曹娥江低潮位序列突变成份分析
摘要:本文提出了动态分维数的方法,并应用此方法对曹娥江低潮位序列中的突变成份进行了分析。结果表明,文中所用的方法对识别人为或因素引起的潮位时间序列中的突变成份是有效的,具有一定的实用价值。
关键词:动态分维数 时间序列 河床演变
1 前言
水文时间序列一般由确定成份和随机成份组成,暂态成份属确定的非周期成份,它包括趋势、跳跃、突变等成份,突变可看作是跟踪跳跃的一种特殊情况。潮位时间序列和其它水文要素时间序列一样,也往往是由两种或两种以上的成份合成的序列,如何识别序列中长时间的动态变化特征,识别其突变成份则可分析不同时期序列变化程度,揭示其突变性,借以分析导致变化的过程和原因,是研究时间序列机制的重要内容之一。本文提出了动态分维数的计算方法,并将此方法应用于曹娥江低潮位序列分析,求得了序列的突变点,经合理性分析和成因分析表明,动态分维数对于进行序列分期,识别序列中的突变行为具有简单实用的特点,对于了解序列变化情况和分析导致该变化的过程、原因,进行预警分析具有实际意义。
2 突变成份分析
随着时间的增长,对于潮位序列中各均值来说,或是增加或是减少,造成序列长期向上或向下缓慢地变动,这时序列的任何参数都将随着时间增长,呈现系统连续地递增或递减的变化,这种有一定的变化叫趋势。趋势存在于序列的任何参数中,如均值、方差、自相关系数等,对于实际时间序列多在均值中寻找其趋势成份。而突变是指时间序列急剧变化的一种形式,即从某时间起序列前后时段总体水平发生急剧变化,从一种状态过渡到另一种状态(如陡升或陡降)。时间序列出现突变成份,其成因与趋势成份的出现基本一致,是由人为的或自然的原因引起。突变成份一般也出现在序列均值、方差等统计量中,实际上多在均值中寻找突变成份。识别序列中长时间的动态变化特征,识别其突变成份则可分析不同时期序列变化程度,揭示其突变性,借以分析导致变化的过程和原因,为河床演变分析提供依据。
判断突变成份是否存在,传统的作法是采用分割的方法进行检验,即先找出分割点,然后用有关方法检验分割点前后两个序列是否一致,以此判断时间序列中突变成份的存在与否。本文采用动态分维数来求序列的临界点(突变点),并以此来进行序列分期和统计分析。
2.1 动态分维数Dft
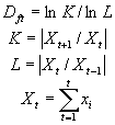
分形几何[1]指出,客体在单位时间内由于自身的而填充空间的能力称为空间维数,反过来,客体在单位空间内填充时间的能力可称为时间维数(至今尚无人研究此问题),因此,可在保留时空经典维数(拓扑维数),即整数坐标的前提下,扩展运动客体的维数,如豪斯道夫维数、相似维数、关联维数、信息维数、容量维数、李雅普诺夫维数、复维数、模糊维数等。目前所研究的这些整数维数和分数维数都是静态维数,即不考虑时间t的因素,如果在维数计算公式中引入了时间t因素,所求出的维数是随时间t而变化的,这样的维数称为动态维数,它描述了事物的发展变化规律。为此,本文以豪斯道夫分维数为基础,将时间因素引入其计算公式,求得一维动态豪斯道夫分维数Dft
| (1) |
式中 x0、x1、x2...是时间序列Xt-1、Xt、Xt+1…是生成序列[2],Dft为动态分维数,它描述了事物发展的否定之否定规律,其中,K为“肯定性”,L为“否定性”,利用Dft可以判断出系统的临界点,从而将序列分期,揭示其动态变化规律。
2.2 应用实例
2.2.1 序列分期
曹娥江(图1)是浙江省的八大水系之一,分析清楚曹娥江的河床演变对曹娥江的规划、整治具有重要的指导作用。在曹娥江河口,由于地形资料的缺乏而常通过分析低潮位的变化来分析其演变。曹娥江的潮位代表站为桑盆殿站,其潮位观测资料较详尽的记录起自1956年,至今已达40余年,潮位记录综合反映了系统各影响因素的综合作用和演变情况,其间由于人类活动、自然活动的影响使时间序列的一致性遭到破坏,需分期分段进行描述、统计、分析。经计算表明,常用的分割法难以较客观地进行序列分期,从而难以较客观地描述曹娥江的演变过程。为此本文采用动态分维数的方法,对曹娥江低潮位序列进行突变分析,经计算发现分维数大于1的点共有7个(1964、1970、1977、1979、1985、1994、1996),其中与周围相邻点相比较差距较为明显的点有四个(1964、1970、1985、1996),即序列具有四个较显著的突变点(图2),对应的分维数分别为1.04, 1.16,1.12,1.05。因此可根据这些临界点对桑盆殿低潮位分期统计如表1所示: 由表可见在第一、三时期多年平均低潮位与多年平均低潮位较为接近,差距在0.1m左右,第二时期低潮位较低,低于多年平均水平0.3m,而第四时期有较大幅度增高,年均低潮位增高约0.5m,最高低潮位则增高了1m。
|
|
表1 分期潮位统计 | ||||||||||
| ||||||||||
时期 | 一 | 二 | 三 | 四 | 全期 | |||||
年限 | 1956~1963 | 1964~1969 | 1970~1984 | 1985~1995 | 1956~1997 | |||||
梅汛(4~7) | 4.41 | 4.27 | 4.45 | 4.99 | 4.57 | |||||
台汛(8~10) | 4.52 | 4.34 | 4.62 | 4.81 | 4.59 | |||||
多年平均低潮位 | 4.43 | 4.26 | 4.52 | 4.97 | 4.59 | |||||
最高低潮位 | 6.14 | 6.04 | 6.31 | 7.41 | 7.41 | |||||
出现时间 | 1959.4.12 | 1965.5.4 | 1974.8.20 | 1989.5.24 | 1989.5.24 | |||||
钱塘江主槽位置 | 北 | 南 | 中、南 | 中、北 |
| |||||
2.2.2 合理性分析
由动态分维数求得的临界点反映了不同时期的潮位变化规律,计算表明曹娥江低潮位序列存在较为明显的四个突变点,分期统计特征反映了序列中长时间的动态变化规律,这与整个系统的演变情况相一致,特别是与尖山河段主槽的演变[3]相吻合(表2)。1963年前,山水较丰,钱塘江主槽走北, 1964年后,山水较枯,主槽南摆,因而1964年成为一个临界点是合理的;1969年洪水大潮使北沙裁通后,尖山河段主槽由极南转为极北,且在此之前尚未开展大片围涂,而在1970年后,钱塘江流域开始开展了大规模围涂整治,因此1970年成为一个临界点也是合理的。在1970~1984年这段时间内,尖山河段处于自我调整的动态平衡时期。1970年以后,钱塘江主槽经历了二次南摆后又复北移,在此时期内河口大片围涂已成(中间存在两个临界点1977、1979),1978年后,钱塘江主槽又经历了一次南北摆动过程,于1979年开始主槽走南,河口段围涂不多,至1985年萧山“八六丘”围成,钱塘江主槽走北,所以1985年为一临界点也是合理的。1996年钱塘江北岸海宁段开始淤涨,海宁趁机围涂,主槽开始南移,南岸绍兴、萧山围涂困难,因而1996年也是一个临界点。在上述突变点中,动态分维数最大的是1970年,其次是1985年,这主要是由于1970年起,钱塘江流域开展了大规模的围涂整治工程,从而使1970年成为一个显著的围垦前后的分界点;而1985年萧山“八六丘”的围成,又大大地改变了江道的平面形态及其走势,硬边界的约束使钱塘江主槽基本维持了走中偏北的河势直至1996年北岸围涂使河势重新调整,因而1985年也成为一个较为明显的分界点。由此可见,由动态分维数所求得的临界点在宏观上基本对应于钱塘江主槽的演变,因此,曹娥江低潮位主要受控于尖山河段主槽的变迁。
2.2.3 成因分析
一般说来,决定河床演变的因素有来水来沙、边界条件和侵蚀基面[4],决定河道中某站潮位的主要因素有:下游潮汐、上游山水流量、河道地形及水力摩阻等。具体对曹娥江而言,它们彼此间相互有影响或受外界条件的影响。如河道地形因山、潮水比值的消长而有变化,也会引起河道阻力的某些改变;而下游的潮汐不仅取决于外海潮汐的强弱,更受制于钱塘江主槽摆动所引起的口外地形的变化状况。因此决定低潮位的边界条件有:曹娥江上游流量、钱塘江主槽的低潮位、曹娥江出口至钱塘江主槽(0m线)的水道长度、曹娥江水流出口方向及口外滩面宽度。其中钱塘江主槽的演变反映了外海潮汐的强弱,又反映了尖山河段的冲、淤特性,控制了钱塘江主槽的低潮位;另一方面,曹娥江口外滩地宽度、出口方向和出口水道长度均反映着曹娥江口门离钱塘江主槽的距离,反映了口外滩面消长所带来的影响,控制了出口河道比降,因此钱塘江主槽事实上起着侵蚀基面的作用,决定了曹娥江低潮位的变化规律,从而也决定了曹娥江口门的基本演变规律,虽然它还同时受曹娥江径流的影响。
3 结论
低潮位序列也象其它水文序列一样,存在暂态成份的可能性,并可用时间序列理论、方法加以分析。表明,曹娥江低潮位序列存在较为明显的四个突变点,可以分期进行统计分析,不同时期统计特征反映了序列中长时间的动态变化,揭示了曹娥江河口的演变主要取决于钱塘江主槽的演变。
表2 钱塘江主槽分期演变情况 | |||
Evolvement for main channel of QianTang river | |||
分期 | 起讫年限 | 特征值 | 钱塘江注槽演变情况 |
第一时期 | 1956~1963 | L=17~22 | 山水较丰,主槽顺直偏北,潮差大,潮量多,有利于维持偏北顺直河势 。 |
第二时期 | 1964~1969 | L=8~13 | 山水连续偏枯,主槽南移,北沙渐涨,潮量渐减少,1966年后山水转丰,但未能裁通或冲刷北沙使江道趋直,仅对北沙西侧剥蚀,促使主槽呈S形继续南移,北沙不断淤涨,潮量大幅度减少。 |
第三时期 | 1970~1977 | L=16~22 | 1969年夏秋北沙裁通后,1970年起渐北移,本时期内山水均较丰,平均309亿m3,主槽偏北潮量也增多,但由于大片围涂缩窄,比1956~1962仍较少。 |
1978~1984 | L=15~19 | 由于1978、1979二年山水特枯,主槽南移,1983年山水虽丰(391亿m3),仅削北沙西侧,主槽维持偏南,潮量减少。 | |
第四时期 | 1985~1989 | L=20~23 | 1985年起,萧围86丘地区渐淤沙,1986年主槽北移,南沙淤,涨潮量与前期大致相当。 |
1990~1993 | L=22~25 | 主槽偏北,中沙与南股槽发育。 | |
1994~1995 | L=23~25 | 南股槽出现淤涨,逐渐萎缩。 | |
1996~ | L=18~21 | 山水偏枯,南股槽逐渐萎缩并围涂,海宁围涂、主槽南靠。 | |
*注:1、距离L为曹娥江三江闸至钱塘江主槽距离(km),2、流量Q为曹娥江控制站花山站年均流量(m3/s). | |||
[1] 谢和平等编译。分形几何。重庆大学出版社,1991.
[2] 邓聚龙。灰色控制系统。华中工学院出版社,1985.
[3] 赵雪华等。曹娥江出口水道整治工程初步规划。浙江省河口海岸研究所,1989.9.
[4] 谢鉴衡(主编)。河床演变与整治。电力出版社,1988.


