双轴受压应力作用下碾压混凝土特性的试验研究
摘要:本文对双轴受压应力作用下的碾压混凝土进行了试验研究,研究了碾压混凝土的双轴受压强度、变形及破坏准则,给出了Drucker prager准则中a和k值,并与普通混凝土进行了比较,得出了几点有意义的结论。
关键词:碾压混凝土 双轴受压 破坏准则
高碾压混凝土坝应力状态很复杂[1],坝体混凝土绝大部分是处于三向及双向受压应力状态下,国内外多轴应力作用下普通混凝土强度研究已表明[2],普通混凝土双轴受压应力下的强度是单轴受压混凝土强度的1.25~1.60倍,三轴受压强度是单轴受压强度的3~4倍以上。因此,人们已认识到以单轴强度为依据的设计是不合理的。本文在对碾压混凝土进行双轴受压试验基础上,探讨复杂应力作用下碾压混凝土的强度、变形和破坏准则。
1 试验设计
1.1 试件尺寸及材料配比 为了便于同普通混凝土单轴和双轴强度比较,试件采用边长为150mm的立方体,是普通混凝土试验的标准试件。胶凝材料采用425#普通硅酸盐水泥与荆门热电厂的粉煤灰,骨料采用河砂与卵石,减水剂采用木质磺酸钙。为便于比较,试验中选用两种配比的试件,具体混凝土配合比见表1.每种配比各制作了25个试件,3个用以测定28d龄期的抗压强度,3个用以测定试验龄期的抗压强度。双轴受压试验(包括单轴受压试验)的两向应力比σ2/σ1有0(单轴受压)、0.25、0.50、0.75和1.00共5种。每种应力比下的强度和应变测值均取3~4个试件的平均测值。
表1 碾压混凝土配合比(单位:kg)
类别 | 水胶比 | 水泥 | 粉煤灰 | 外加剂 | 水 | 河砂 | 卵石 |
A | 0.70 | 5.54 | 11.85 | 0.031 | 12.11 | 76.85 | 150.26 |
B | 0.80 | 6.56 | 8.60 | 0.031 | 12.11 | 77.96 | 153.19 |
1.2 试件加载方法与测试方法 试件各龄期的立方体抗压强度测定在原葛洲坝水电工程学院建材实验室的万能试验机上按标准试验方法进行。试件的双轴受压试验(包括单轴受压试验)在中南水电勘测设计研究院宜昌分院实验室的双轴压力试验机上进行。该双轴压力机主要由刚度很大的平面钢质矩形框架与两个带油压表的30t油压千斤顶组成。试验时,试件置于钢框的一个下角的内测,如图1所示。试件与加压板之间垫有一块150mm×145mm×10mm的钢垫板。试件的每个受压面上都垫有两层塑料布,其间涂有油脂以消除加压面摩擦。两个千斤顶分别在水平方向与竖向对试件加压,由各自的压力表控制各自的压力值。 |
|
每个千斤顶活塞顶部加压板上对称地装有两个位移传感器,以测定试件变形。荷载大约分10级,每级都记录荷载与变形值。对于单向压力试验,只用竖置千斤顶加载;对于双向受压试验,两个方向的千斤顶同时按预先确定的两轴应力比分级加载,直至试件破坏为止。
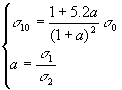
2 试验结果 2.1 碾压混凝土的双轴受压强度 将5种应力比的试验结果绘于图2.以σ1表示碾压混凝土双轴受压应力中的第一主应力,以σ2表示碾压混凝土双轴受压应力中的第二主应力,图中σ0为碾压混凝土的单轴抗压强度。由图2可以看出,当σ2/σ1=0(单轴)时,σ1/σ0=1,此时为单轴抗压强度;当σ2/σ1=0.25时,σ1/σ0=1.3,这说明双轴受压强度是单轴受压强度的1.3倍;当σ2/σ1=0.5时,σ1/σ0=1.5;当σ2/σ1=0.75时,σ1/σ0=1.6,此时的双轴受压强度为单轴受压强度的1.6倍。因此,双轴受压下碾压混凝土强度普遍高于单轴受压时的碾压混凝土强度,即双轴受压强度一般是单轴受压强度的1.2~1.5倍,当σ2/σ1=0.75时,双轴受压强度达到最大,达1.6倍单轴抗压强度。 |
|
为便于分析说明,将图2破坏点趋势进行分析,通过曲线回归分析后,可用如下公式进行描述:
| (1) |
式中:α为双轴受压碾压混凝土应力比;σ0为碾压混凝土单轴受压强度;σ10为双轴受压碾压混凝土的强度。 当已知处于双轴受压碾压混凝土的受力比α(=σ2/σ1)时,就可将此α值代入式(1)中求出双轴受压碾压混凝土的强度。按此式精度在5%以内。 2.2 碾压混凝土的双轴受压变形 根据应变测量结果,以ε1表示双轴受压时σ1方向的压应变,ε2表示双轴受压时σ2方向的压应变,ε0表示单轴受压时的压应变。 |
|
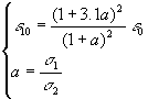
以ε1/ε0为横坐标,ε2/ε0为纵坐标,将双轴受压碾压混凝土的变形绘于图3中。从图3可以看出,双轴受压时碾压混凝土的极限应变值大大高于单轴受压时的极限应变值,并随着应力比α的增大而增大。当α=0.25时,ε1/ε0=2.5,即双轴受压变形是单轴受压变形的2.5倍;当应力比α增大时,双轴受压变形增加更大。当应力比达到1时,双轴受压变形增加达到最大,此时为3.5~4倍的单轴受压变形。因此,碾压混凝土的双轴受压变形是单轴受压的2~4倍。并且,双轴受压时,极限变形量提高幅度比强度的提高要大得多,表现出较多的延性,即塑性变形特征。
根据图3中的试验点,通过曲线回归分析,碾压混凝土的双轴受压变形可由下式计算。
| (2) |
式中:ε10为双轴受压极限变形;ε0为单轴受压极限变形。当已知处于双轴受压碾压混凝土的应力比α=σ2/σ1时,就可计算出碾压混凝土的极限应变值。按此式计算精度在8%以内。
2.3 碾压混凝土的破坏型式 碾压混凝土双轴受压α=0.50时,σ1方向的应力与应变变化如图4所示。图中σ1为第一主应力方向应力,σ10为第一主应力方向的强度,ε1为第一主应力方向的应变(主应变),ε10为第一主应力方向的极限应变值。
分析图4可以看出,当碾压混凝土双轴受压应力较低时,试件主要产生弹性变形,应力应变基本成直线关系,此时荷载约占破坏荷载的30%左右。随着压应力的增大,应力应变曲线向应变轴弯曲,应变增长快于应力增长。同样应力水平下,双轴受压应变是单轴受压的2倍左右。这主要表现为双轴受压试件内部裂缝与塑性变形较大,这一过程直至破坏荷载的80%左右。随着荷载的进一步加大,试件表面出现了裂缝,但并不马上破坏,而是形成许多内部裂缝后,在与高应力方向成某一角处形成的裂缝处发生破坏,这表明了双轴受压应力下碾压混凝土的塑性破坏特性。 3 碾压混凝土的破坏准则 |
|
许多研究者,如Tasuji,Kupfer,Rosenthal,Gluchlick等[3],对混凝土多轴强度研究表明,多轴混凝土的破坏分两种类型,一种是脆性破坏,另一种是塑性破坏。对于单轴受力、双轴压拉、双轴受拉、三轴压压拉等应力状态下的混凝土属于脆性破坏;对于双轴受压及三轴受压等应力状态下的混凝土则属于塑性破坏。本试验中,碾压混凝土双轴受压破坏也证实了这点。对于塑性破坏的混凝土来说,应用较多的是Drucker Prager准则(以下简称D-P准则).D-P准则的表达式为:
| (3) |
式中:I1=σ1+σ2+σ3;J2=1/2[(σ1-σ2)2+(σ2-σ3)2+(σ3-σ1)2];a、k D-P准则参数。
该准则是为了修正Mohr Coulomb屈服准则,由Drucker和Prager提出,其实质是在Misses准则基础上增加了平均应力(静水压力)的影响,这里,众多的研究者认为,平均应力对多轴混凝土的破坏起到重要作用,准则中应考虑,如图5所示。该模型因为导数在破坏面上处处连续,处理比较容易,比较符合混凝土和岩土材料的破坏性质,在混凝土和岩土工程中得到了广泛的采用。
D-P准则中需要确定的参数有两个,即a和k值。为了获得D-P准则中的参数a、k值,根据试验结果,出D-P准则中的I1和 |
0.39I1+=2.1 | (4) |
式中:α=0.39,k=2.1.式(4)则为双轴受压力下碾压混凝土的破坏准则。
|
|
图5 D-P准则的空间描述 | 图6 I1和 |
对于双轴应力场条件下,σ3=0,Drucker Prager破坏曲面在σ3=0的平面(σ1,σ2)上的图形是椭圆形。将(4)式表达的关系曲线在σ1σ2平面上表示(见图7),并与图2的试验点比较,从图7可以看出,在σ1σ2平面内,试验点与D P准则吻合很好。因此,D-P准则较好地反映了双轴应力作用下混凝土的强度。 为了便于分析,我们将几位学者所做的普通混凝土的双轴受压强度试验点也绘于图7中。从图7可以看出,本试验的碾压混凝土双轴受压强度至少不低于其他学者所做的普通混凝土的相应双轴受压强度。 4 结论 |
|
(1)碾压混凝土的双轴受压强度比其单轴受压强度要高,双轴受压强度一般是单轴受压强度的1.2~1.6倍。α=σ2/σ1=1时,提高得最多,达1.6倍。这些规律与普通混凝土的规律基本一致。碾压混凝土的双轴受压强度值不亚于普通混凝土的相应值。
(2)碾压混凝土在双轴受压时的延性,显著高于它在单轴受压时的延性。并且增加的延性比增加的强度大得多。破坏时,双轴压力比越接近1,延性越大,破坏时呈现出较大的塑性。
(3)本文得出的强度公式(1)到变形公式(2),可以在已知两向应力比和单轴强度、变形的条件下,分别求出其极限强度与极限变形,该成果可供碾压混凝土的设计时。
(4)碾压混凝土在双轴受压应力作用下的试验研究表明,低应力下碾压混凝土呈现弹塑性变形特征,高应力下碾压混凝土呈现塑性变形特征,即塑性破坏特征。
(5)碾压混凝土双轴受压时的破坏准则可用D-P准则来描述,给出了D-P准则中a和k值,该值可供碾压混凝土坝的分析计算时参考。
参 考 文 献:
[1] 沈崇刚,等。世界范围内碾压混凝土坝的发展[A]。国际碾压混凝土坝学术讨论会集[C]。北京,1991.
[2] 李建林,等。双轴拉压应力作用下混凝土强度的试验研究[J]。水力发电学报,1989,(2).
[3] 徐积善。强度理论及其应用[M]。北京:电力出版社,1985.








