i2)] (1)
式中S(x)为距离隧道中心轴线为x处地表沉降值,m;i为地表沉降槽宽度,m。

(1)地下建筑物相邻梁柱间距小于或等于沉降槽拐点i时,由地下建筑物底部产生的倾斜值不大于相应建筑物允许倾斜值可知:
ΔS/L≤[f] (2)
式中:L为地下建筑物相邻梁柱间距,m;[f]为地下建筑物的允许倾斜值(参照地面建筑物的允许倾斜值可得);ΔS为差异沉降值。
由沉降槽曲线可知,在拐点i处曲线斜率最大,以此极限条件下的坡度值不大于相应建筑物允许倾斜值作为限制条件。由极限条件,地表最大允许沉降量为:
Smax=(i/0·61)[f] (3)
(2)建筑物相邻柱基间距大于或等于2i时,沉降对地下建筑物的影响除倾斜外还含有承力梁、柱挠曲变形。当沉降过大时,有可能导致地下建筑物梁柱的断裂及部顶底板结构压性裂缝的产生。以地下建筑物结构的允许应变作为计算控制基准的极限条件。对沉降槽上方的地下结构变形梁、板,其允许应变为:
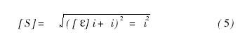
[ε]=[σ]/E (4)
当地下建筑物梁、板走向垂直于隧道纵向时,此时[S]值最小。

式中:[σ]为梁、板的极限抗拉强度;E为材料弹性模量。
1.2 按地面环境要求分析地表下沉控制标准
从保障地层与结构的稳定出发,地表下沉控制标准必然与当地的地质条件、施工规模、埋置深度、结构尺寸和施工方法等有关。
(1)通过拱顶下沉极限推算地表沉降标准。工程实践和理论分析表明,更多情况下控制浅埋地下工程稳定性的主要指标是拱顶下沉值,而不是水平收敛值。在利用算得的拱顶位移值与地表中线位移值换算关系后,即可将拱顶下沉控制标准换算成地表下沉控制标准。
(2)由地层极限应变推算地表沉降标准。[1],地层坍塌破坏极限状态的地表最大沉降量为:
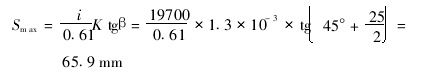
Smax=(i/0·61)γp=(i/0·61)Ktgβ (6)
式中:Smax为地表最大沉降量;i为曲线拐点到中心的距离;γp为围岩的极限剪应变;K为经验系数,在软岩中K=(1.3~1.1)×10-3,β=45°+φ/2;在硬岩中K=1.0×10-3,β=45°+φj/2;β为弱面走向与水平面夹角;φj为弱面内摩擦角。
(3)由上层车站列车安全运营确定的地表沉降标准。《铁路线路维修规则》规定:两股钢轨顶面水平的容许偏差,正线及到发线不得大于4mm,其他站线不得大于5mm。但如果延长不足18m的距离内出现水平差超过4mm的三角坑,将导致一个车轮减载或悬空,如果此时出现较大横向力作用有可能发生脱轨事故[4]。
根据Pcck沉降曲线规律,由轨道前后高低不平顺决定的地表允许沉降为[4]:
[Smax]=2W[δ]/L (7)
式中:[Smax]为地表允许沉降值;[δ]为铁路轨道允许10m弦量测的最大矢度值;L为量测弦长,因延长18m距离内不允许出现水平差超过4mm的三角坑,为保证安全,当[δ]取4mm时,L应取20m;W为地表沉降槽宽度,根据莫尔-库仑理论推导出W与i满足W=5i的关系。
综上所述,地表沉降控制基准值的确定首先应分别计算出建筑物允许沉降值、地层允许沉降值,取其中最小的允许沉降值作为最后的控制基准值。当隧道上方有列车运营时,还要考虑列车运营安全。
广州地铁三号线与地铁一号线在西路站形成立体交叉,三号线的地下三层车站结构为新建车站,一号线地下二层车站为既有车站。新建三号线车站需穿越一号线车站结构,两车站的位置关系如图2所示。

(1) 由隧道断面尺寸,隧道的等效半径计算[2]为R=16.5m;内摩擦角φ(根据Ⅴ级围岩地层参数)取φ=25°;覆土厚度H平均值取15.0m(拱顶至地表距离),则沉降槽宽度系数计算为:

(3)通过拱顶下沉极限计算地表沉降标准。Ⅴ级围岩拱顶极限下沉[1]为65.6mm,而有限元分析[1],拱顶最大沉降和地表最大沉降的比值关系约为1.5,由此可以算出地表沉降基准为:
[S]=65·6/1·5=43·7mm
(4)由地层极限应变推算地表沉降标准。

由式(6)可知:
[Smax]=2W[δ]/L=2×19700×5×4/20000=39·5mm
综上所述,为了满足地下建筑物的安全要求以及地层和结构的稳定要求,隧道施工过程中地下建筑物对地表沉降控制基准确定为43mm;当暗挖隧道上方存在运营列车时,地表沉降控制值确定为39mm。
3 结 论
本文通过综合考虑地铁工程施工中引起地表沉降的多种因素,提出确定地下建筑物对地表沉降控制标准的方法,有利于施工监控。但地下工程施工复杂多变,受地下建筑物与周围地层相互作用的影响,其结构受力十分复杂,具体控制标准值有待进一步研究。
参考
[1]吴波.复杂条件下城市地铁隧道施工地表沉降研究[D].成都:西南大学,2003.
[2]阳军生,刘宝琛.城市隧道施工引起的地表移动及变形[M].北京:铁道出版社,2002.
[3]王梦恕.地下工程浅埋暗挖技术通论[M].合肥:安徽出版社,2004.
[4]王新线.既有铁路站场下暗挖隧道地面沉降标准研究[J].铁道标准设计,2006(4).











