基于纹理特征的图像分类识别

来源:岁月联盟 作者:彭辉 时间:2010-08-30
摘  要  本文着重阐述了图像的纹理特征、灰度共生矩阵及其特点,进行了基于灰度共生矩阵的纹理特征提取实验,并采用最小距离判别函数,对图像的特征值进行分类识别。实验表明,对于具有显著纹理特征的图像,基于纹理特征的图像分类识别具有一定的准确性、可靠性和实用性。     关键词  特征提取;灰度共生矩阵;最小距离判别法  

1  引言

    图像识别是随机的而兴起的一门学科,现已渗透各个领域。如生物学中的色体特性研究;天文学中的望远镜图像分析;医学中的心电图分析、脑电图分析、医学图像分析;军事领域中的航空摄像分析、雷达和声纳信号检测和分类、自动目标识别等等。当前,对图像分类识别的常用方法是先提取图像特征,再进行特征值的归类。图像特征包括几何特征、形状特征、颜色特征、纹理特征等等。本文主要针对图像的纹理特征进行提取、分析,最后实现具有显著纹理特性的图像的分类识别。

2  图像的纹理特征

    纹理是景物的一个重要特征。通常认为纹理是在图像上表现为灰度或颜色分布的某种性,这种规律性在不同类别的纹理中有其不同特点。纹理大致可分为两类:一类是规则纹理,它由明确的纹理基本元素(简称纹理基元)经有规则排列而成,常被称为人工纹理。另一类是准规则纹理,它们的纹理基元没有明确的形状,而是某种灰度或颜色的分布。这种分布在空间位置上的反复出现形成纹理,这样的重复在局部范围内往往难以体察出来,只有从整体上才能显露。这类纹理存在着局部不规则和整体规律性的特点,常被称为纹理。    纹理特征可用来描述对象物表面的粗糙程度和它的方向性,也可用来分析生物材料组织,或者用来进行图像分割。纹理特征提取的方法随纹理类别的不同而不同,一般,规则纹理采用结构分析方法,准规则纹理采用统计分析方法。

3  灰度共生矩阵

    由于纹理是由灰度分布在空间位置上反复出现而形成的,因而在图像空间中相隔某距离的两象素之间会存在一定的灰度关系,即图像中灰度的空间相关特性。灰度共生矩阵就是一种通过研究灰度的空间相关特性来描述纹理的常用方法。

3.1 灰度共生矩阵生成

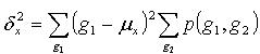
    灰度直方图是对图像上单个象素具有某个灰度进行统计的结果,而灰度共生矩阵是对图像上保持某距离的两象素分别具有某灰度的状况进行统计得到的。    取图像(N×N)中任意一点 (x,y)及偏离它的另一点 (x+a,y+b),设该点对的灰度值为 (g1,g2)。令点(x,y) 在整个画面上移动,则会得到各种 (g1,g2)。值,设灰度值的级数为 ,则(g1,g2)。 的组合共有 k2种。对于整个画面,统计出每一种 (g1,g2)值出现的次数,然后排列成一个方阵,在用(g1,g2) 出现的总次数将它们归一化为出现的概率P(g1,g2) ,这样的方阵称为灰度共生矩阵。距离差分值(a,b) 取不同的数值组合,可以得到不同情况下的联合概率矩阵。(a,b)  取值要根据纹理周期分布的特性来选择,对于较细的纹理,选取(1,0)、(1,1)、(2,0)等小的差分值。    当 a=1,b=0时,像素对是水平的,即0度扫描;当a=1,b=0 时,像素对是垂直的,即90度扫描;当 a=1,b=1时,像素对是右对角线的,即45度扫描;当 a=-1,b=-1时,像素对是左对角线,即135度扫描。    这样,两个象素灰度级同时发生的概率,就将 (x,y)的空间坐标转化为“灰度对” (g1,g2)的描述,形成了灰度共生矩阵。    实验中对灰度共生矩阵进行了如下的归一化:  (1)

3.2 矩阵分析

    1)主对角线元素的作用    灰度共生矩阵中主对角线上的元素是一定位置关系下的两象素同灰度组合出现的次数。由于沿着纹理方向上相近元素的灰度基本相同,垂直纹理方向上相近象素间有较大灰度差的一般规律,因此,这些主对角线元素的大小有助于判别纹理的方向和粗细,对纹理分析起着重要的作用。    2)元素值的离散性    灰度共生矩阵中元素值相对于主对角线的分布可用离散性来表示,它常常反映纹理的粗细程度。离开主对角线远的元素的归一化值高,即元素的离散性大,也就是说,一定位置关系的两象素间灰度差的比例高。若以|△x|=1或0,|△y|=1或0的位置关系为例,离散性大意味着相邻象素间灰度差大的比例高,说明图像上垂直于该方向的纹理较细;相反,则图像上垂直于该方向上的纹理较粗。当非主对角线上的元素的归一化值全为0时,元素值的离散性最小,即图像上垂直于该方向上不可能出现纹理。

4 基于灰度共生矩阵的纹理特征提取

    纹理特征提取是利用图像的灰度共生矩阵,求如下常用的统计特征值:纹理能量:             (2)纹理惯性:      (3)纹理相关性:      (4) 纹理熵:      (5)其中:        ,                          (6)    实验中,为了使得图像分类结果更为精确,建立了四个方向上的灰度共生矩阵,对每个方向上的共生矩阵提取以上Q1-Q4的特征值。因此,每种纹理形成了能反映自身特征的一组包含16个元素的特征向量。

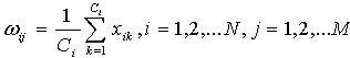
5  基于最小距离的判别函数

    最小距离分类原理是最小距离通过定义待分类点到各类的距离,将其归入距离最小的一类,按照距离的不同定义,可以有很多种具体方式。最简单的最小距离分类器表达为:设数据为M个波段,N个类别分别用标准样本 W1,W2,....,WN表示,根据最小分类原理,待分类点P到一类的距离可定义为:      (7)    设第i类训练样本集合 ,标准样本一般选择为一类训练样本的中心:             (8)分类准则为:               (9)    通过最小距离判别函数,未知类与各已知类别图像的纹理特征向量距离,我们可以找出与未知类图像最相近的已知类别图像。

    本实验在后台数据库ACCESS中存储了大量指纹图片的纹理特征值数据,对被检测指纹图片,先进行去除噪声等预处理,提取其纹理特征参数,采用上述的最小距离判别法,找出库中与其最相似的指纹。程序流程图如图1所示。    下面给出图片库中的部分图像,如图2所示。图1  图像分类识别流程图
             图2  库中已提供的指纹图像图3  待识别的指纹图像表1 待识别图像的纹理特征值
Q1Q2Q3Q4
0.00333640.288780.451123.5295
0.00255750.364810.373063.5957
0.00412690.07770.56933.4685
0.00257920.324130.38283.567
    对图3进行特征提取后的特征向量如表1所示。    计算图3与其他已知图像的距离。    可以看出,计算机正确的识别出了待识别图像与图2中的(1)图很相似,因为它们的距离最小。经过多次测试,对于具有显著纹理特征的图像,基于纹理特征的图像分类识别具有一定的准确性,可靠性和实用性。
图4  未知类图像与各已知类图像之间的距离

[1]  何东建,耿楠,张义宽.数字图像处理[M] .西安:西安科技大学出版社.2003,7:213~218[2]  朱建华,刘政凯,俞能海.一种多光谱遥感图像的自适应最小距离分类方法[J].图像图形学报.2000,5:21~24[3]  张恒博,欧宗瑛.一种基于色彩和灰度直方图的图像检索方法[J].计算机工程.2004,30(10):20~22[4]  安斌,陈书海,陈华,严卫东.纹理特征在多光谱图像分类中的应用[J].激光与红外.2002,32(3):188~190[5]  谢毓湘,吴玲达,栾悉道.基于内容的图像检索技术研究[J].计算机工程与应用.2002,1:35~38[6]  陈绵书,付萍,张春雨.基于最小距离最大原则的模式分类[J].计算机工程.2004,3(9):28~30

图片内容