图象模板匹配技术在探针台系统中的应用
来源:岁月联盟
作者:王建波 胡泓
时间:2010-08-30
摘 要 主要论述了数字图像处理技术在探针台系统中的应用,分析了基于灰度信息的模板匹配算法以及自动对准技术的原理及实现手段,为其它专用设备中自动识别对准的应用提供一些思路与技巧。
关键词 机器视觉;模板匹配;探针台
1 引言 半导体器件与集成电路制造工艺中,从单晶硅棒的制取到最终器件制造的完成需要经过复杂的工序,粗略地划分可分为前道工序和后道工序,而探针台(Prober)正好是前后道工序之间用于半导体器件芯片的电参数特性进行测试的关键设备,它可以将电参数特性不符合要求的芯片用打点器(Inker)做一明显的标记,便于在后道工序中及时将其剔除,这样就有效地提高了半导体器件生产的成品率,大大降低了器件的制造成本。 测试作为集成电路工艺中重要一环,探针台的精度直接影响到整个生产。也由于整个半导体前道工艺的提高,晶圆的集成电路品体的个数、品体图形都更加精密复杂,要求探针台在提高机械精度的同时,探针台的对准精度,对准效率都有更高的要求,这就迫使我们必须掌握自动识别对准是如何实现的这样一个关键技术。探针台的识别对准实现框图如图1所示。

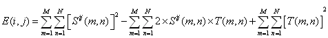
2 模板匹配原理:模板匹配就是拿已知的模板图像,和原图像中同样大小的一块区域去对比。最开始时,模板的左上角点和图像的左上角点是重合的,拿模板和原图像中同样大小的一块区域去对比,然后平移到下一个像素,仍然进行同样的操作,所有的位置都对完后,差别最小的那块就是我们要找的物体。如图2所示,模板T( m*n个像素)叠放在被搜索图S( W*个像素)上平移,模板覆盖被搜索图的那块区域叫子图 。i,j为子图左上角在被搜索图S上的坐标。搜索范围是:一种算法是衡量T和Sij的误差,其公式为:

E(i,j)为最小值处即为匹配目标。展开上式:

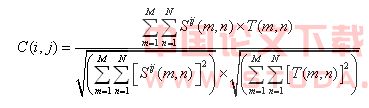
通过比较T和Sij的相似性,完成模板匹配过程。 上式右边第三项表示模板的总能量,是一个常数与 (i,j)无关,第一项是模板覆盖下那块图像子图的能量,它随(i,j) 位置而缓慢改变,第二项是子图像和模板的互相关,随(i,j) 而改变。T和S匹配时这一项的取值最大,因此我们可以用下列相关函数做相似度测度:

或者归一化为:


其中,搜索位置数为匹配过程中要匹配的所有点的个数,相关量为计算每一个搜索参考点是计算模板和搜索子图相似性所需要的计算量。所以提高匹配效率就应该从减少这两个数来进行。下面讨论的抽样点的互相关匹配算法就是减少了相关计算量,而分层匹配的互相关算法则从减少搜索位置数来提高匹配速度。
抽样点的互相关匹配算法
图象模板匹配的关键是对模板和搜索子图进行相似性的检测,这种检测建立在模板和搜索子图灰度信息的基础上,利用的图象灰度信息越多越可以更好地度量两者之间的相似程度。然而应用中利用的图象信息对少与匹配实现的速度有很大的关系,利用的信息越多,需要的计算量就会越大,匹配速度会越低。图象模板匹配的算法研究是在满足一定的匹配精度的情况下,尽量减少计算量。 抽样点匹配的方法是在互相关匹配时计算模板上所有的像素的基础上的改进。图象相关匹配时,从模板和搜索子图中抽取一部分像素来计算匹配值,而不是计算模板和搜索子图上所有的点。这样在不改变匹配时搜索所有可能的匹配点时,减少了每个匹配参考点上的相关计算量。经验表明在背景比较简单,平均灰度变化不大的情况下匹配100个点,一般就可以找到正确的匹配位置。对于一个 的模板来说省掉了 的相关计算量,所以合理的确定有效的匹配点的个数得到的时间效果是很可观的。实验结果表明使用这种抽样点的方法是可以应用的,在保证精度的同时,提高了计算速度。 本文中省略点的方法是通过在图象上等间隔取点来实现的,假设图象的高度和宽度为lHeight和lWidth,取水平方向的间隔IntervalH 和竖直方向的间隔IntervalV分别为lWidth/N和lHeight/M,则在匹配中可以得到 (N+1)*(M+1)个匹配点,这 (N+1)*(M+1)个匹配点可以均匀地分布在图象上。2.2 分层搜索的互相关匹配算法人们在搜索物体的时候,视觉习惯是先确定搜索目标的大概位置,然后再关注要搜索的细节内容,类比这一过程,本节提出基于图象金字塔模型的分层图象匹配方法。 算法的实现过程如下: 首先,将搜索图 S(i,j)和模板T(m,n) 进行相同的分层处理,方法是在图象上等间隔跳跃地取点(采样),在图象的行的方向和列的方向上可以间隔不同。从而得到一个分辨率较低和维数较小的图象。比如对 像素的图进行分层,每个三个像素点取一个点,那么得到新图象为 像素,这样的结果将使搜索位置数大大减少。 其次,先粗后细的匹配过程。在粗匹配中找到具有叫高匹配值的潜在的位置,设定适当的采样间隔,降低图象的维数。应用基本的模板匹配方法找到粗匹配位置,经过粗匹配就是要尽最大可能地剔除非匹配的位置。精匹配是在粗匹配给定的位置的基础上进行精度较高的匹配过程,匹配方法要有较高的精度。逐步恢复原来的分辨率进行精匹配。最后给出匹配的最佳结果。 模板的匹配过程分为粗匹配过程和精匹配过程。两个匹配过程可以采用不同的匹配方法,进行不同的组合。在粗匹配过程中,可以选择运算量小计算速度快的算法。在精匹配过程中,要选用精度较高的算法。2.3 几种互相关算法的实验数据本实验选取一张240×240pixel的灰度图作为搜索的目标图片,在其中选取了从40×40pixel到140×140pixel的图片作为模板,如图3所示。其中表1是利用Evision软件的模板匹配算法进行模板匹配的结果,该软件采用了亚像素插值算法,匹配结果的精度从像素级提高到了亚像素级别。表2是采用抽样点的互相关模板匹配算法,在模板中将抽样点控制在121个点,这些点均匀地分布在模板图象中。从实验的结果可以看出,匹配的精度与Evision软件的匹配结果相同,只是没有进行亚像素插值。匹配的时间随图片的增大而减小,这是由于抽样点的匹配算法忽略了模板大小对相关计算量的影响,只与搜索的位置数有关。随着模板尺寸的增大,搜索位置数减少,从而减少了总计算量。表3是采用分层匹配算法,在粗匹配过程和精匹配过程中都采用了互相关算法。在粗匹配过程当中,将目标图片隔三个像素取一个点,搜索位置数由原来的240×240个点减少到60×60个点。从实验的结果可以看到匹配精度达到了要求。在忽略精匹配的量的情况下,分层匹配算法的计算量是没有加速的 ,(L是间隔点)这样提高了匹配精度,也提高了匹配的速度。


Table1 Test result of algorithm in Evision
| 模板大小 | X 坐标 | Y 坐标 | 匹配系数 | 时间(ms) |
| 40×40 | 128.00 | 128.00 | 0.992881 | 112 |
| 60×60 | 130.05 | 127.01 | 0.996524 | 96 |
| 80×80 | 125.98 | 115.00 | 0.992866 | 87 |
| 100×100 | 130.05 | 128.00 | 0.995177 | 63 |
| 120×120 | 127.06 | 112.00 | 0.996320 | 54 |
| 140×140 | 130.00 | 128.00 | 0.995241 | 36 |
| 表2 抽样点匹配算法的结果Table 2 Test result of sampled points cross correlation matching |
| 模板大小 | X 坐标 | Y 坐标 | 匹配系数 | 时间(ms) |
| 40×40 | 128 | 128 | 0.985424 | 248 |
| 60×60 | 130 | 127 | 0.985748 | 217 |
| 80×80 | 125 | 115 | 0.987845 | 155 |
| 100×100 | 130 | 128 | 0.985748 | 142 |
| 120×120 | 127 | 112 | 0.986320 | 93 |
| 140×140 | 130 | 128 | 0.985241 | 62 |
| 表3 分层搜索匹配算法的结果Table 3 Test result of layer matching |
| 模板大小 | X 坐标 | Y 坐标 | 匹配系数 | 时间(ms) |
| 40×40 | 128 | 128 | 0.992145 | 79 |
| 60×60 | 130 | 127 | 0.985642 | 63 |
| 80×80 | 125 | 115 | 0.965214 | 54 |
| 100×100 | 130 | 128 | 0.985623 | 43 |
| 120×120 | 127 | 112 | 0.984562 | 32 |
| 140×140 | 130 | 128 | 0.985692 | 21 |
3 探针台自动对准的实现
转换成电机的旋转脉冲:

脉冲。上述是利用模板匹配的基本原理,在实际应用中,由于机械的误差的影响,通过电机旋转的角度与计算的结果总是有误差的,为了达到精度要求,笔者采用了多次逼近的方法,其算法流程图如图5所示。其中d的大小是晶片(Die)的尺寸的整数倍
4结束语 自动识别对准技术将会越来越多地应用在电了专用设备中,解决和实现的方法和技术手段也是多种多样的,但是基本原理是相同、相近的,这里通过利用模板匹配技术实现了自动测试过程中晶圆的自动对准为其它涉及自动对准的设备开发提供一些经验和思路。 :1 周刚慧, 施鹏飞,曹长江, 张琛.微型机器人视觉系统的实现.测控技术 2001,20(5):456~458 2 冈萨雷斯.数字图象处理(第二版).阮秋琦,阮宇智等译.出版社,2003