潮流和波浪作用下悬移质挟沙能力的研究
摘要:本文将湍流猝发理论用于潮流与波浪共同作用下挟沙能力的研究。基于湍流猝发的时空尺度得到波浪和潮流作用下床面泥沙上扬通量,然后根据连续律,建立了平衡近底含沙量的理论表达式。进而根据波浪掀沙和潮流输沙的模式,推导得出了物理概念清晰和充分考虑床面附近泥沙交换力学机理的潮流和波浪共同作用下的挟沙能力公式,经过黄河口实测资料的验证,与实测符合良好。
关键词:湍流猝发 挟沙能力 波浪掀沙 潮流输沙
1 前言
长期以来,人们对床面附近泥沙交换的力学机理的认识并不十分清楚,即使对于较为简单的二维恒定均匀流,国内外学者处理其底部泥沙边界的方法亦有六类之多[1]。相比之下,潮流与波浪共同作用下的床面泥沙运动就更为复杂。正因如此,一般采用经验分析、因次分析、明渠水流挟沙能力公式的移植和能量平衡等方法建立潮流和波浪作用下的挟沙能力公式,以回避床面泥沙交换的微观机理[2]。床面附近的泥沙交换主要表现为重力作用下悬沙的沉积和床面泥沙颗粒在湍流运动作用下的上扬。以往传统的做法是采用扩散理论确定上扬的通量,即单位时间内穿过单位截面的扩散量应与浓度梯度成正比,等于浓度梯度与扩散系数的乘积,扩散系数的大小决定于产生扩散现象的原动力-涡体的脉动。在输沙平衡的情况下,在床面附近单位时间内穿过单位截面的上扬通量和沉降通量相等,则有
ωSb+εsdS/dz|z=-h=0 | (1) |
式中Sb为近底含沙量。
因此,要使潮流和波浪作用下的水流挟沙能力的研究得到较快,突破传统的扩散理论是十分必要的。近些年来,随着对湍流猝发现象研究的深入,加之泥沙起动的间歇性和突然性,使一些学者联系到湍流(或称紊动)猝发现象。自Sutherland[3]提出泥沙起动与湍流猝发有关的论点以来,湍流猝发与泥沙运动相互关系的研究发展迅速[4~12],主要是通过可视化的试验研究近床区湍流卷挟悬扬泥沙的机理。Jackson[13]通过野外观测分析,认为冲积河流中自由表面经常出现的沸腾状的浑浊水花是紊动猝发卷挟泥沙的具体表现。研究结果表明,床面泥沙的交换主要表现为紊动猝发作用下的泥沙上扬和重力作用下悬沙的沉降。截至目前,紊动猝发理论主要集中于水槽和河流泥沙运动的研究,较少用于河口海岸泥沙运动的研究。事实上,河口海岸地区由于波浪和潮流的作用,近底床面更易发生紊动猝发现象。因此,本文引入紊动猝发理论,研究波浪和潮流作用下床面泥沙上扬通量,然后根据连续律,当悬移质处于不冲不淤的平衡条件下,泥沙上扬与沉降通量相等的条件,建立平衡近底含沙量的理论表达式;进而根据波浪掀沙和潮流输沙的模式,推导得出了物理概念清晰和充分考虑床面附近泥沙交换力学机理的潮流和波浪共同作用下的挟沙能力公式。
2 平衡近底含沙量的确定
2.1 泥沙上扬通量
泥沙上扬通量为单位时间、单位床面面积从床面扬起的泥沙颗粒的总质量。曹志先[14,15]基于湍流猝发的平均时间、空间尺寸构造了可自由冲刷床面泥沙上扬通量函数,即
E=ρsπd3/6AN/TB | (2) |
式中E为泥沙上扬通量,kg/m2s;TB为湍流猝发的平均周期,s;A为单位面积内对泥沙颗粒上扬有贡献的湍流猝发的平均面积,无量纲;N为可冲刷床面单位面积内所包含的泥沙颗粒数,N可由下式计算[16]
N=6SVm/πd2 | (3) |
式中SVm为单位面积床面层的极限体积含沙量。黄河口床面淤积物中值粒径d50基本在0.01~0.05mm之间,本文SVm采用下式计算[17]
SVm=0.511+0.0357logd50 | (4) |
单位面积上使泥沙颗粒上扬的湍流猝发的平均面积A与单位面积上发生猝发的平均面积δ、湍流猝发对床面作用的剪切应力τb和床面泥沙临界扬动剪切力τe有关,则
A=δτb/τe | (5) |
对于泥沙颗粒比较细的河口地区,泥沙的起动往往是直接的扬动[18],因此,在这里用临界起动剪切力τk代替临界扬动剪切力τe,故
A=δτb/τk | (6) |
单位床面上的平均猝发面积由猝发的空间尺度确定。根据已有的单向流大量实测资料表明[19],猝发的平均流向尺度为40ν/u*(u*为摩阻流速,ν为水的运动粘滞系数),横向尺度为15~20ν/u*,相邻两个猝发带的平均流向间距为500ν/u*,横向间距为100~125ν/u*。考虑到波浪和单向流共同作用较单向流独自作用更易发生湍流猝发现象,故笔者取猝发的横向尺度的上限为20ν/u*,相邻猝发带的横向间距的下限为100ν/u*。因此,单位床面面积内的平均猝发面积为
δ=40×20/500×100=0.016 | (7) |
已有的大量实测资料表明近壁区的低流速带无因次间隔分布大致有相同的数值,即
TB+=TBu2*/ν≈100 | (8) |
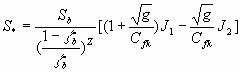
则 |
|
TB=TB+ν/u2* | (9) |
将式(3)、(6)和(9)代入式(2),整理后得床面泥沙上扬通量的计算式
E=ρsδ/νTB+dSVmu4*/u2*k | (10) |
2.2 平衡近底含沙量
在重力的作用下,单位时间内穿过近底边界单位面积的泥沙沉降通量可以表示如下
D=ρsSvbωs=Sbωs | (11) |
式中ωs为浑水中泥沙颗粒的沉速;Svb为近底体积含沙量;Sb为近底含沙量。
在河口地区,细颗粒泥沙在盐水中易于发生絮凝,因此,必须考虑絮凝的作用。如以ωs和ω分别代表絮凝团粒及单颗粒泥沙在水中的平均沉速,两者之比值F称为絮凝因子,根据我国河口淤泥沉降试验有如下关系[20]
F=ωs/ω=7×10-4d50-1.9 | (12) |
对于细颗粒泥沙在清水中的沉速一般采用Stockes公式计算
ω=1/18γs-γ/γgd2/ν | (13) |
在挟沙水流中,一方面悬移质中一部分泥沙沉落到床面,另一方面波浪和单向流又自床面掀起一部分泥沙呈悬移状态。在平衡挟沙的情况下,穿过近底边界的泥沙上扬通量与沉降通量相等,由式(10)和(11)得
Sb=ρsδ/νTB+dSVmu4*/ωsu2*k | (14) |
上式即为平衡近底含沙量的理论公式。
3 波浪和潮流作用下的挟沙能力公式
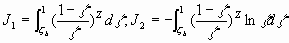
上面基于紊动猝发理论得出了平衡近底含沙量的理论公式,笔者进而根据相对含沙量沿垂线的分布关系可以得出沿垂线的平均含沙量,在平衡的情况下即是水流的挟沙能力。河口地区水深较浅,波浪具有强烈的掀沙作用,对近底含沙量作出了主要贡献。由于波浪为周期性振荡,掀起的泥沙主要在潮流的作用下输移。大量实测资料表明,潮流输沙过程中的含沙量沿垂线分布基本可以用Rouse公式表示
S/Sb=(h/z-1/h/b-1)ωs/ku* | (15) |
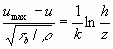
式中,b为近底某处距床面的距离,一般取b/h=0.01~0.05,这里取0.01;Z=ωs/ku*称为悬浮指标,实质上代表了重力作用与紊动作用的相互关系。悬浮指标越大,表示重力作用越强,含沙量沿垂线分布越不均匀;反之,悬浮指标越小,表示紊动作用越强,含沙量沿垂线分布越均匀。事实上,波浪的作用使含沙量沿垂线的分布趋于均匀,具体反映在悬浮指标的变化之中。在潮汐河口地区,除憩流附近的较短时间外,基本属于单向流。已有的实测资料表明[21,22]潮汐水流的流速分布可以用一般的指数或对数分布,这里采用卡门-勃兰德尔的流速分布公式
| (16) |
式中umax为垂线上的最大时均流速,κ为卡门常数,τb为床面剪切力。
由于τb=ρu2*=γ/C2fU2 将上式代入(16)式可得
| (17) |
式中ζ=z/h.
而
| (18) |
由式(17)和(18)可以得到
| (19) |
式(15)可以写成如下形式
S/Sb=[1/ζ-1/1/ζb-1]Z | (20) |
式中 ζ=z/h,ζb=b/h。
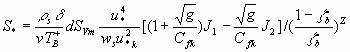
在平衡的条件下,挟沙能力公式由下式求得
| (21) |
将式(19)、(20)代入式(21)整理后得
| (22) |
令 |
| (23) |
将式(14)代入(23)即可得到挟沙能力公式
| (24) |
式(24)即为笔者推导得出的潮流与波浪共同作用下的悬移质挟沙能力公式,推导的基本思路与Einstein方法是一致的,所不同之处在于:(1)基于湍流猝发理论求解平衡近底含沙量Sb,考虑了床面附近泥沙交换的力学机理;(2)根据黄河河口波浪掀沙和潮流输沙的模式,在输沙平衡的情况下,推导得出式(24);(3)公式中的水动力因子(如u*)反映了波浪和潮流的共同作用。
式中,u*c为波浪和单向流共同作用下的摩阻流速;采用Bijker[23]的研究成果
u*=u*c[1+1/2(ζum/U)2]1/2 | (25) |
其中u*c为单向流的摩阻流速;U为垂线平均流速。
| (26) |
Bijker给出α=0.45,本文根据黄河口实测资料得到α=0.18。
um为床面波浪质点运动最大水平分速
um=πH/Tsinh2πh/L | (27) |
|
|
图1 波流作用下边界层阻力系数与雷诺数的关系 | 图2 挟沙能力公式(24)计算值与实测值的比较 |
目前,关于波浪和单向流共同作用下的床面泥沙起动剪切力的研究成果较少,往往是单独波浪或单向水流条件下的临界起动剪切力的计算。事实上,只要单向水流和单独波浪条件当中的任何一个条件已达到临界起动剪切力,那么波浪和单向流共存时必然能达到临界起动剪切力。已有的研究表明波浪作用下的泥沙临界起动条件也符合Shields曲线[24],临界剪切力可以表示为
τwk=1/2fwρu2mk | (28) |
式中umk为泥沙起动时床面水质点的最大水平分速;fw为摩阻流速,在波动紊流的情况下,Jonsson[25]根据实验数据分析得出Rew~fw的关系曲线(图1),其中Rew为振幅雷诺数,即
Rew=umka0/ν | (29) |
式中a0为波浪水质点在床面的振幅。
a0=H/2/sinh2πh/L | (30) |
根据Komar和Miller[26]的分析,波浪作用下床面泥沙的起动条件为
τwk/(γs-γ)d=0.275πfw(a0/d)1/4) | (31) |
为验证公式的可靠性,本文收集了黄河口附近海域自1984年以来的多次同步测量资料?[27~29],通过分析筛选出52组冲淤基本平衡条件时波浪与潮流共同作用水流泥沙现场资料,比较后可见,式(24)计算值与黄河口的实测资料符合良好(如图2所示),说明式(24)可比较真实地反映河口水域波浪和潮流共同作用下的挟沙能力。
4 结语
1.近年来湍流猝发与泥沙运动相互关系的研究迅速,多集中于水槽和河流泥沙运动的研究,较少用于河口海岸泥沙运动的研究。本文尝试将湍流猝发理论引入到潮流与波浪共同作用下挟沙能力的研究。从湍流猝发理论出发,基于湍流猝发的时空尺度得到波浪和潮流作用下床面泥沙上扬通量,然后根据连续律,当悬移质处于不冲不淤平衡条件下,泥沙上扬与沉降通量相等的条件,建立平衡近底含沙量的理论表达式。
2.河口地区水深较浅,波浪具有强烈的掀沙作用,是近底含沙量形成的主要动力。由于波浪为周期性振荡,掀起的泥沙主要在潮流的作用下输移。因此,基于紊动猝发理论得出的平衡近底含沙量理论公式,进而根据潮流输沙过程中含沙量沿垂线分布关系可以得出沿垂线的平均含沙量,在平衡的情况下,即得到潮流和波浪共同作用下的挟沙能力公式,经过黄河口实测资料的验证,与实测符合良好。
参 考 文 献
[1] 韩其为,何明民。论非均匀悬移质二维不平衡输沙方程及其边界条件。学报,1997,(1).
[2] 曹文洪,舒安平。潮流和波浪作用下悬移质挟沙能力研究述评。泥沙研究,1999,(5).
[3] Sutherland,A.J., Proposed Mechanism for Sediment Entrainment by Turbulent Flow. J.Geophys. Res.72,1967.
[4] Ashida,K. & Fujita,M., Stochastic Model for Particle Suspension in Open Channels. J.Hydrosci. Hydr.Engng.4,1986.
[5] Best,J., On the Entrainment of Sediment and Initiation of Bed Defects:Insights from Recants Developments within Turbulent Boundary Layer Research. Sedimentology 39,1992.
[6] Clifford,N.J.,French,J.R. & Hardisty J., Turbulence:Prospective on Flow and Sediment Transport. Chichester:John Wiley & Sons Lrd.,1993.
[7] Gry,A., Turbulent Flow over Smooth Erodible Sand Beds in Flumes. J. Hydr.Res.IAHR, Vol.35,No.4,1997.
[8] Kaftor,D.,Hetsroni,G. & Banerjee,S., Particle Behavior in the Turbulent Boundary Layer.Phys. Fluids,1995.
[9] Mao Ye, The Progress in the Study on the Interaction between Coherent Structures and Sediment Movements in Open Channel Flow. Proceedings of the Third International Conference on Fluid Mechanics,1998.
[10] Nino,Y. & Garcia,M.H., Experiments on Particle-Turbulence Interactions in the Near-Wall Region of an Open Channel Flow:Implications for Sediment Transport. J. Fluid Mech.Vol.326,1996.
[11] Rashidi,M.,Hetsroni,G. & Banerjee,S., Particle-Turbulence Interactions in a Boundary Layer. Int. J.Multiphase Flow,Vol.16,No.6,1990.
[12] Sumer,B.M. & Oguz,B., Particle Motions Near the Bottom in Turbulent Flow in an Open Channel. J. Fluid Mech.Vol.86,1978.
[13] Jackson,R.G., Sedimentological and Fluid Dynamics Implications of the Turbulent Bursting Phenomenon in Geophisical Flows. J. Fluid Mech.Vol.77,1976.
[14] 曹志先。基于湍流猝发的床面泥沙上扬通量。学报,1996,(5).
[15] 曹志先。泥沙数学模型近底边界条件I:平衡输沙。学报,1997,(1).
[16] Shen H.,Ackermann N.L.,Constitutive Relationship for Fluid-solid Mixtures。J.Eng.Mech.Div., ASCE,Vol.108(5),1982.
[17] 费祥俊。高浓度浑水的粘性。清华大学水电工程系,1981.
[18] 曹文洪。黄河河口海岸泥沙输移和演变机理及湿地变迁的研究。水电研究院博士,1999.
[19] 梁在潮。紊流力学。河南科学技术出版社,1988.
[20] 黄建维。粘性泥沙在静水中沉降特性的试验研究。泥沙研究,1981,(2).
[21] 李浩麟,朱元生。潮汐河口河床阻力研究。1973.
[22] 王尚毅。潮汐河口及海岸水流的挟沙能力。1973.
[23] E.W.Bijker. Littoral Drift as Function of Waves and Current. Proc.11th Conf. Coastal Engineering,1968.
[24] 钱宁,万兆惠。泥沙运动力学。科学出版社,1983.
[25] Jonsson,I.G., Wave Boundary Layers and Friction Factors. Proc.,10th Cong. Coastal Engin., Vol.1,1966.
[26] Komar,P.H. and M.C. Miller, Sediment Threshold under Oscillatory Waves.Proc.,14th Cong. Coastal Engin.,Vol.2,1974.
[27] 黄河口治理研究所,黄河新口门海域流场实测成果,1997.
[28] 青岛海洋大学河口海岸研究所,1995年汛期黄河口水文泥沙观测及室内分析原始资料汇编,1996.
[29] 黄委会东营水文水资源勘测实验总队,黄河口拦门沙同步水文泥沙因子测验资料,1993.








