水流含沙量对磨蚀的影响
摘要:在前人研究的基础上,分析了含沙量对磨损和气蚀的影响,提出了由湍流猝发现象而引起的扫荡磨损的概念,认为含沙量的增加将增加星度微切削破坏作用和扫荡磨损,降低单颗粒泥沙的破坏作用;含沙量小时促进气蚀,而含沙量大时则制约气蚀。提出了临界含沙量Scr?有可能不存在的情况,解释了[1]、[2]的结论。
关键词:磨蚀 扫荡磨损 气蚀 紊动
我国河流中大多数含有泥沙,有的含沙量很大。如著名的黄河干流多年平均含沙量达37kg/m3,长江含沙量较少,上游多年平均含沙量约为1.7kg/m3,输沙量大多集中在每年6~9月的洪水期,当挟沙水流以较高的流速流经泄水或排水建筑物时,将对闸门槽、底板、泄洪排沙底孔、溢流面等造成磨损,严重者直接危害到建筑物的安全,造成很大的损失,故对含沙水流的磨蚀进行研究很有必要。 |
|
目前,对于水流含沙量对磨损的影响理论上的研究还很不成熟,主要靠实验的手段来加以研究,不同的学者采用不同的方法在这方面做了许多研究,但他们的结果很不一致,有的甚至是相互矛盾的。水电研究院在各种空化试验设备上如水洞、转盘仪和磁致伸缩仪上进行的试验,以及采用黄河沙和塑料沙进行的空化和磨蚀试验发现,在含沙量小时,含沙量的增加对空化和磨蚀起促进作用,在含沙量大时,含沙量的增加对空化和磨蚀起制约作用(如图1),在两种相反作用之间存在一称为临界含沙量Scr的转变点[1]。而清华大学在二元文丘里管中,采用黄河小浪底河滩的天然砂做的试验研究表明,混凝土等脆性材料的平均磨蚀率均随水流含沙量的增大而增大,并没有明显的峰值[2](如图2)。 1 含沙水流的冲磨机理 |
|
含沙水流的磨蚀,属于水沙二相流问题,水流中的沙石之所以能造成材料的磨损,是由于水流中的沙粒具有足够的动能,它所具有的能量来源于挟沙水流,当沙粒冲磨固体壁面材料时,把一部分或全部能量传给壁面材料,在材料表层转化为表面变形能从而造成材料的磨损。
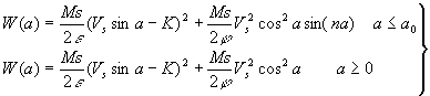
1960年J.G.Bitler通过研究认为:金属材料的磨损是垂直变形磨损和水平微切削磨损的叠加——复合磨粒磨损。他的过于复杂的公式经J.M.Neilson和A.Gildrist简化后,得到如下冲磨函数。
| (1) |
式中 W为冲磨失重(g);Ms为磨粒质量;Ms=Ws/g(kg/m/s2);g=9.8m/s2;Ws为磨粒重量(kg);Vs为沙速(m/s);α为冲角。临界冲角α0=π/2n;n为水平回弹率因素(无量纲);ε为冲击变形磨损耗能回数(kg.m/g);φ为微切削磨损耗能回数(kg.m/g);K为临界磨损沙速(m/s)。
他们对柔性金属软钢、铝等所做的磨损实验,发现其磨损曲线上有一个低冲角的微切削磨损高峰。而在对岩石、玻璃等脆性材料的磨损实验中,发现这些材料的磨损是单纯的冲击变形磨损。
白福来等对冲磨机理的研究表明,对同一种材料而言,冲角的大小决定着冲磨破坏的机理,在高速挟沙水流中,冲角小,以微切削破坏为主;在流速较小,大粒径滚跳磨损的场合,冲角大,以冲击变形磨损为主[3]。
高速含悬沙水流应属于小冲角的微切削破坏,这种水流由于紊动强度大,其含沙量沿垂线分布可看作均匀分布,所以随着含沙量的增加,对过流表面材料磨损的沙粒也应相对增加,磨损强度也应随之增大。
2 湍流的拟序对磨蚀的影响
早期的湍流边界层理论认为贴近壁面处的流动是层流,并称之为层流底层,自从50年代以后美国Stanford大学的湍流学派认为层流底层触发湍流的重要区域,粗糙壁面可能不存在层流底层。当底层出现条带后,边界层的速度剖面逐渐发生扭曲,条带逐渐升起,当速度剖面扭曲相当严重时,由于流动不稳定性流场发生振荡并产生强烈的展向涡,最后强烈的振荡把条带打碎产生极大的脉冲,称为猝发现象。伴随猝发一部分底层流体向外抽出将强烈湍流脉动输送到外层,与此同时,由于流动的连续性,外层一部分流体卷向底层,这种补充的水体受到压力波的加速作用,以与边壁成5°~15°的微星度扫荡底面,并略带侧向推挤[4]。其示意图见图3。
含沙高速水流每次发生猝发现象时,必然造成一次扫荡底流挟带悬沙对边壁的5°~15°的微星度磨损,这种磨损现象属于微切削磨损,这是由于猝发现象所引起的高速流团向壁面的扫掠而造成的猝然加剧的磨损,本文将其称为扫荡磨损。由于至今仍无水流含沙对猝发现象影响的研究报告,我们仍可按照湍流理论关于猝发现象的研究结果,认为这种猝发性的扫荡磨损现象也是随机的,由于猝发现象与紊流的拟序有关,因而,扫荡磨损的特性也与含沙水流的紊流拟序有关,猝发性的扫荡磨损必然随水流含沙量的增加而增加。 3 泥沙含量对水流紊动性的影响 |
|
一般来说,当水中存在泥沙时,其粘性增加。当含沙量较小时,如体积比含沙量在10%以下时,含沙水流将保持牛顿流体的特性。此时由于沙粒之间的距离较大,某一颗粒到达另一颗粒所在位置时,前一颗粒的影响已可被忽略;所以对于任一点水流来说,泥沙的存在对它的影响可以看成是附近所有沙粒在该点所产生的独立影响的代数和,爱因斯坦推导出如下公式[5]
μr=1+2.5Sv | (2) |
式中 μr为相对粘滞系数,即浑水粘滞系数与同温度清水粘滞系数的比值;Sv为体积比含沙量。
若含沙量Sv=10%,则浑水粘滞系数将增加25%。若含沙量比较大,浑水还可能从牛顿流体转变为宾汉体,此时其相对粘滞系数则由下式表示
μr=(1+2.9Sv)-2.5 | (3) |
若含沙量Sv=11%,则μr=2.6,粘滞系数比清水增加了1.6倍,增加是很显著的。
水流紊动的生成,与耗散过程也就是水流中旋涡的形成,发展与碎裂过程。水流的粘滞性既影响旋涡的生成与发展,也促进旋涡的磨灭,消亡,所以粘滞性的增加将降低水流的紊动强度。拜格诺(Bagnold.R)在水槽中进行的试验[5],试验用砂粒粒径为1.36mm比重为1.004,模型沙为石蜡—铅球粉。随着含沙量的增加,紊动强度愈受制约,当体积比含沙量为25%时,不规则的紊动现象逐渐被规则的副流所代替,当体积比含沙量达30%时,紊动已显著减弱,当体积比含沙量达到35%以上时,紊动及副流现象均已消失。这一试验充分证明,含沙量的增加将降低水流的紊动强度。
4 泥沙含量对空化空蚀的影响
当含沙量增加时,紊动强度降低,脉动压力减小,根据在水洞中垂直升坎空化影响试验的结果可知,脉动压力减小时,初生空化数也减小,初生空化数按下式表示
k=P0-Pv/ρV20/2 | (4) |
式中 P0为试件前无干扰处的压力;Pv为相应水温下的饱和蒸气压力;V0为试件前无干扰处的流速;ρ为液体的密度。 图4为刘一心在循环水洞中的试验得出的初生空化数和泥沙含量的关系曲线[7],从中可看出,泥沙含量S对初生空化数有两种相反的作用,当含沙量较小时,它促进空化提前发生,这可能是由于泥沙引起气核变化的影响大于它对紊动强度影响作用的缘故,与此相反,当泥沙含量较大时则制约空化的发生。 |
|
5 结论
泥沙含量对磨蚀的影响是非常复杂的,特别是高速含沙水流,空化空蚀和磨蚀常相伴发生并相互影响,综合上述分析可得出以下结论:
1.随着水流含沙量的增加,小冲角的微切削破坏作用也相应增加。
2.随着水流含沙量的增加,由猝发现象而引起的扫荡磨损增加。
3.当水流含沙量相当大时,水流的粘滞性明显增加,紊动强度明显减弱,由紊动传递给单颗粒泥沙的能量减少,从而使单颗粒泥沙的破坏作用减轻。
4.随着水流含沙量的增加,当含沙量较小时,沙粒所带气核对空化空蚀的影响大于沙粒对脉动压力的影响,此时促进空化空蚀;而当含沙量较大时则相反,从而制约空化空蚀作用。 所以当含沙量较小时,随着含沙量的增加,空化空蚀和磨蚀都不断增加,此时泥沙对磨损起促进作用,而当泥沙含量较大时,随着含沙量的增加若它对1、2两项的影响仍大于对3、4两项的影响则继续表现为促进磨蚀,[2]中的试验属于此类情况,尚未发现临界含沙量;若它对1、2两项的影响在某一含沙量时小于对3、4的影响,则表现为抑制磨蚀,此含沙量称为饱和含沙量Scr,文献[1]中的试验属于此类情况。但Scr与水流条件、泥沙特性和壁面材料等有关,且泥沙含量对各种作用的影响仍无定量的结论,故尚不能确定Scr的大小,须进一步研究。特别是南方山区潮河流,悬移质泥沙含量往往很小,可能远小于临界含沙量,因而,含沙量的增加总是使磨损加剧。
参 考 文 献
[1] 程则久。空化和磨蚀中临界含沙量的试验研究。水电技术。1990,(2).
[2] 黄继汤,田立春,李玉柱。在清水及挟沙水流中混凝土等脆性材料抗磨蚀性能的试验研究。水电技术。1985,(9).
[3] 白福来,李亚杰,傅智。高速挟沙水流对建筑物的磨损机理及估算。人民黄河。1987,(1).
[4] 是勋刚。湍流。天津大学出版社。1994年。
[5] 钱宁,万兆惠。泥沙运动力学。出版社。1983年。
[6] 窦国仁。紊流力学(上册).人民出版社。1981年。
[7] 刘一心。悬移泥沙对水流空化状态的影响。学报。1983,(3).




