P—Ⅲ型分布参数估计的模糊加权优化适线法
摘要:从充分利用样本信息,增强参数估计方法的稳健性和平差能力等方面考虑,首次提出了P—Ⅲ型分布参数估计的模糊加权优化适线法,通过假想水文样本和实测水文资料检验,结果表明模糊加权平方和最小二乘法的结果稳定,完全能达到容许误差标准.
关键词:参数估计 适线法 模糊加权优化 相对隶属度
1 问题的提出
P—Ⅲ型分布做为我国水文分析计算中规定的线型,长期以来得到广泛应用,我国水文工作者对其参数估计问题作了大量研究工作,先后提出了适线法、权函数法、数值积分权函数法、Monte—Carlo法、概率权重矩法、下限法、动点动线适线法、密度函数法等等.金光炎对适线法作了大量工作[1].适线法实际是一种优选法,即优选一组参数使之相应的理论曲线与经验点据最好吻合.但由于目估适线没有一个明确定量的拟合优度标准,使结果因人而异,往往达不到优选目的,找不到最佳结果.为了有一个客观定量标准,并利用计算机适线,近年来产生了一种新的方法——模型搜索适线法,其原理同目估适线法一样,寻找一组参数,使这组参数所决定的理论曲线与经验点据拟合最优.由于不同适线准则与不同的经验频率计算公式得到的结果有时差异很大,为了确定合理的适线准则和相应的经验频率计算公式,丛树铮等[2]对此问题作了大量的水文统计试验研究.
其实,在采用优化适线法时,尚有一个经验点与所配曲线之间离差的加权问题,由于各经验点的精度不同、在频率曲线上的位置不同、配线的目的不同,其在优化适线时的重要程度理应不同.现有的优化适线法均不能考虑这些因素,只能将各经验点与所配频率曲线之间的离差视为等权,因此计算结果受个别异常点影响十分敏感,致使所配曲线受少数异常点控制而时常偏离大多数经验点的分布趋势,这正是现行优化适线法计算结果欠稳定、平差能力低的症结所在.如何合理的确定各经验点与所配曲线之间离差在优化适线中的权重,使参数估计具有更好的稳健性与良好的平差能力,是一个值得探讨的问题.本文根据模糊数学的基本原理[3],首次提出了经验点对所配曲线的相对隶属度概念及该相对隶属度的分析计算方法,进而提出了以该隶属度为权重的P—Ⅲ型分布参数模糊加权优化适线法,以期克服现行优化适线法之不足.
2 模糊加权优化适线法
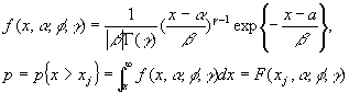
若随机变量X服从P—Ⅲ型分布,则其概率度函数和分布函数分别为:
(1)(2)
其中α,β,γ为3个未知参数,它们与常用的3个特征参数Ex,Cv,Cs有如下关系
(3)
设想自总体X中抽取K组容量为M的系列,则可用适线法选配出K条频率曲线,若有某条频率曲线恰好完全通过Exm(即X(pm)=Exm,m=1,2,…,M),则称此条频率曲线为随机变量X的理想最优频率曲线.因为只有通过它外延得出的设计值才是无偏的,其它频率曲线都是有偏的.
在理想最优频率曲线概念的基础上,我们进一步给出经验点据(xm,pm)对理想最优频率曲线的相对隶属度定义及其计算方法.
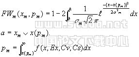
若以随机独立方式从随机变量X的总体中抽取一组容量为M的,将其按大小为序排列,则序位为m的变量xm(相应的经验频率为pm)称为次序统计量.它也是一个随机变量,若xm恰好落在理想最优频率曲线上,则xm对该曲线的相对隶属度为1;若xm距离理想最优频率曲线愈远则相对隶属度愈小,若xm距离曲线无穷远,则相对隶属度为0.
次序统计量xm是原随机变量X衍生出来的,其概率分布特性可以通过条件分布密度函数f(xm|pm)来描述,按陈守煜教授提出的概率分析与模糊集分析相结合的模糊水文学基本思想[4],本文假定条件分布密度函数f(xm|pm)近似服从均值为Exm的正态分布,即f(xm|pm)=N(Exm,σm),并按下式定义xm对理想最优频率曲线的相对隶属度.
定义:若随机变量X的理想最优频率曲线为f(x,Ex,Cv,Cs),则某经验点据(xm,pm)对f(x,Ex,Cv,Cs)的相对隶属度为
(4)
f(x,Ex,Cv,Cs)为理想最优频率曲线密度函数,其它符号同前.
在f(xm|pm)服从正态分布的条件下,可按[2,5]所述的水文统计试验方法推求不同适线准则下式(4)中的σm,金光炎对此问题作了深入细致的研究,并绘制了绝对值准则和最小二乘法适线的B值诺模图[1,5].
本文采用了金光炎的以上成果,并利用下式计算σm
式中S为X系列的标准差,n为容量,B为B值模图中的取值,它是Cs和pm的函数.
因为均值对期望值Ex的估计具有无偏性且方差最小,因而不需通过适线法来确定,于是便可得到本文提出的模糊加权优化适线法的数学模型。
(5)
式中c为优化准则参数.
3.1 结果 任何参数估计方法,即使在理论上正确,也必须通过大量适当的数据充分检验合格以后,才有应用的价值,本文采用刘光文教授[6]提出的与水文安全因数有关的绝对精度标准,即x1%和x0.1%(作为代表)的真误差不应超过8%—10%,用本文提出的模糊加权优化适线法和现行的几种参数估计方法,对大量的理想资料同时进行了对比计算,以下仅将与[6]中20组理想对
比的计算结果列于表1.
表1 假想对各种P—Ⅲ型参数估计方法的对比检验
| 序号* | 容量(n) | 项 目 | 假想理论值 (TV) | 数值积分* 双权函数法 (NIDWF) | 模糊加权最小 平方准则 (FWLSC) | 模糊加权绝对值 最小准则 (FWLAVC) |
| 1 | 19 | cv | 1 1/2 1 2.51128 3.26556 | 0.99344(-0.7%) 0.48154(-3.7%) 0.96948(-3.1%) 2.42987(-3.2%) 3.14018(-3.8% | 0.97942(2.1%) 0.5046(+1.3%) 0.8573(14.3%) 2.4184(-1.2%) 3.18867(-2.4% | 0.97942(2.1%) 0.5089(+1.8%) 0.7474(25.3%) 2.44141(2.4%) 3.11913(4.5%) |
| 2 | 29 | cv cs x1% x0.1% | 1 1/2 1 2.51128 3.26556 | 0.99561(-0.4%) 0.48796(-2.4%) 0.98480(-1.5%) 2.45920(-2.1%) 3.18634(-2.4%) | 0.98454(1.5%) 0.5097(+1.9%) 0.9041(-9.6%) 2.51049(0.0%) 3.24205(1.0%) | 0.98454(1.5%) 0.4953(-0.9%) 0.6418(35.8%) 2.38095(5.2%) 2.99158(8.4%) |
| 3 | 19 | cv cs x1% x0.1% | 1 1/2 3/2 2.66518 3.61676 | 0.99072(-0.9%) 0.47775(-4.5%) 1.47686(-1.5%) 2.56057(-3.9%) 3.45267(-4.5%) | 0.97031(3.0%) 0.5119(+2.4%) 1.2878(14.1%) 2.63823(1.0%) 3.52551(2.5%) | 0.97031(-3.0%) 0.5084(+1.7%) 1.1152(-25.7%) 2.57268(-3.5%) 3.38809(-6.3%) |
| 4 | 29 | cv cs x1% x0.1% | 1 1/2 3/2 2.66518 3.61676 | 0.909381(-0.6%) 0.48511(-3.0%) 1.48752(-0.8%) 2.59586(-2.6%) 3.50864(-3.0%) | 0.97775(-2.2%) 0.5095(+1.9%) 1.3440(-10.4%) 2.65240(-0.5%) 3.55990(-1.6%) | 0.97775(-2.2%) 0.5115(+2.3%) 1.2061(-19.6%) 2.61539(-1.9%) 3.47005(-4.1%) |
| 5 | 19 | cv cs x1% x0.1% | 1 3/4 3/2 3.49776 4.92515 | 0.98608(-1.4%) 0.72573(-3.2%) 1.47852(-1.4%) 3.56030(-3.9%) 4.71006(-4.4%) | 0.95547(-4.5%) 0.7839(+4.5%) 1.1547(-23.0%) 3.44339(-1.6%) 4.74307(-3.7%) | 0.95547(-4.5%) 0.7689(+2.5%) 1.0853(-29.4%) 3.3642(-3.8%) 4.57124(-7.2%) |
| 6 | 29 | cv cs x1% x0.1% | 1 3/4 3/2 3.49776 4.92515 | 0.99072(-0.9%) 0.73903(-1.5%) 1.48737(-0.8%) 3.42364(-2.1%) 4.80974(-2.3%) | 0.96663(-3.3%) 0.7724(+3.0%) 1.2649(-15.7%) 3.46916(-0.8%) 4.70729(-2.6%) | 0.96663(-3.3%) 0.7580(+1.1%) 1.2038(-19.7%) 3.39449(-3.0%) 4.66096(-5.4%) |
| 7 | 19 | cv cs x1% x0.1% | 1 1/2 2 2.83259 3.95388 | 0.98850(-1.2%) 0.47137(-5.7%) 2.00927(+0.5%) 2.67059(-4.7%) 3.74683(-5.2%) | 0.96261(-3.7%) 0.5066(+1.3%) 1.8071(-9.6%) 2.77295(-1.6%) 3.86085(-2.4%) | 0.96262(-3.7%) 0.5058(+1.2%) 1.5219(-23.9%) 2.68934(-4.0%) 3.66066(-7.4%) |
| 8 | 29 | cv cs x1% x0.1% | 1 1/2 2 2.80259 3.95388 | 0.99233(-0.8%) 0.48052(-3.9%) 2.00328(+0.2%) 2.71220(-3.2%) 3.81141(-3.6%) | 0.97203(-2.8%) 0.5049(+1.0%) 1.8811(-5.9%) 2.79284(-0.3%) 3.90880(-1.1%) | 0.97203(-2.8%) 0.5073(+1.5%) 1.6324(-18.4%) 2.73194(-2.5%) 3.75257(-5.1%) |
| 9 | 19 | cv cs x1% x0.1% | 1 2/3 2 3.40345 4.93850 | 0.98466(-1.5%) 0.64245(-3.6%) 2.00993(+0.5%) 3.26847(-4.0%) 4.72963(-4.2%) | 0.94014(-5.0%) 0.6951(+4.2%) 1.5256(-2.37%) 3.32663(-2.3%) 4.83837(-2.0%) | 0.95014(-5.0%) 0.6954(+4.3%) 1.5155(-24.2%) 3.31947(-2.5%) 4.65110(-5.8%) |
续表1
| 序号* | 容量 (n) | 项 目 | 假想理论值 (TV) | 数值积分* 双权函数法 (NIDWF) | 模糊加权最小 平方准则 (FWLSC) | 模糊加权绝对值 最小准则 (FWLAVC) |
| 10 | 29 | cv cs x1% x0.1% | 1 2/3 2 3.40345 4.93850 | 0.98978(-1.0%) 0.65060(-2.4%) 2.00250(+0.1%) 3.31215(-2.7%) 4.79620(-2.9%) | 0.96271(-3.7%) 0.6940(+4.0%) 1.7077(-14.6%) 3.39963(-0.1%) 4.83837(-2.0%) | 0.96271(-3.7%) 0.6930(+3.9%) 1.6239(-18.8%) 3.36387(-1.2%) 4.75381(-3.7%) |
| 11 | 19 | cv cs x1% x0.1% | 1 1 2 4.60517 6.90776 | 0.97699(-2.3%) 0.99364(-0.6%) 2.01400(+0.7%) 4.48373(-2.6%) 6.72992(-2.6%) | 0.92521(-7.5%) 1.0652(+6.5%) 1.9021(-4.9%) 4.77998(+3.8%) 7.14573(+3.4%) | 0.92521(-7.5%) 0.8599(-14.0%) 1.4378(-28.1%) 3.82762(-16.9%) 5.41929(-21.5%) |
| 12 | 29 | cv cs x1% x0.1% | 1 1 2 4.60517 6.90076 | 0.98466(-1.5%) 0.99481(-0.5%) 2.00226(+0.1%) 4.51724(-1.9%) 6.77452(-1.9%) | 0.94406(-5.6%) 1.0472(+4.7%) 1.9021(+4.9%) 4.75414(+3.2%) 7.11889(+3.1%) | 0.94406(-5.6%) 0.9684(-3.2%) 1.7022(-14.9%) 4.34908(-5.6%) 6.35447(-8.0%) |
| 13 | 19 | cv cs x1% x0.1% | 1 5/2 5/8 3.40337 5.09259 | 0.98316(-1.7%) 0.59299(-5.1%) 2.60188(+4.1%) 3.25111(-4.5%) 4.87426(-4.8%) | 0.94549(-5.4%) 0.6308(+0.9%) 2.2220(-11.1%) 3.34111(-0.2%) 4.90459(-3.7%) | 0.94549(-5.4%) 0.5990(-4.2%) 1.9462(-22.2%) 3.14045(-7.7%) 4.49276(-11.8%) |
| 14 | 29 | cv cs x1% x0.1% | 1 5/1/2 5/8 3.40337 5.09259 | 0.98873(-1.1%) 0.60223(-3.6%) 2.52765(+1.1%) 3.28902(-3.4%) 4.90818(-3.6%) | 0.95920(-4.1%) 0.6354(-1.7%) 2.3285(-6.9%) 3.40037(0.0%) 5.03408(-1.1%) | 0.95920(-4.1%) 0.6209(-0.7%) 2.0570(-17.7%) 3.26343(-4.1%) 4.72475(-7.2%) |
| 15 | 19 | cv cs x1% x0.1% | 1 3/4 3 4.03853 6.36426 | 0.97690(-2.3%) 0.72046(-3.9%) 3.14988(+5.0%) 3.86713(-4.2%) 6.13317(-3.6%) | 0.92712(-7.3%) 0.7508(+0.1%) 2.5727(-14.2%) 3.90632(-3.3%) 5.97705(-6.1%) | 0.92712(-7.3%) 0.6686(-10.9%) 2.4218(-19.3%) 3.54320(-12.3%) 5.30654(-16.6%) |
| 16 | 29 | cv cs x1% x0.1% | 1 3/4 3 4.03853 6.36426 | 0.98448(-1.6%) 0.73826(-2.9%) 3.07152(+2.4%) 3.90830(-3.3%) 6.17219(-2.0%) | 0.94530(-5.5%) 0.7713(+2.8%) 2.7660(-7.8%) 4.06518(+0.7%) 6.31981(-0.7%) | 0.94530(-5.5%) 0.7119(-5.1%) 2.4904(-17.0%) 3.74470(-7.3%) 5.66888(-10.9%) |
| 17 | 19 | cv cs x1% x0.1% | 1 1 3 5.05138 8.15235 | 0.96920(-3.1%) 0.99675(-0.3%) 3.16031(+5.3%) 4.97404(-1.5%) 8.16870(+0.2%) | 0.90283(-9.7%) 1.1035(+10.4%) 2.2418(-25.3%) 5.09906(+0.9%) 7.84849(-3.7%) | 0.90283(-9.7%) 1.0692(+6.9%) 2.3048(-23.2%) 5.00685(-0.9%) 7.72542(-5.2%) |
| 18 | 29 | cv cs x1% x0.1% | 1 1 3 5.05138 8.15235 | 0.97931(-2.1%) 0.99508(-0.5%) 3.08385(+2.8%) 4.95773(-1.9%) 8.04434(-1.3%) | 0.92707(-7.3%) 1.0778(+7.8%) 2.4421(-18.6%) 5.13616(+1.6%) 8.01065(-1.7%) | 0.92707(-7.3%) 1.0472(+4.7%) 2.4619(-17.9%) 5.02789(-0.5%) 7.83777(-3.9%) |
| 19 | 19 | cv cs x1% x0.1% | 1 3/2 3 7.07706 11.72853 | 0.95380(-4.6%) 1.55446(+3.6%) 3.18574(+6.2%) 7.06141(-0.2%) 11.87708(+1.3%) | 0.85424(-14.6%) 1.6422(+9.5%) 2.7897(-7.0%) 7.49812(+5.9%) 12.30353(+4.9%) | 0.85424(-14.6%) 1.3063(-12.9%) 2.43470(-12.9%) 5.96459(-15.7%) 9.41022(-19.8%) |
| 20 | 29 | cv cs x1% x0.1% | 1 3/2 3 7.07706 11.72853 | 0.96896(-3.1%) 1.52306(+1.5%) 3.08189(+2.7%) 6.99291(-1.2%) 11.66507(-0.5%) | 0.89060(-10.9%) 1.5864(+5.7%) 2.8152(-6.2%) 7.35641(+3.9%) 12.07083(+2.9%) | 0.89060(-10.9%) 1.3903(-7.3%) 2.6342(-12.2%) 6.46617(-8.6%) 10.3966(-11.4%) |
* 计算结果引自文献[6]
又以淮河蚌埠站平均流量系列为例,进行了计算,其结果见表2,图1.
表2 各种方法计算结果对照
| 估计方法 | Ex | Cv | Cs |
| 矩 法 | 827.5 | 0.65 | 1.20 |
| 极大似然法 | 827.5 | 0.72 | 1.88 |
| 适 线 法 | 827.5 | 0.75 | 1.88 |
| 概率权矩法* | 827.5 | 0.68 | 1.69 |
| 模糊加权适线法 | 827.5 | 0.71 | 1.52 |
*计算结果引自文献[8]
3.2 分析与讨论 本文仅对模糊加权优化适线法进行讨论,关于其他方法的讨论请文献[6].
表1的计算结果表明:模糊加权最小二乘准则,对20组理想资料全都能达到精度标准.x1%的真误差绝对值平均为1.6%;而且正负误差基本持平,其中误差小于5%的有19组,最大误差为-6.1%;x0.1%的真误差绝对值平均为2.4%,其中正误差1.0%.负误差1.4%,误差小于5%的有19组,最大一组误差+5.9%,没有随Cv,Cs变化而出现明显的系统偏大或偏小现象,对不同参数的资料适应性强,计算结果稳定.

图1 淮河蚌埠站年平均流量频率曲线
模糊加权绝对值和最小准则,设计值估值全是负误差.x1%的真误差平均为5.2%,误差小于5%的有12组,5%—10%的5组,大于10%的3组,最大误差16.9%;x0.1%的误差均值为8.7%,小于5%的有4组,5%—10%的10组,大于10%的6组,最大误差为21.5%,不能达到绝对精度标准,计算结果系统偏小,对工程设计偏于不安全.计算结果还表明:模糊加权最小二乘准则适线法所估计的参数Cv有系统偏大,Cs有系统偏小的现象,这主要是由于用矩法估计有系统偏小的原因所致.但最终的设计估计值x1%,x0.1%没有出现明显的系统偏差,计算精度很高,这正是由于本方法有在,Cv,Cs估计值偏小的情况下,使Cv适当偏大,在一定程度上补偿了,Cs估值偏小的影响,使最终设计估值有很高的稳定性和计算精度,及较强的资料适应能力的优点.而模糊加权绝对值和最小准则适线法在估计偏小的情况下,不能很好地协调Cv,Cs估值,补偿各参数的估计值偏差,使最终设计估值系统偏小明显,难以达到绝对精度要求.
淮河蚌埠站实测资料的计算也表明,模糊加权最小二乘准则适线法所获得的理论频率曲线与实测资料拟合良好.
4 结 语
P—Ⅲ型曲线作为我国水文计算规范所规定的频率分析线型,在我国水文频率计算中得到广泛应用.但对于P—Ⅲ型分布参数的估计问题长期以来没有得到很好的解决,不同学派众说纷云,难达一致.本文提出了理想最优频率曲线和经验点据对理想最优频率曲线的相对隶属度概念及该相对隶属度的分析计算方法.然后从充分利用信息,增强参数估计方法的稳健性和平差能力等方面考虑,提出了以经验点对理想最优频率曲线相对隶属度为权重的模糊加权优化适线法.
模糊加权优化适线法可以充分利用信息(包括经验点的大小,排位和可能存在的误差等信息),区分不同点在配线分析中的作用,较好的反映了“参数估计应以精度精高的实测点据为主,不要过于崇信可能存在较大误差的洪水,但又要适当考虑历史洪水点据所带来的信息”等配线分析过程中的模糊性思想,并把这些思想模型化、规范化,克服了一般优化适线方法在配线过程中等同看待精度不同的各经验点据,最终导致计算结果受个别异常点影响甚大,计算结果不稳定的缺点.
利用与水文安全因素有关的绝对精度检验标准,以理想和实测对不同模糊加权优化准则(模糊加平方和最小、模糊加权绝对值和最小)进行计算的结果表明:模糊加权绝对值和最小优化适线法,Cv,Cs,x1%,x0.1%均系统偏小,最大误差为-16.9%—-21.5%,难以达到容许误差标准;模糊加权平方和最小优化适线法,虽,Cs系统偏小,Cv系统偏大,但x1%,x0.1%计算精度很高,计算结果稳定,分析参数有系统偏差的原因,主要因用矩法估计系统偏小所致,Cv偏大是为补偿因,Cs估值偏小,使最终设计估计值稳定.
模糊加权平方和最小优化适线法计算结果稳定,对不同参数资料适应性强且参数,Cv,Cs间有很好的补偿效果,设计估值精度能达到容许误差标准,能很好拟合实测资料,是一种较好的P—Ⅲ型分布参数估计方法.
1 金光炎. 论水文频率中的适线法.水文,1992,(4).
2 从树铮,等. 水文频率计算中参数估计的统计试验研究.学报,1980,(3).
3 陈守煜. 系统模糊决策理论与应用.大连:大连理工大学出版社,1994.
4 陈守煜. 模糊水文学与水资源系统模糊优化原理.大连理工大学出版社,1990.
5 金光炎,等. Γ分布保证率修正值参数B的确定.水文,1991,(6).
6 刘光文. 皮尔逊Ⅲ型分布参数估计.水文,1990,(4,5).
7 刘治中. 数值积分权函数法推求P—Ⅲ型分布参数.水文,1987,(7).
8 宋德敦,等. 概率权重矩法及其在P—Ⅲ型分布中的应用.学报,1988,(3).
9 邱 林,等. 水文水资源系统模糊集分析理论及应用.郑州:黄河出版社,1995.
Weighted optimum curve-fitting method for estimating the
parametersof Pearson type-Ⅲ distribution
Abstract The weighted optimum curve-fitting method for estimating the parameters of Pearson type-Ⅲ distribution is presented in this paper. This method can increase the stability of calculation and reduce the influnce of errors in hydrologic data on estimation of the parameters as well as utilizing information in real hydrologic data.The method is tested by safety standard of hydraulic engineering with a great deal of ideal and real hydrologic data. The results show that the method of least squares criterion is stable and its precision satisfies the safety standard for hydraulic engineering.
Key words parameter estimation, curve/|fitting, fuzzy weighted optimum,relative membership.