预应力钢纤维混凝土梁斜截面抗裂试验和计算方法
摘要:根据25根预应力钢纤维混凝土无腹筋梁和20根预应力钢纤维混凝土箍筋梁斜截面受力试验研究,分析了箍筋、剪跨比、有效预压力、钢纤维体积率和长径比对预应力钢纤维混凝土梁斜截面抗裂度的影响. 通过理论推导,提出了预应力钢纤维混凝土梁的斜截面抗裂的公式.
关键词:预应力 钢纤维混凝土梁 斜截面 抗裂度
钢筋钢纤维混凝土梁施加预应力后,进一步增强了正截面的抗弯性能,使正常使用状态下正截面的裂缝和变形控制更易实现,但其斜截面的受力性能如何,国内尚无研究资料可查,国外也仅做了少量的试验研究,有关斜截面抗裂的研究资料更少[1]. 为此,本文对预应力钢纤维混凝土梁的斜截面抗裂性能和计算方法进行了比较系统的研究.
1 试验概况
试验梁分两批制作. 第一批在大连市预制构件一厂100m预应力张拉台制作,包括18根预应力钢纤维混凝土无腹筋梁和20根预应力钢纤维混凝土箍筋梁,梁长2.30m,截面尺寸b×h=150mm×300mm. 纵向预应力钢筋为2Φl18冷拉Ⅱ级钢筋,纵向非预应力受拉钢筋为2Φ14热轧Ⅱ级钢筋,架立筋和箍筋分别为2Φ8和2Φ6.5热轧Ⅰ级钢筋,箍筋间距s=120mm/,160mm/,200mm. 钢纤维为剪切型,矩形断面0.4mm×0.5mm,长度lf=35mm、50mm和60mm, 体积率ρf=0/,0.5%、1.0%和1.5%.水泥采用525#普通硅酸盐水泥,中砂、碎石(最大粒径10mm),水灰比0.40,水泥用量445kg/m
,水泥∶砂∶石=1∶1.44∶2.57,NF-B型减水剂用量3.56kg/m
. 混凝土在容积为1.0m
的搅拌仓内分8批投料搅拌,人工投撒钢纤维,出仓后发现钢纤维体积率ρf=1.5%长度lf=35mm、钢纤维体积率ρf=1.0%长度lf=50mm和60mm的3批混凝土内钢纤维有不同程度的“结团”现象,人工散开后拌和均匀再入梁模内成型.
第二批在大连理工大学实验室由人工拌合钢纤维混凝土成型,包括7根预应力钢纤维混凝土无腹筋梁,梁长1.65m,截面尺寸b×h=120mm×240mm. 纵向预应力钢筋为2Φl16或2Φl20冷拉Ⅱ级钢筋,纵向非预应力钢筋为Φ25或2Φ12热轧Ⅱ级钢筋. 采用长度lf=35mm的剪切型钢纤维,体积率ρf=1.0%. 混凝土配合比与第一批梁相同.
试验梁的截面尺寸和材料性能列入表1,其中钢纤维混凝土立方体强度ffcu和抗拉强度fft取与试验梁同批制作并养护的150mm立方体试块实测抗压和劈拉强度的平均值,钢筋的屈服强度fy,极限强度fsu取同批试样的相应平均值.
试验梁除PFA10-4a,4b和PV16-A10-43根梁采用单点加载外,其余均采用两点对称集中加载. 测试内容包括剪压区混凝土应变、与斜裂缝相交处纵向受拉钢筋和箍筋应变、与箍筋相交处及纵向受拉钢筋重心处斜裂缝宽度、跨中挠度、斜截面开裂荷载及破坏荷载.
试验梁斜截面开裂剪力实测值和斜截面破坏形态列入表1.
表1 预应力钢纤维混凝土梁截面尺寸、材料性能及斜截面抗裂剪力试验值
| 试验梁编号 | b×h×h0/mm | λ | ρf/(%) | lf/df | ffcu/MPa | ρ/(%) | Np0/kN | V0pfcr/kN | 破坏特征 | |
| PB0-2a | 150×300×265 | 1.96 | 0 | 0 | 44.3 | 2.06 | 154 | 90 | 剪 压 | |
| PB0-2b | 160×306×270 | 1.93 | 0 | 0 | 44.3 | 1.89 | 137 | 100 | 剪 压 | |
| 第 | PFA5-2a | 150×300×265 | 1.96 | 0.5 | 70 | 47.8 | 2.06 | 137 | 120 | 剪 压 |
| PFA5-2b | 150×300×265 | 1.96 | 0.5 | 70 | 47.8 | 2.06 | 137 | 100 | 剪 压 | |
| 一 | PFA10-1a | 150×310×275 | 1.16 | 1.0 | 70 | 46.8 | 2.00 | 137 | 140 | 斜 压 |
| PFA10-1b | 145×305×270 | 1.19 | 1.0 | 70 | 46.8 | 2.10 | 154 | 160 | 斜 压 | |
| 批 | PFA10-2a | 146×305×270 | 1.93 | 1.0 | 70 | 46.8 | 2.08 | 154 | 120 | 斜 压 |
| PFA10-2b | 148×306×270 | 2.30 | 1.0 | 70 | 46.8 | 2.05 | 137 | 110 | 剪 切 | |
| 无 | PFA10-3a | 148×308×272 | 2.81 | 1.0 | 70 | 46.8 | 2.03 | 137 | 70 | 弯 剪 |
| PFA10-3b | 148×303×265 | 2.89 | 1.0 | 70 | 46.8 | 2.09 | 137 | 90 | 弯 剪 | |
| 腹 | PFA10-4a | 150×300×265 | 3.38 | 1.0 | 70 | 46.8 | 2.06 | 137 | 90 | 剪 压 |
| PFA10-4b | 150×305×270 | 3.32 | 1.0 | 70 | 46.8 | 2.02 | 154 | 90 | 弯 压 | |
| 筋 | PFA15-1 | 145×305×270 | 1.56 | 1.5 | 70 | 43.4 | 2.10 | 154 | 160 | 剪 压 |
| PFA15-2 | 145×305×270 | 1.93 | 1.5 | 70 | 43.4 | 2.10 | 154 | 120 | 剪 压 | |
| 梁 | PFB10-1 | 150×305×270 | 1.56 | 1.0 | 100 | 37.4 | 2.02 | 137 | 140 | 剪 压 |
| PFB10-2 | 150×305×265 | 1.93 | 1.0 | 100 | 37.4 | 2.02 | 137 | 120 | 剪 切 | |
| PFC10-2a | 155×300×265 | 1.96 | 1.0 | 120 | 41.0 | 2.00 | 137 | 100 | 剪 切 | |
| PFC10-2b | 150×300×265 | 1.96 | 1.0 | 120 | 41.0 | 2.06 | 137 | 100 | 剪 切 | |
| 第 | PFA10-2-01 | 120×240×215 | 1.86 | 1.0 | 70 | 39.0 | 3.46 | 0 | 55 | 剪 切 |
| 二 | PFA10-2-02 | 117×240×215 | 1.86 | 1.0 | 70 | 39.0 | 3.46 | 0 | 60 | 剪 切 |
| 批 | PFA10-2-11 | 120×240×215 | 1.86 | 1.0 | 70 | 39.0 | 3.46 | 122 | 75 | 剪 切 |
| 无 | PFA10-2-12 | 120×240×215 | 1.86 | 1.0 | 70 | 39.0 | 3.46 | 122 | 80 | 剪 切 |
| 腹 | PFA10-2-2 | 120×240×215 | 1.86 | 1.0 | 70 | 39.0 | 3.31 | 145 | 85 | 剪 切 |
| 筋 | PFA10-2-31 | 120×240×215 | 1.86 | 1.0 | 70 | 39.0 | 3.31 | 190 | 100 | 剪 切 |
| 梁 | PFA10-2-32 | 120×240×215 | 1.86 | 1.0 | 70 | 39.0 | 3.31 | 190 | 90 | 剪 切 |
| PBV16-0-2a | 150×305×270 | 1.93 | 0 | 0 | 44.3 | 2.02 | 154 | 90 | 剪 切 | |
| PBV16-0-2b | 150×300×265 | 1.96 | 0 | 0 | 44.3 | 2.02 | 154 | 90 | 剪 切 | |
| PV16-A5-2a | 150×300×265 | 1.96 | 0.5 | 70 | 47.8 | 2.06 | 137 | 110 | 剪 切 | |
| 箍 | PV16-A5-2a | 150×300×265 | 1.96 | 0.5 | 70 | 47.8 | 2.06 | 154 | 110 | 剪 切 |
| PV12-A10-2a | 150×305×270 | 1.93 | 1.0 | 70 | 47.1 | 2.02 | 154 | 100 | 剪 弯 | |
| PV12-A10-2b | 150×300×265 | 1.96 | 0.5 | 70 | 47.1 | 2.06 | 154 | 110 | 剪 弯 | |
| PV16-A10-2a | 145×305×270 | 1.93 | 1.0 | 70 | 47.1 | 2.10 | 154 | 105 | 弯 剪 | |
| 筋 | PV16-A10-2b | 150×300×265 | 1.96 | 1.0 | 70 | 47.1 | 2.06 | 154 | 110 | 剪 压 |
| PV20-A10-2a | 150×300×265 | 1.96 | 1.0 | 70 | 46.8 | 2.06 | 154 | 110 | 剪 压 | |
| PV20-A10-2b | 150×300×265 | 1.96 | 1.0 | 70 | 46.8 | 2.06 | 154 | 100 | 剪 压 | |
| PV16-A10-3a | 145×300×265 | 2.60 | 1.0 | 70 | 46.8 | 2.13 | 154 | 90 | 弯 剪 | |
| 梁 | PV16-A10-3b | 150×305×270 | 2.56 | 1.0 | 70 | 46.8 | 2.02 | 154 | 90 | 弯 剪 |
| PV16-A10-1 | 155×300×265 | 1.47 | 1.0 | 70 | 46.8 | 2.00 | 137 | 140 | 剪 压 | |
| PV16-A10-4 | 150×300×265 | 3.38 | 1.0 | 70 | 46.8 | 2.06 | 137 | 80 | 弯 剪 | |
| PV16-A15-1 | 150×300×265 | 1.58 | 1.5 | 70 | 34.4 | 2.06 | 154 | 150 | 剪 压 | |
| PV16-A15-2 | 150×300×265 | 1.96 | 1.5 | 70 | 43.4 | 2.06 | 154 | 120 | 剪 弯 | |
| PV16-B10-1 | 145×305×270 | 1.56 | 1.0 | 100 | 37.4 | 2.10 | 137 | 130 | 剪 压 | |
| PV16-B10-2 | 150×310×275 | 1.89 | 1.0 | 100 | 37.4 | 1.98 | 137 | 110 | 剪 弯 | |
| PV16-C10-2 | 150×300×265 | 1.9- | 1.0 | 120 | 41.0 | 2.06 | 154 | 110 | 剪 弯 | |
| PV16-C10-3 | 150×305×270 | 2.56 | 1.0 | 120 | 41.0 | 2.02 | 154 | 100 | 弯 | |
注:试验梁跨度l0:第一批为1790mm,第二批为1400mm.
2 斜截面抗裂影响因素分析
试验表明,当其他条件相同时,箍筋对预应力钢纤维混凝土梁斜截面抗裂度的影响很小. 因此在以下分析中,不再考虑无腹筋和箍筋梁因是否配置箍筋在斜截面抗裂性能方面的区别,统称为预应力钢纤维混凝土梁. 
图1 截面平均剪应力与剪跨比的关系
2.1 剪跨比 图1绘出了钢纤维长度lf=35mm、体积率ρf=1.0%的预应力钢纤维混凝土梁斜截面开裂时截面平均剪应力τpfcr与剪跨比λ的关系,可见截面平均剪应力τpfcr随着剪跨比λ的增大而减小. 分析其原因可概括为下述两个方面:随着剪跨比λ的增大,斜截面裂缝形态由腹剪斜裂缝向弯剪斜裂缝转化,前者主要因剪跨区梁腹中部剪应力过大致使主拉应力超过钢纤维混凝土的抗拉强度而产生,后者则是在剪跨区梁底部产生弯曲裂缝后,该区域钢纤维混凝土和纵向受拉钢筋产生应力重分布,或使弯曲裂缝尖端钢纤维混凝土在剪、拉应力共同作用下的主拉应力偏离垂直截面导致弯曲裂缝沿倾斜方向延伸,或使纵向受拉钢筋重心偏上钢纤维混凝土因应力重分布开裂并与弯曲裂缝尖端连通后倾斜延伸,应力重分布和弯曲裂缝尖端的集中应力场均会降低钢纤维混凝土的抗拉强度,从
而降低斜截面抗裂度;另一方面,在集中荷载作用点和支座附近存在的竖向应力场主要为压应力场,在荷载作用点两侧0.6h(此处h为梁截面高度)以内,压应力相当大,从而提高混凝土的抗剪强度,抑制斜裂缝的产生[2]. 显然,当剪跨比较小时,竖向压应力场对提高梁斜截面抗裂度有着显著影响,但随着剪跨比的增大,竖向压应力场的有利作用减弱,对提高梁斜截面抗裂度的作用也随之减小. 
图2 截面平均剪应力与有效预压力的关系
2.2 有效预压力 图2绘出了第二批试验梁斜截面开裂时截面平均剪应力τpfcr与截面有效预压力Np0的关系,可见τpfcr随Np0的增大而增大. 梁施加预应力后,改变了截面应力分布状态,一方面使荷载作用下截面中和轴下移,中和轴以下梁腹钢纤维混凝土处于剪应力和正压应力共同作用状态,减小了主拉应力值,使梁腹出现腹剪斜裂缝时的荷载提高;另一方面预应力延迟了梁底剪跨区内弯曲裂缝的出现,提高了弯剪斜裂缝出现时的荷载.
2.3 钢纤维 图3绘出了剪跨比λ=1.89~1.96的预应力钢纤维混凝土梁斜截面开裂时截面平均剪应力τpfcr与钢纤维体积率ρf钢纤维长径比lf/df的关系,可见与钢筋钢纤维混凝土梁斜截面抗裂相似,预应力钢纤维混凝土梁斜截面抗裂度也随钢纤维体积率和长径比的增大而增大. 在图3中发现钢纤维长径比lf/df=120时τpfcr增加趋势减小,原因是在混凝土拌和过程中,其钢纤维“结团”现象较为严重,虽然经过人工分散,但钢纤维已弯曲变形,影响了其在混凝土基体中的合理分散. 
图3 截面平均剪应力与钢纤维体积率和长径比的关系
3 斜截面抗裂方法
3.1 斜截面抗裂计算理论模式 根据本课题试验结果,预应力钢纤维混凝土梁斜截面裂缝按其出现部位和形成机理仍同钢筋钢纤维混凝土梁一样可分为腹剪斜裂缝和弯剪斜裂缝两类. 对于腹剪斜裂缝出现时斜截面抗裂度,可以借用混凝土设计规范(GBJ10-89)规定的预应力混凝土梁斜截面抗裂计算方法,将其中混凝土抗拉强度ftk改为钢纤维混凝土抗拉强度fftk. 而对于弯剪斜裂缝出现时斜截面抗裂研究较少,尚未形成成熟的计算方法[2,3].
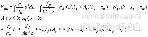
从斜裂缝形态看,预应力钢纤维混凝土梁与钢筋钢纤维混凝土梁的弯剪斜裂缝是相似的. 依据同样的思想[4], 将预应力钢纤维混凝土梁斜截面开裂极限状态时的应力图形近似简化如图4所示,截取AOB正/|斜截面,在斜裂缝出现瞬间,正截面AO受压区应力图形为三角形,斜截面OB受拉区垂直于斜面的拉应力为钢纤维混凝土的极限抗拉强度fft,
图4 弯剪斜裂缝理论模型
与斜裂缝相交的纵向受拉预应力钢筋应力增量和非预应力钢筋应力可取为αEfft,此处αE=(αpAp+αsAs)/(Ap+As),αp=(Ep)/(Efc),αs=(Es)/(Efc),Ep,Es,Efc依次为预应力钢筋、非预应力钢筋、钢纤维混凝土的弹性模量[5]. 截面有效预压力Npo以外力方式作用在预应力钢筋截面形心,ap为Npo作用点至梁底边缘的距离, α为斜截面平均倾角,c为平均斜裂缝底点距支座的距离.
对O-O中和轴取内外力矩平衡关系,得
(1)
由垂直截面AOA′内外力平衡关系得
(2)
将式(2)代入式(1),且d=c+(h-xcr)cotα,整理得
(3)
假设斜裂缝倾角α在不大范围内变动时,c,x,αE(Ap+As)和Np0为常量,则由
Vpfcr/
α=0的条件,求得相应于Vpfcr为最小值的α值为
(4)
上述各式中,Ic——垂直截面Ao受压区面积对中和轴O-O的惯性矩;St——斜截面OB受拉区在垂直面上投影的面积对中和轴O-O的面积矩;A0——AOA的换算面积;I0——垂直截面AOA换算面积对中和轴O-O的惯性矩.
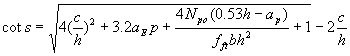
为了便于计算并与钢筋钢纤维混凝土梁斜截面抗裂计算相衔接,仍取xcr=0.5h,考虑到预应力的作用使斜截面裂缝倾角减小,剪压区高度增大,取h-ap-xcr=0.4h-ap,则式(3、4)改变为
Vpfcr=(0.25csc2α+0.8αEρ)/(c+0.5hcotα)fftbh2+
(Npo(0.53h-ap))/(c+0.5hcotα). (5)
(6)
其中ρ=(Ap+As)/bh0,c=(0.56-0.636(a)/(1))a,此处a和l分别为剪跨和跨度[4]. 钢纤维混凝土抗拉强度fft按下述公式计算[6],
(7)
式中,ffcu——钢纤维混凝土的立方体抗压强度(MPa),λf——钢纤维含量特征值.
本课题试验梁斜截面抗裂剪力实测值与式(5、6、7)所得计算值的比较结果:4根预应力混凝土梁的V0pcr/Vpcr平均值μ=0.868,离散系数δ=0.046;41根预应力钢纤维混凝土梁的V0pfcr/Vpfcr平均值μ=0.923,离散系数δ=0.133,符合性好.
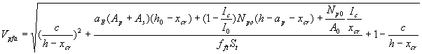
3.2 斜截面抗裂剪力实用计算公式 为了更直接地表达各主要影响因素与斜截面抗裂剪力的关系,可在斜截面抗裂理论公式(5、6)的基础上对其进行简化处理.
由式(5)可见,其中Np0项恰恰反映了预应力对钢筋钢纤维混凝土梁斜截面抗裂度的影响作用, 随Npo值增大, 预应力钢纤维混凝土梁斜截面抗裂度增大. 由式(6)可见,其中的Np0项也恰恰反映了预应力对钢筋钢纤维混凝土梁斜截面裂缝倾角α的影响作用,随Np0值增大,cotα值增大,α值减小. 这已为本课题试验研究所证实.
如果仍考虑影响α值的主要因素剪跨比λ,则式(5)可改写成如下形式
Vpfcr=Vfcr+βpNp0/λ,(8)
式中,Vfcr——钢纤维混凝土梁斜截面抗裂剪力,按下式计算[6]
Vfcr=((2.45)/(λ+3.5)+(20ρ)/(λ+1.1))fftbh0, (9)
βp——系数, 根据本课题试验资料回归分析,可取βp=0.30.
因此,式(8)可具体写作
Vpfcr=((2.45)/(λ+3.5)+(20ρ)/(λ+1.1))fftbh0+(0.3)/(λ)Np0,(10)
式中括号内第二项当λ>3.0时取λ=3.0.
本课题试验梁斜截面抗裂剪力实测值与式(10)和式(7)所得计算值的比较结果:4根预应力混凝土的V0pcr/Vpcr平均值μ=1.023,离散系数δ=0.038;41根预应力钢纤维混凝土梁的V0pfcr/Vpfcr平均值μ=1.027,离散系数δ=0.096,符合性良好.
4 结 论
(1) 预应力钢纤维混凝土梁斜截面开裂形态随着剪跨比的增大,由腹剪向弯剪转化,斜截面抗裂度随之降低. (2) 预应力可延迟剪跨区梁底弯曲裂缝的出现,减小斜裂缝倾角,增大剪压区高度,提高预应力钢纤维混凝土梁的斜截面抗裂度. (3) 预应力钢纤维混凝土梁的斜截面抗裂度随钢纤维体积率和长径比的增大而提高,但钢纤维体积率和长径比过大时,在混凝土拌和过程中易出现钢纤维“结团”现象,处理不当将影响混凝土质量. 钢纤维和预应力对预应力钢纤维混凝土梁斜截面抗裂度的增强作用之间不存在“耦合效应”. (4) 根据弯剪斜裂缝为基础的理论模型,推导出了预应力钢纤维混凝土梁斜截面抗裂理论公式,结合试验资料回归分析,提出了相应的简化计算公式. 使预应力钢纤维混凝土梁、钢筋钢纤维混凝土梁、预应力混凝土梁和钢筋混凝土梁的斜截面抗裂计算形成统一的理论计算体系.
1 Rajagopal R S and Siddappa S. Experimental investigation on fiber reinforced prestressed concrete beams under shear. Fiber Reinforced Cement and Concrete, RILEM Symposium, 1992.
2 黄成若. 钢筋混凝土构件斜截面抗裂计算. 钢筋混凝土设计与构造. 建筑研究院,1985.
3 国家标准. 混凝土设计规范(GBJ10-89). 北京:中国建筑出版社,1989.
4 赵国藩,李树瑶主编. 钢筋混凝土的裂缝控制. 北京:海洋出版社,1991.
5 赵顺波,李树瑶.部分预应力混凝土受弯构件裂缝宽度的简化计算.华北水电学院学报,1991,(1).
6 赵顺波. 钢纤维增强钢筋混凝土及预应力混凝土构件设计方法的研究:[学位]. 大连:大连理工大学,1996.
Experimental study on shear cracking strength of prestressed
steel fiber reinforced concrete beams
Abstract Based on the experimental study on the shear behaviors of forth-five prestressed steel fiber reinforced concrete beams, the effects of the stirrups, the shear span to depth ratio, the effective precompressed force, the volume fraction and aspect ratio of steel fiber on the shear cracking strength of prestressed steel fiber reinforced concrete beams are analyzed. The theoretical model and the practical formulas for calculating the shear cracking strength of prestresseed steel fiber reinforced concrete beams are proposed.
Key words steel fiber prestressed concrete beam shear cracking strength.