浅谈高等数学对于物流管理人才培养的重要性
来源:岁月联盟
时间:2010-06-28
[关键词] 高等数学物流管理 人才 高校
数学作为一门技术学科,在知识时代,越来越受到各行各业的重视。高等院校数学教学正在向以培养学生的数学素质为宗旨的能力转变。而物流管理是一门新兴学科,它主要包括理论、技术、设备三大方面,涉及管理、市场营销、商务、信息技术等多个学科的内容,因此高等数学教学对于物流管理专门人才的培养具有极其重要意义。
一、问题的提出
进入本世纪以来,尤其是我国加入WTO以后,我国经济快速、健康、稳定的发展给物流业带来了新的发展契机,物流业的蓬勃发展使得物流人才需求急剧升温,当前物流专业人才已被列为我国12类紧缺人才之一。2000年以来,我国高校物流管理专业急剧增加,全国已有75所高校开设了物流管理专业,其中包括一部分高职院校。物流管是在现代技术条件下,现代经济运行理念及世界经济全球化环境下产生的,是一门综合性、系统性较强的学科,是许多观念和方法的系统综合。这些观念原理和方法主要来自市场营销、企业、生产、、采购和运输领域的,特别来自应用数学。这些内容按现代物流管理技术要求有机地组合起来,形成了现代物流管理学体系。因此,在开展物流专业的数学的教学过程中,摆脱高等院校传统的数学教学模式,要渗透数学素质的教育和能力的培养,要培养出社会需要的复合型人才。
二、数学在物流方面的应用
物流专业的数学课程不是单一的为专业课打基础,而是教学中要渗透数学素质的教育和能力的培养,要培养出社会需要的复合型人才,同时要明确对于物流专业学生学习数学的目的,不是为了研究数学,而是为了应用数学,运用各种数学知识和方法解决自己所从事专业中遇到各种实际问题。现代物流的发展需要依靠一项项物流工程建设,依靠各个层次物流系统的运营来实现。物流工程包括物流基础工程、物流设施工程、物流管理工程、物流技术工程和物流运营工程。而物流运营基础工程是由国家建设的,如铁路线路建设工程、物流基地(中心)建设工程、货运站场建设工程、高速公路建设工程、货运枢纽建设工程、港口码头、货运航空港建设工程等,对物流的运营起到平台支持的作用。在现代物流中,物流基础设施平台决定整个物流系统的水平。一个能够有效共用的、高技术水平的、标准化的平台对提升物流运作水平有着极其重大的意义。而数学在研究投资主体在满足工程项目预定目标条件下如何使工程项目的建设成本达到最小,如何投资和管理物流工程项目中,发挥了重要的方法和工具的作用。
“建”即构造,“模”即模型, 建模教学是一种现代教法。所谓数学模型方法, 就是把所考察的实际问题, 化为数学问题, 构造相应的数学模型通过对模型的研究, 使实际问题得以解决的一种数学方法。其中, 建立起合适的数学模型是上述方法最关键的一步。建立数学模型的基本步骤是: 准备、假设、建立(模型)、求解、分析、检验。分析在问题中哪些是变量, 哪些是常量, 哪些量是已知的, 哪些量是未知的、待求的, 然后分析系统内部性质与关系。
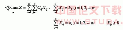
例如:某跨国汽车制造公司在全球有m个生产基地Ai,i=1,2,3…n供应量是ai,i=1,2…m,有n个销地Bj,从Ai到Bj运输单位物资的运价(美元)为Cij,这些数据可归结为产销平衡。若Xij表示从Ai到Bj的运输量,那么在产销平衡条件下要求运费最小的方案有最优解?
分析:我们可以先用数学建立模型,使其复杂的问题转化为数学问题,并用数学运筹学的方法解决实际问题。

以上的案例,通过数学建模及论证,运输问题有最优解,从而解决了物流运输的理论问题。
再例如,在物流工程项目中的财务分析中,数学提供了在单利和复利情况下,本金与利息之和的公式:单利情况时,公式为FV=PV(1+nr):,其中PV为本金(原投资额),r为利率,n为计息周期数,FV为本金与利息之和;复利情况时,公式为:FV=PV(1+nr)n,其中PV为本金(原投资额),r为利率,n为计息周期数,FV为本金与利息之和。例如,在学习导数概念时,除了举出书本上变化率问题中介绍的变速直线运动的速度外,还可介绍一些与专业有关的变化率问题。在物流专业教学中可介绍产品总运输量对时间的导数就是总运输量的变化率,物流总成本对运输量的导数就是运输产品总成本的变化率(边际成本)。在讲授微分方程时,可结合讲解物流运输模型等实例。我们还可以。数学运筹学解决了利用约束条件,求最优解的问题。这些内容要有利于学生主动地进行观察、实验、猜测、验证、推理与交流、实践与应用等活动利用这些学生熟悉的问题进行教学,可提高学生对数学学习的兴趣,激发他们利用所学知识,主动地去探索研究实际问题。
三、结论
总之,高等院校物流管理专业数学能力的培养是高等院校生存的需要,势在必行,合理的定位与体现,以适应高等迅速发展的形势和培养21世纪创新人才的需要。
:
[1]钱颂迪:运筹学[M].北京:清华大学出版社,1990.82~92
[2]黎诣远:数学基础[M].北京:高教出版社, 1998,7
[3]王之泰:物流管理.工人出版社,2002
[4]宋 华 胡左浩:现代物流与供应链管理[M].北京:经济管理出版社,2002.50~56
下一篇:员工背景调查现状及其提升途径初探











