高浓度固液两相流中泥沙分布的修正公式
摘要:本文在过去低浓度固液两相流动理论研究的基础上, 提出了对高浓度固液两相流中泥沙浓度分布的一个修正模型,模型的预测结果与有关实测数据较为吻合。
关键词:高浓度固液两相流 修正 浓度分布
1 前言
迄今为止,关于固液两相流中颗粒浓度分布的研究已有很多,人们提出了许多理论和公式 (Rouse, 1937; Itakura & Kishi, 1980; Hunt, 1954)。其中,倪晋仁和王光谦(1989)提出的统一公式,能较好地概括各种公式。实际上,实测结果多数表现为两种浓度分布,其中一种是人们较为熟知的底部浓度最高而顶部浓度最低的分布模式; 另一种则是容易被人们忽视的,即最大浓度出现在底部以上的分布模式。采用常规的理论将很难解释上述两种浓度分布模式的存在。迄今为止,几乎所有的理论都无法定量来描述它们,这意味着我们必须采用新的方法来描述它们。为此,Wang & Ni (1991)采用动理论方法求解了低浓度两相流中的泥沙浓度分布。由于问题的复杂性,过去对于高浓度情形进行的理论研究相对较少。在已有的少数研究中,Bagnold (1954) 的研究和Michalik (1973)的工作是很有价值的,这也为以后的研究奠定了基础。
2 修正模型
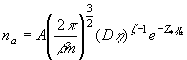
通过类比气体分子运动理论中的相关处理方法,固体颗粒的运动可用Boltzmann方程描述。这样,单位体积的颗粒数沿垂向的分布公式可表示为(Wang & Ni, 1991)
| (1) |
其中A为未知参数;β是与Lagrange算子有关的参数;ζ,Z*为与水沙运动特征相关的参数。注意到
| (2) |
| (3) |
| (4) |
??其中?
| (5) |
| (6) |
| (7) |
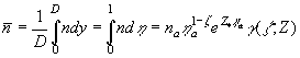
在上述各公式中,ηa代表垂线上参考点的相对坐标;η=y/D,相对高度; D, 特征长度尺度,对于封闭圆管D为管道内径,对于矩形断面的管道D=h (h为水深的一半)。对(1)式求导并令其为零,可以得到垂线最大颗粒数对应的相对坐标
ηm=(ζ-1)/Z* | (8) |
这意味着最大浓度的分布位置取决于ζ和Z*。当ζ=1时,垂线最大颗粒数的位置对应于床面, 这时浓度分布为II型; 对于较大的ζ来说,垂线最大颗粒数的位置在床面以上, 这时浓度分布为I型。在悬移质运动研究中,我们知道Z与ω/U*成线性关系。 ζ是ρf/ρp和d/D的函数。这里Z*与通常所说的悬浮指标Z类似,尽管它们的确切含义不尽相同。对于低浓度固液两相流,Z*和ζ可表示为
Z*=5(ω/U* | (9) |
| (10) |
其中ω是颗粒的沉降速度;d为颗粒直径,ρf,ρp分别为液相和固相的密度;U*为摩阻流速。
对于低浓度水沙流来说,固体颗粒间的作用不太明显,泥沙的悬浮主要依靠水流的紊动作用;对于高浓度水沙流来说,固体颗粒间的作用变得越来越显著,因此必须对反映颗粒所受上升作用的参数ζ进行修正。根据Bagnold (1954) 的理论,颗粒间的作用可通过以下参数λ0来反映
| (11) |
其中
是颗粒的平均体积浓度;Cvm是固液两相流的最大可能浓度,一般取为0.74。对于高浓度流动情况,可将参数ζ进行相应修正, 如根据实测资料将之修正为?
| (12) |
便可结合以上各式得出高浓度固液两相流垂向浓度分布的修正模型。
3 模型的验证
为对现行模型进行验证,我们采用了Michalik(1973)的高浓度固液两相流的实测数据。Michalik采用的固液混合物由沙 (ρp=2.65g/cm3)和水(ρf=1.00g/cm3)组成,平均流速 |
| (13) |
结合Nikuradse公式
| (14) |
通过迭代,得出λb=0.0121或U*=0.0389, 通过给定的参数,可以给出计算的浓度分布,计算值与Michalik实测数据的比较如图1。由于目前很难十分精确地从理论上来描述高浓度固液两相流,并且由于测量上的困难,所以图中所示的分析解和实测值存在的差异应该是可以容许的。 4 结论 固液两相流中颗粒运动的动理论为低浓度和高浓度的两相流研究提供了很好的理论基础。对于高浓度的情况,必须对其依据的低浓度模型进行修正。修正后的模式与实测结果较为吻合。 |
|
参 考 文 献
[1] BAGNOLD, R.A. (1954), Experiments on A gravity-free dispersion oflarge solid spheres in Newtonian fluid under shear, Proc., Royal Soc. London, Ser. A, 225,49-63.
[2] CHAPMAN, S. & COWLING, T.G. (1970), The Mathematical Theory of Non-Uniform Cases, 3rd ed. Cambridge University Press.
[3] Hunt, J.N. (1954), The turbulent transport of suspended sediment in openchannels, Proc. R. Soc. London, 224(1158), 322-335.
[4] Itakura, T. & Kishi (1980), Open channel flow with suspended sediments, Jour. of Hydraulic. Div., Am. Soc. Civ. Eng., 8,1325-1343.
[5] MICHALIK, A. (1973), Density patterns of the inhomogeneous liquids in the industrial pipelines measured by means of radiometric scanning. La Houille Balanche, No.1, 53-59.
[6] NI, J.R. (1989), A generalized formula on the vertical distributions of suspended sediment concentration, the Fourth International Symposium on River Sedimentation, November 1-5, China, 603-610.
[7] 倪晋仁, 王光谦。论悬移质泥沙浓度垂线分布存在的两种类型及其产生原因。学报, 1987,(7): 60-68.
[8] OWEN, P.R. (1969), Pneumatic transport, Jour. of Fluid Mechanics, London39, 407-432.
[9] WANG, G.Q. & NI, J.R. (1991), Kinetic theory for particle concentration distribution in two phase flow, Jour. Engrg. Mechanics, 116(12), 2738-2748.





