水轮机特性对调压室稳定断面积的影响
摘要:通过理论推导,研究了水轮机综合特性系数对调压室稳定断面的影响,即水轮机运行中不同工况点效率的相对变化对调压室稳定断面的影响.得出了最危险的调压室稳定断面取决于设计水头,并通过实例得到验证。
关键词:水轮机特性 综合特性系数 水轮机工况点 调压室 临界稳定断面
[1]运用水轮机特性的传递系数导出了调压室临界稳定断面积的公式,即托马断面积与水轮机综合特性系数的乘积.这表明水轮机特性对调压室稳定断面积是有影响的.因此,有必要进一步探讨水轮机综合特性系数的物理本质,研究该系数的取值范围,以及影响该系数的主要因素.
1 水轮机综合特性系数的物理实质
在推导调压室临界稳定断面积时,若调速方程采取水轮机出力的相对变化率中p等于力矩和转速的相对变化率之和的形式:
| p=mt+x, | (1) |
而mt可用水轮机力矩和流量的线性方程来表示:
| mt=ehh+eyy+exx, | (2) | |
| q=eqhh+eqyy+eqxx. | (3) |
其中eh、ey、ex、eqh、eqy和eqx是以稳态工况点为基准值的水轮机特性传递系数,q、h和y分别是水轮机流量、水头和开度的相对变化率.
将式(2)和式(3)代入式(1)整理,得:
. | (4) |
在出力不变、转速不变的条件下,式(4)化简为:
. | (5) |
令e=(eqy)/(ey)eh-eqh,称之为水轮机综合特性系数.
由式(5)和引水隧洞的动量方程,调压室的连续方程不难导出调压室临界稳定断面积的计算公式如下:
| F=e(Lf)/(2αgH0)=eFth. | (6) |
其中L、f和α分别是引水隧洞的长度、横截面积和水头损失系数,H0为水轮机的净水头.
若调速方程采用水轮机出力的相对变化率等于流量、水头和效率的相对变化率之和的形式:
p=q+h+(Δη)/(η0). | (7) |
式(7)减式(4),则有:
. | (8) |
另一方面,从水轮机模型综合特性曲线已知,效率是单位流量Q′1和单位转速n′1的函数:
η=η(Q′1,n′1). | (9) |
用泰勒级数展开式(9),并以无量纲形式来表示,则有:
| (10) |
| 根据 |
| (ΔQ′1)/(Q′10)=q-(1)/(2)h, | (11) | |
| (Δn′1)/(n′10)=x-(1)/(2)h. | (12) |
将式(11)和式(12)代入式(10),整理得:
. | (13) |
对比式(8)和式(13),可得:
| (14) | ||
, | (15) | |
| (16) |
由此可见,水轮机特性传递系数的组合实质上是水轮机效率对工作参数的相对变化.
将式(13)代入式(7),在水轮机出力、转速不变的同样条件下,可得:
, | (17) |
对比式(5)和式(17),得出:
. | (18) |
实际上式(18)也可以由式(14)和式(15)联立直接得出.
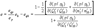
经过上述的理论推导,可以证明:水轮机综合特性系数对调压室稳定断面积的影响,本质上是水轮机效率变化所起的作用.过去许多学者对水轮机效率的影响做过大量的工作[2],其中以Evangelist公式最具有代表性
. | (19) |
| 而 |
| (20) | ||
| (21) |
同样运用单位流量和单位转速的定义式,不难证明
, | (22) | |
| (23) |
所以式(19)与式(16)是完全一致的,前者是将效率作为流量和水头的函数,后者是将效率作为单位流量和单位转速的函数,但在实际应用中,后者更为简便一些.
2 水轮机综合特性系数的变化
表1 e在水轮机模型综合特性曲线四区域及四条线上的变化特点
| 区 | 线 | |||||||
| Ⅰ | Ⅱ | Ⅲ | Ⅳ | a | b | c | d | |
| <0 | >0 | >0 | >0 | =0 | >0 | =0 | <0 | |
| <0 | <0 | >0 | >0 | <0 | =0 | >0 | =0 |
e | >1 | 在Ⅰ-Ⅲ之间 | <1 | 在Ⅰ-Ⅲ之间 | >1 | <1 | <1 | >1 |
|
|
图1 水轮机模型综合特性曲线上的区域划分 | 图2 各区域内e值的变化规律 |
综上分析可知:在任一水轮机模型综合特性曲线上,其右上角的e值较大,左下角的e值较小.并且开度越小,e值越小;反之开度越大,e值越大.
另一方面,从水轮机的运行范围来看:在最小水头(n′1max)和设计水头(n′1r)之间,由于受水轮机出力的限制,满负荷时,其工作点在5%出力限制线上移动,因此有可能落在Ⅰ区,而设计水头到最大水头(n′1min)之间,由于受发电机容量的限制,使得水头升高,开度减小,因此工况点通常落在b线附近或者Ⅲ区内.由此可见,水轮机特性对调压室稳定断面最不利的影响在最小水头到设计水头之间的5%出力限制线上.
表2 中高比速混流式水轮机在限制工况点和最小水头工况点的e值
(根据水轮机模型综合特性曲线)
| 水轮机型号 | 比速ns/(m*kW) | n′10/(r/min) | Q′10/(1/s) | η0 | ? | e | |
| HLD46 | 164.4 | 70.0 | 630 | 0.894 | -0.3523 | -0.1566 | 1.937 |
| 86.0 | 608 | 0.815 | -0.1856 | -0.8492 | 1.863 | ||
| HL180-46 | 191.5 | 70.0 | 855 | 0.894 | -0.4620 | 0.0509 | 2.241 |
| 86.0 | 871 | 0.850 | -0.0020 | -0.7798 | 1.392 | ||
| HL200 | 202.1 | 70.0 | 950 | 0.896 | -0.3857 | 0.0391 | 1.910 |
| 86.0 | 956 | 0.850 | -0.1856 | -0.7026 | 1.773 | ||
| HL220 | 223.8 | 71.0 | 1140 | 0.890 | -0.4483 | 0.0638 | 2.161 |
| 88.0 | 1150 | 0.847 | -0.0067 | -0.7273 | 1.376 | ||
| HLA23 | 237.8 | 75.4 | 1160 | 0.875 | -0.4375 | 0.0689 | 2.105 |
| 93.7 | 1110 | 0.840 | 0.0099 | -0.9221 | 1.442 | ||
| HLA286 | 253.4 | 79.0 | 1180 | 0.890 | -0.3845 | 0.0843 | 1.868 |
| 98.0 | 1174 | 0.840 | 0.4146 | -1.0442 | 0.929 | ||
| HLA112 | 260.8 | 79.0 | 1250 | 0.890 | -0.3371 | 0.0799 | 1.702 |
| 98.0 | 1285 | 0.850 | 0.1008 | -0.7951 | 1.224 | ||
| HLD75 | 263.9 | 80.0 | 1230.4 | 0.903 | -0.3673 | 0.0753 | 1.811 |
| 98.0 | 1210.9 | 0.870 | 0.2320 | -0.7040 | 1.003 |
3 工程实例
国内某在建大型水电站,拟采用HLD75型号的水轮机,Hr=72.50m,Hmin=53.02m,Qr=347.5m3/s,n0=115.4r/min,D1=5.90m.最长的1号尾水隧洞L=1364.83m,f=(π)/(4)×15.02m2,α=0.11199s2/m.于是可得出如表3所示的不同工况点的e值.
表3 工程实例中设计水头工况点和最小水头工况点的e值
| 工况点 | n′10/(r/min) | Q′10/(1/s) | η0 | ? | e | |
| 设计水头 | 79.963 | 1172.4 | 0.9175 | -0.2846 | 0.0087 | 1.5906 |
| 最小水头 | 93.50 | 1194.4 | 0.894 | 0.0511 | -0.3936 | 1.1143 |
根据式(6)计算可得:设计水头工况点对应的临界稳定断面积F=1.5906Lf/2gα72.50=2408.2m2,而最小水头工况点对应的断面积F=1.1143Lf/2gα53.02=2306.9m2,即前者比后者大4.4%.此结果表明,在实际工程中最危险的稳定断面在一定条件下是完全有可能取决于设计水头,而不是最小水头.
4 结论
(1)水轮机特性对调压室稳定断面积的影响实质是水轮机效率的影响,尽管现有各种公式的形式有差别,但经过转换,可以统一表达.(2)用效率对单位参数的相对变化率来表达水轮机综合特性系数比较直观、方便,与传递系数方法相比,避免了开度插值带来的读数误差;与传统方法相比,避免了作辅助曲线的麻烦.另外,该方法最突出的优点是可以在水轮机模型综合特性曲线上直接分析、断定水轮机综合特性系数的变化.(3)在水轮机正常工作范围内,通常是设计水头到最小水头之间的5%出力限制线附近,水轮机综合特性系数较大.而对于中、高比速混流式水轮机,e的最大值往往落在设计水头与5%出力限制线的交点上.因此,从调压室临界稳定断面积而言,在一定条件下,增加水头的直接正面影响要比效率变化的负面影响小,甚至小得多.于是最危险的稳定断面不是取决于最小水头,而是设计水头.
参 考 文 献
1 寿梅华.有调压井的水轮机调节问题.水电技术,1991(7)
2 耶格尔 C.水力不稳定流.王树人,等译.大连:大连工学院出版社,1987
3 季盛林,刘国柱主编.水轮机.北京:电力出版社,1986
.
.
.
.
,
,
.
.
,
