山区河流卵石推移质的输移特性
摘要:通过对床面颗粒的受力分析,在岷江都江堰河段和青衣江姜射坝河段的实测资料基础上,导出了卵石推移质运动状态数与爱因斯坦的推移质运动强度函数的关系,能较好地反映四川山区河流卵石推移质时均输沙率与水沙因素的关系。用对数正态分布描述卵石推移质输沙率的随机特性,证明在95%的置信水平下是成立的。
关键词:泥沙 推移质 随机特性
1 前言
四川都江堰从公元前250年沿用至今,其成功经验是巧妙地运用了螺旋流凸岸排沙的原理和严格的岁修清淤制度[1]。进一步认识岷江都江堰河段卵石推移质的输移特性,对山区河流水能资源的开发将具有普遍意义。
我国西南地区的山区河流,坡陡流急,集流散流过程迅速,洪水猛涨猛落,水位流量变幅大,水流挟沙能力变化急剧,山区河流通常河谷狭窄弯曲,两岸地质构造发育,岩石风化破碎,构成河床的床沙多为砾石、卵石挟沙物质,颗粒粗,级配分布宽。这种宽级配床沙中的一部分,在水流作用下,沿床面滑动、滚动或在近床面跃移而形成推移质,这种卵石宽级配推移质输移具有与一般沙质推移质不同的输移特性,其输沙率与水流强度、来沙特性和床沙组成之间,形成相互反馈、错综复杂的关系。现有的推移质输沙率的研究成果多系根据室内水槽试验资料得出,且主要限于均匀沙,其中大部分属于1mm以下的中、细沙;难以正确反映卵石推移质运动的特点,由于卵石推移质输移过程的复杂性,许多现象,如宽级配床沙颗粒在床面的不同排列状况及其对输沙率的影响,输沙率在时间上的强烈脉动和在空间上的不均匀、不连续等,都很难在水槽中重演,这就必然使基于水槽资料所取得成果的实用性受到限制。为了逐步深入认识、卵石推移质的输移,除需要继续进行一些精心设计的、有创造性的水槽试验外,直接利用现有的水文测验部门花费了大量人力、物力取得的实测卵石推移质资料,来研究、阐明有关的问题,是十分必要的。本文用岷江都江堰河段1977年至1985年期间进行的20组共718测次和青衣江梯子岩水文站姜射坝河段1984年和1985年的89测次的实测卵石推移质资料,对卵石推移质输沙率与水沙因素的关系,输沙率的随机特性进行了初步探讨。
2 卵石推移质输沙率与水沙因素的关系
岷江上游流经高山峡谷,平均河床比降为8.2‰,至都江堰河段放缓至5~6‰,汛期断面平均流速在3m/s以上。都江堰河段的泥沙主要来自上游干支流,其间包括三迭纪地震区,岩体破碎,风化严重,粗颗粒丰富,推移质粒径范围为0.15~200mm[2]。按美国地球物会泥沙分类标准,都江堰河段推移质中的80%以上为卵石。
都江堰河段床沙级配曲线由中泓线处用坑测法测得,其最大粒径为510 mm,个别达700 mm,最细为0.15mm,级配宽达4个数量级。1973年都江堰河段汛后鲤鱼沱床沙的坑测结果,其表层全部由大于40mm卵石组成,次表层中的50%粒径小于40mm,说明河床明显粗化。
图1和图2分别为时均卵石推移质输沙率与断面平均流速和流量的关系。
|
图1 卵石输沙率与平均流速关系 |
|
图2 卵石输沙率与流量的关系 |
实测点散布成接近水平的带状,虽有输沙率随水流增强而增大的趋势,但同一流量或流速,相应的输沙率相差可达数十倍至数百倍。按生产部门常用的资料整编方法,输沙率与单一水流因素的关系可用指数形式表示
QS=aQb 或QS=cVd
式中QS为输沙率,Q为流量,V为断面平均流速,根据大量实测资料分析,都江堰河段的指数b=10~20、d=14~34;姜射坝的b=12、d=20,过高的指数值表明,以推移质输沙率与单一水流因子建立关系,不能正确反映卵石推移质的复杂运动规律。下面,通过对床面泥沙颗粒的受力分析,导出一个包含水流条件和泥沙颗粒特性的表征卵石推移质运动状态的无量纲数。
水流作用于床面颗粒顺水流方向的拖曳力
F1=Cdad2ρU2d/2=CdA1ρU2d/2
水流作用于床面颗粒垂直水流向上的上举力
F2=Cρad2ρU2d/2=CρA2ρU2d/2
泥沙颗粒的水下重
W=a3g(ρs-ρ)d3
床面对泥沙颗粒的摩阻力
F3=f(W-F2)
以上ρ、ρs分别为水及泥沙颗粒的密度,Ud为作用于颗粒顶部的流速,Cρ为上举力系数,d为某组床沙的粒径,A为颗粒的迎流面积,a为颗粒的面积形状系数,a3为颗粒的体积形状系数,f为摩阻系数。
泥沙颗粒沿床面运动的临界条件为F1=F3,即
aCdd2ρU2d/2=fa3g(ρs-ρ)d3-fad2CρρU2d/2
于是
U2d/g(ρs-ρ/ρ)d=2fa3/2Cd+faCρ
令上式右部为N
则
U2d/g(ρs-ρ/)d=N | (1) |
用指数流速分布公式表示式(1)中颗粒顶部流速Ud,并取指数值为1/6,即可从式(1)得到一个包含平均流速V,水深h和床沙颗粒直径d在内的,表示泥沙运动状态的无量纲数
N=ρ/ρs-ρV2/gd2/3h1/3 | (2) |
爱因斯坦推移质运动强度函数为
Φ=gb/esg(e/ese)1/2(e/gds)1/2
使N与爱因斯坦的推移质运动强度函数Φ建立相关,用青衣江梯子岩姜射坝河段1984和1985年的89组现场实测资料建立Φ与N的关系,经回归分析,得到
Φ=0.000129N6.92 | (3) |
相关系数r=0.923,图3为(3)式与实测资料的对比,其关系比前述输沙率与单因子间的关系有显著改善,指数降低,相关系数提高,尽管如此,与沙质推移质已有的成果相比,上述N~Φ关系仍不能令人满意。卵石推移质输移规律的复杂性,和传统的确定性分析方法提出了挑战。[3,4]已注意到这一问题。
|
图3 Φ-N关系图 |
3 卵石推移质输沙率的随机性
为了研究卵石推移质输沙率的脉动特性,都江泥沙试验站于1977至1985年期间,在岷江都江堰河段共进行了20组共718次原型采样试验,试验采用MB—2型卵石推移质采样器,每组试验重复取样30至50次。同一组试验的每次采样历时相等,不同组的试验,其采样历时按输沙控制在0.5至6分钟范围内,同一级试验要求在4小时内观测完毕,其相应水位变幅不超过0.05m,可视为水流条件不变。 图4给出了1983年9月15日实测输沙率过程,可以看出,输沙率在相同的水流条件下,变幅很大,20组观测资料表明,卵石输沙率的脉动率可达时均值的5~25倍。 |
|
这里,输沙率的脉动率定义为
β=qbmax-qbmin/ |
其中qbmax,qbmin和 |
以上统计参数表明,卵石推移质输沙率的变差极大,统计分布分散,呈现明显的随机性质。构成宽级配卵石推移质输沙率随机性的物理力学成因十分复杂。如果将推移质输移过程,看作是水流条件、床沙组成和输沙率这三者间的相互作用[5],则这三个方面的每一方面,无不包含着一些随机性的影响因素。例如,因水流的脉动,水流对床沙的作用力是随机的。对于宽级配的床沙,不同数量级粒径的颗粒在床面相互位置的分布、排列是随机的,从而表征它们之间相互影响的隐蔽作用、嵌固作用和暴露度也是随机的。迄今为止,人们对涉及卵石输移过程的若干因素间错综复杂的影响机理尚知之不多。已有的研究,比较集中于探求水流条件对输沙率的影响,而对宽级配床沙组成本身的复杂情况及其对输沙率的影响还研究得不多,用数理统计的方法去处理这一问题,仍不失为一种生产适应的方法。
设对卵石推移质输沙率影响的诸因素为一随机变量系列ζn(n=1,2,…)。则输沙率qb与系列ζn的关系可记为
qb=ζ1·ζ2ζn
对上式取对数可得
lgqb=Σlgζn
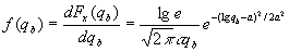
根据概率论中心极限定理,由诸微小而独立的随机因素引起并累积而成的变量,必将是一个正态随机变量[6]。由此导出1gqb服从正态分布N(a.σ),即qb服从对数正态分布,qb的概率分布可记为
| (4) |
令 | (5) |
关于卵石推移质输沙率服从对数正态分布,a合检验法予以证明。结果表明,用对数正态分布描述卵石推移质输沙率的统计,在95%的置信水平下是成立的,图4给出了1983年8月24日和9月15日的两组试验的理论分布与实测点,其符合程度较好。
4 结语
1.由于卵石推移质级配宽,颗粒大,室内试验范围难以达到,因此充分利用水文站实测资料研究其输移特性是有工程意义的。
2.卵石推移质输沙率与水流强度,来沙特性和床沙组成间的关系,错综复杂,卵石推移质输沙率与各种习用的单一水流因素之间相关不佳。本文导出的无尺度卵石推移质运动状态数N与爱因斯坦的推移质运动强度Φ所建立的指数关系(系直接根据实测资料)可明显改善相关关系。
3.用对数正态分布描述卵石推移质输沙率的随机特性,在95%的置信水平下是可以成立的,理论分布和实测资料符合较好。
[1] 施嘉炀。水资源综合利用。水电出版社, 1996, 29-30.[2] Duo F., Cao S., Zhang Z.. Transport characteristics of gravel bed-load with a wide size distribution. Proc. 4th Int. Symp. on River and Sedimentation, Water Resources Press 1989, 498-505.
[3] Hua Guoxiang, Chen Yuanxin. Sediment problems at Dujiangyan Diversion Works, proceedings of the International Symposium on River Sedimentation, March 24-29,1980. Guanghua Press.
[4] 谭颖。河道输沙率的紊动。泥沙研究, 1982,(4).
[5] 钱宁, 万兆惠。《泥沙运动力学》。出版社,1983年。
[6] 复旦大学数学系。《概率论与数理统计》。上海科技出版社, 1978,3.



