河势贴体河道平面二维正交网格生成方法的研究及应用
摘要:基于河势概念和Hermite三次插值函数,提出了河势贴体河道平面二维正交四边形网格的生成方法;与边界层坐标系下水深平均流体力学控制方程和SIMPLER算法联合使用,建立了河道平面二维数学模型;进行了葛洲坝枢纽至磨盘溪河段二维网格生成及水流泥沙数学模型的实例研究;讨论了该网格生成方法的主要特征。
关键词:正交 数学模型 河势 Hermite函数 边界层 SIMPLER算法
1 河势贴体网格
河道平面二维数学模型网格生成方法研究中两个关键问题是:(1)网格与河道拟合的贴体问题;(2)二维网格、控制方程和数值方法三者之间的匹配问题。目前,常用的河道二维正交网格生成方法是边界拟合坐标系方法,即河道Thompson法[1],它主要是通过物理平面(天然河道平面)与变换平面(数模平面)之间Poisson方程边值问题数值解实现二维正交网格的生成。

式中:x,y为物理平面网格坐标;ξ,η为变换平面网格坐标;D为物理平面区域。
河道Thompson法存在的主要问题有:(1)二维网络主要考虑与河道岸线的拟合,多数情况下与河道的河势或主流线之间的拟合不理想;(2)复杂洲、滩及岸线河道边界、非恒定流动岸和数值求解引起的动边界等情况下,网格与河道岸线之间的拟合同样会出现实际偏离;(3)控制方程变换引起的数值求解困难和数值诱发耗散问题;(4)对于常见的宽、窄相间的河道平面形态,二维网格不均匀间距可能导致的数值计算精度问题;(5)与河道一维断面数学模型的嵌套和联合存在接口困难等等。
为了尽可能地避免河道Thompson法的上述问题和困难,本文提出了河势贴体河道平面二维正交网格生成方法。采用这一网格生成方法及相应的河道二维数学模型,不仅可以进行天然河道大多数边界条件下的水深平均平面二维水流、泥沙及温排和污排等计算分析及应用研究,而且还为长河段河道二维及一、二维嵌套数学模型的研究和应用提供了新思路。
2 网格生成方法
张瑞瑾教授[2]认为:河道水流的流态(或河势)具有很广的含义,一切标志河道水流总体倾向的现象,都被纳入这一概念之中。将河流动力学中基本和核心的河势概念,引入到河道二维网格生成方法及其河道二维数学模型的研究之中,具有更加坚实的理论依据和物理基础。
河势贴体网格生成方法的总体思想为:放弃传统的网格生成方法中严格要求网格与河道岸线相拟合的思路,采用Hermite三次插值函数[3],生成河道沿程纵向与河势或主流线相拟合的河势拟合线(曲线),并使得河宽方向横向网格线(直线)与网格控制断面相吻合,从而构造出平面二维正交四边形网格。由此生成的二维网格,一方面避开了河道复杂和变动的洲、滩及河岸岸线,另一方面体现了控制河道水流运动的河势概念。
2.1 Hermite插值函数
Hermite插值函数不仅要求插值节点上的函数值相等,而且还要求节点处一阶甚至高阶导数相等。两个插值节点情况下的Hermite三次插值函数可表述如下[3]:
需要满足的节点条件为
![]()
函数表达式为
![]()
系数表达式为

式中:H3(x),H3′(x)为Hermite三次插值函数及其导数;α,β为插值系数;x,y,m分别为插值节点的坐标、函数和一阶导数。
2.2 网格生成步骤
河势贴体河道平面二维正交四边形网格生成方法包括如下三个步骤。
2.2.1 确定网格控制断面和节点
选取研究河段的进出口断面、河段内水位/水文站点或测流断面、河势控制断面以及需要重点研究河段的控制断面等作为网格控制断面;在所选取的网格控制断面上确定网格控制节点,这些节点可以任意选取在控制断面的左右岸、深泓点、主流点、中心点等处,所选择的网格控制节点即为数学上Hermite三次插值函数的计算节点。
2.2.2 生成河势拟合曲线
利用上述Hermite三次插值函数,可以生成一条既通过网格控制节点,又垂直于网格控制断面的河道纵向网格控制曲线。通过多次调整网格控制断面和节点,使得所生成的网格控制曲线与研究河段的河势或主流线相拟合,将最终生成的河道纵向网格控制曲线确定为河势拟合曲线。这一步是河势贴体网格生成方法的关键和核心。
2.2.3 构造平面二维网格
选取和调整纵向和横向网格间距,构造由平行于河势拟合曲线的曲线簇和垂直于河势拟合曲线的直线簇(包括网格控制断面)的河势贴体平面二维正交四边形网格。
3 河道二维数学模型
河势贴体河道平面二维正交四边形网格生成方法与边界层坐标系下水深平均流体力学控制方程[4]以及合适的数值方法(如SIMPLER算法[5])之间联合使用,可以建立河道二维数学模型。本文给出了河道二维水流泥沙数学模型的控制方程和数值方法。
3.1 二维水流泥沙控制方程
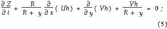
采用边界层坐标系下简化的河道二维浅水控制方程和泥沙对流扩散方程[4,6]



式中:x,y,t为边界层坐标系下平面二维坐标和时间坐标;R为x轴沿程曲率半径;U,V为流速分量;h,Z为水深和水位;g,n,vt为重力加速度常数、河道糙率和紊动粘性系数;S为含沙量;S为水流挟沙力;εs为泥沙扩散系数;α为泥沙恢复饱和系数;ω为泥沙沉速。
上述控制方程中二阶导数项进行了适当的简化和合并;当R→∞时,上述控制方程可转换为直角坐标系下水深平均平面二维水流泥沙控制方程;有关定解条件和参、系数函数或方程(如水流挟沙力公式等)与直角坐标系下二维水沙数模基本一致[7,8]。
3.2 数值求解方法

图1 葛洲坝枢纽至磨盘溪河段河势图(1997年9月河道地形)

图2 葛洲坝枢纽至磨盘溪河段河道二维水沙数模河势贴体正交四边形网格
图3 葛洲坝枢纽至磨盘溪河段二维水沙数模的流速等值线
二维水流控制方程的数值离散和迭代求解基于SIMPLER[5]算法,泥沙对流扩散方程的数值离散和迭代求解基于有限控制容积法[5],离散方程迭代求解方法具体包括以三对角追赶法(TDNA法)为核心的逐行法和高斯塞德尔点迭代法,并配合块修正和欠松驰修正技术等。计算过程中采用了动边界模拟技术,具体处理措施包括:每次迭代根据二维网格节点的计算水深值,均要判断和区分水域和陆域节点;对于陆域节点采用边界隔墙法[5]处理,并让陆域节点始终保持一个较小的富余水深等。
4 应用实例
河势贴体网格生成的主要目的是为河道平面二维数学模型的研究提供二维计算网格及离散节点。作为应用实例,本文给出了葛洲坝枢纽至磨盘溪近坝河段(图1)二维网格生成的具体过程及二维水流泥沙数学模型研究的部分成果。该项研究的主要目的是分析论证葛洲坝下游壅程措施(如胭脂坝左汊布设潜坝)的壅水效果及其对和航运的影响,而采用壅程措施的主要目的是为了解决三峡工程运用初期枯水位时葛洲坝下游引航道通航水深不足问题。
依据上述河势贴体网格生成方法及步骤,首先选取B0(坝轴线),Y34(庙咀),Y37(宜昌),Y39,Y41(宝塔河),Y44,Y46,Y49和Y50(磨盘溪)共9个河段河势控制或水文/水位断面作为网格控制断面,选取9个断面的中点作为网格控制节点;然后,由Hermite三次插值函数生成了本河段的河势拟合曲线AB(图1);最后,通过确定纵向x,横向y的网格间距,构成本河段河道平面二维计算网格(图2)。
最终生成的二维计算网格节点数为137×41,河势方向(x方向)网格间距为100~200m,断面方向(y方向)网格间距为50m。
采用生成的河势贴体河道平面二维正交网格,利用上述的河道二维水流泥沙数学模型,即可进行葛洲坝枢纽至磨盘溪近坝河段的二维水流泥沙数模计算分析研究。计算程序为自编“HELIU11”程序,有关研究内容及成果请详见长江院“九五”三峡工程泥沙问题研究子题分报告:“葛洲坝枢纽下游近坝段整治二维水流泥沙数学模型研究”。本文仅给出了宜昌流量13500m3/s时该河段二维数模计算的流速等值线(图3)和1993年11月1日至1997年8月31日冲淤验证计算中的冲刷部位等值线(图4)。
5 讨 论
本文提出的河势贴体河道平面二维正交网格生成方法具有如下几个主要特点:
(1)引入河流动力学的河势概念,凸现了河道二维数学模型研究中的主要矛盾,避开了河道岸线拟合这一复杂但相对次要的矛盾;
(2)生成的二维正交网格与边界层坐标系下河道水深平均流体力学控制方程及相应合适的数值方法(如SIMPLER算法)三者之间匹配较好;
(3)网格保留了河道一维断面形式,为长河段河道二维以及河道一、二维嵌套数学模型的嵌套和联合提供了便利的二维网格和一、二维接口条件;
(4)生成的二维网格具有河宽方向上分布均匀,河势方向上可调整性大,操作上简便易行等优点;
(5)该网格生成方法不适用于强弯及鹅头型分汊等平面形态的少数河段。
:
[1] 吴江航,韩庆书.计算流体力学的理论、方法及应用[M].北京:科学出版社,1988.
[2] 张瑞瑾.河道水流运动的基本特性[A].张瑞瑾集[C].北京:水电出版社,1996.
[3] 李庆扬,王能超,易大义.数值分析[M].武汉:华中工学院出版社,1982.
[4] 吴望一.流体力学[M].北京:北京大学出版社,1982.
[5] [美]S.V.帕坦卡.传热与流体流动的数值计算[M].北京:科学出版社,1980.
[6] DONGYAOHUA. The generat in gmethod of river regime-fitted or river main stream-fitted or thogonal grid and its applications[A].Lee J.H.,Jayawardena A. W.&Wang Z. Y.. Proceedings of the 2nd International Symposium on Environmental Hydraulics[C]. Netherlands:A. A. Balkema Rotterdam Brookfield,1999.
[7] 董耀华.河道温度及浓度场的平面二维数模研究[J].长江科学院院报,1997,(2):22-26.
[8] 董耀华.空腔回流区水沙特性的计算分析[J].泥沙研究,1999,(2):34-39.