果园微喷灌系统规划与设计
摘要:微喷灌技术是主要的节水灌溉技术之一,果园应用微喷灌越来越多,微喷灌系统应如何进行规划设计,才能达到要求,本文就此问题进行研究探讨。
关键词:果园 微喷灌 规划 设计
1 基本情况
微喷灌是通过低压管道系统,以小的流量将水喷洒到土壤表面进行局部灌溉,微喷灌的特点是灌水流量小,一次灌水延续时间较长,灌溉周期短,需要的工作压力较低,能够较精确地控制灌水量,能把水和养分直接输送到作物根部附近的土壤中去。
果园位于广东省电白县大衙镇,种植荔枝,树龄在3~7年左右。规划13.3 hm2的微灌工程,于1996年10月建成。果园最高处高程为94.91 m,坡面比较均匀,高差在8~21 m之间,土壤为砂壤土,含有机质少,透水性较大,保肥能力较差。水源利用1996年初打的一口深25 m的水井,流量为25 m3/h,可连续抽水4~6 h,果场已有380V动力线,变压器容量为10 kVA。
2 规划设计方案
荔枝基本沿等高线种植,每行树布置一条毛管,毛管沿等高线布置,毛管间距等于果树行距,即6.0 m。沿毛管在每两棵树中间布置一个微喷头,微喷头间距与荔枝树株距相等,即4.5 m,微喷头用Φ4 mm微管与毛管连接,微管长1.0 m,用插杆固定在地面上。
根据地形条件,干管沿山丘的脊线布置,由首部枢纽A点起沿山脊向北布置APS干管和向南布置AFL干管,支管沿山坡垂直于等高线布置,并尽量向两侧毛管供水,毛管平行等高线布置,见图1。

图1 微灌工程规划图
规划设计参数为:南方果树的湿润比P≥0.35,设计灌水均匀度Cu=95%,灌水有效利用系数η=0.9,设计日耗水强度Ea=2.71 mm/d。
3 微喷灌溉制度设计
3.1 一次灌水量计算
微喷灌设计一次灌水量用(1)式计算
M=0.1 rh(Wd-Wo)P (1)
式中 M──灌水定额,mm;
r──土壤容量,砂质壤土r=1.37 g/cm3;
h──灌水湿润深度,取h=0.5 m;
Wd──土壤田间最大持水量,Wd=22%;
Wo──设计含水量下限,Wo=0.6 Wd=13.2%;
P──土壤温润比,P=2×5/(4.5×6)=0.37。
M=0.1×1.37×50×(22-13.2)×0.37
=22.3 (mm)
3.2 设计灌水周期
T=M/Ea
22.3/2.71=8.23 (d)
取T=8d
3.3 一次灌水延续时间
t=MStSr/(η水nqd)
(2)
式中 t──一次灌水延续时间,h;
St──果树株距,m;
η水──灌水有效利用率,取η水=0.9;
qd──微喷头流量,qd=60 L/h;
n──灌水器数量,n=1个/株。
t=22.3×4.5×6/0.9×1×60)=11.15 (h)
取t=11(h)
3.4 轮灌组数目
每天工作时间取C=8 h,则轮灌组数目
N=CT/t=8×8/11=5.8 (组)
取N=6 (组)
为了使每个轮灌组灌水时水泵出水量基本相等,压力比较均匀,缩小管径,降低工程投资,根据实际支管情况,将各轮灌组的分组情况划分见表1。
表1 轮灌分组表 单位:m3/h
组 | 支管 | 流量 | 合计 | 组 | 支管 | 流量 | 合计 |
1 | 支1 | 12.36 | 39.54 | 4 | 支7 | 9.24 | 31.62 |
| 支3 | 9.1 | 38.58 | | 支10 | 14.52 | 37.26 |
| 支5 | 6.24 | 37.02 | | 支9 | 7.86 | 38.46 |
4 微灌系统管网水力
4.1 毛管水力计算
4.1.1 毛管水力计算参数
本工程采用全圆折射式微喷头,已知灌水器流态指数X=0.5,微灌系统设计流量偏差qv=0.2,灌水器设计工作水头hd=0.1 MPa,设计流量q=60 L/h。
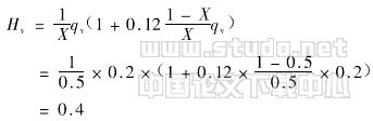
4.1.2 灌水器设计允许工作水头偏差率

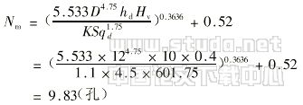
4.1.3 毛管最大出水孔数

取Nm=10(孔)
4.1.4 毛管设计最大长度
Lmax=NmS+S0
=10×4.5+4.5/2
=47.25(m)
根据实际地形和管道布置情况,实际最大毛管长度L=42.5 m<Lmax=47.25 m,满足设计要求。
4.1.5 毛管进口压力h0计算
毛管沿树行平行于等高线布置,灌水器最大工作压力水头在毛管进口处第一个出水口处。
h0=h1+ka(Nqd)mSo-JSo
h1=(1+0.62×0.2)1/5×10+8.4×10-4
×601.696×2+1.34×10-5×602
=14.43 (m)
α=1.006×10-5×1.2-(0.123Lg1.2+4.88)
=4.1×10-6
m=1.753(D/2.5)0.018
=1.753(1.2/2.5)0.018
=1.73
K=1.1
h0=14.43+1.1×4.1×10-6×(10×60)1.73
×2-0×4.5/2
=15.01(m)
4.2 干管、支管水力计算
4.2.1 干管ASW水力计算
根据地形条件和管网布置情况,第一轮灌组离首部枢纽二级加压泵最远,流量Q12=11.4 m3/h,W点地面高程为94 m,如果支管进口水头等于毛管进口设计水头,那么只要在W点管道内有满足毛管进口水头ho的工作水头,其他毛管的进口水头均能满足要求。干管ASW沿程水头损失按勃拉休斯公式计算。
hfAW=8.4×104×Q1.74L/D4.75
=8.4×104×[(19.981.75×84+11.41.75×
64)/504.75+11.41.75×192/654.75
=17.36 (m)
4.2.2 干管AFL水力计算
在第一轮灌组中,向支1、支2两条支管同时供水,其流量为Q=19.56 m3/h,干管AFL全长La1=205 m,A点与L点地面高程差为97.7-83.1=14.6 m。
干管AFL管径为
DAL=(KQ1.75L/ΔH地)-4.75
=(8.4×104×19.561.75
×205/14.6)-4.75
=56.7(mm)
由于干管ASW和干管AFL所需要的工作水头有差别,而且两条干管在A处平衡,所以A点处提供的工作水头远远超过干管AFL的沿程水头损失,所以选用干管AFL的管径D=50 mm,满足要求。
hfAL=8.4×104D1.75L/Q4.75
=8.4×104×19.561.75×205/504.75
=26.7(m)
4.2.3 首部二级加压泵扬程计算
首部地面高程ZA=97.7 m,W点地面高程Zw=94.0 m,干管ASW沿程水头损失hfAW=17.36 m,毛管进口水头ho=15.0 m,考虑首部枢纽中各种管道、管件和过滤器水头损失Σhj=8.0 m,首部枢纽水泵扬程为
HAW=ho+Σhj+hfAW-ΔZ
=15+8+17.36(97.7-94)
=36.66 (m)
干管AL沿程水头损失hfAL=26.7 m,L点地面高程为Z=83.1 m,首部枢纽水泵扬程为
HAL=ho+Σhj+hfAL-ΔZ
=15+8+26.7-(97.7-83.1)
=35.1(m)
可见,第一组最大扬程为36.66 m,就能满足要求,其他各轮灌组所需的扬程和流量经过计算,结果见表2。
表2 各轮灌组设计扬程计算结果表
轮灌组 | 1 | 2 | 3 | 4 | 5 | 6 |
流量(m3/h) | 39.54 | 38.58 | 37.02 | 31.62 | 37.26 | 38.46 |
扬程(m) | 36.66 | 37.08 | 32.85 | 32.64 | 26.60 | 30.55 |
从表2计算结果中可知,最大流量为第1轮灌组,最大扬程为第2轮灌组,因此满足第1轮灌组的流量和第2轮灌组的压力,即可满足其他轮灌组的要求。
4.2.4 首部枢纽水泵电机选择
根据轮灌组最大流量Q=39.54 m3/h,扬程H=37.08 m,选择型号为IS80-65-160型节能单级单吸清水离心泵,H=32~45 m,Q=50~25 m3/h,由安微宁国泵厂生产。
电机为三相异步电动机,型号为Y132-2″,功率N=7.5 kW,由西安电机厂生产。
4.2.5 支管进口工作水头计算
由于轮灌时各组的流量大小不相同,水泵扬程也不同,各支管的进口工作水头需按水泵扬程进行复核计算,确定是否需要在支管进口设置调压装置。
首部枢纽出水口A点工作水头确定:
蓄水池平均设计水位为97 m,水泵轴线安装高程为98 m,首部枢纽地面高程为97.7 m,轮灌组的流量在31.62~39.54 m3/h之间,由水泵性能曲线可知,水泵的扬程在39~42.5 m之间变化,现以39 m为各次轮灌时水泵的计算扬程。
A点处的水头为
HA=H扬-Δh首-ΔZ
=39-8-(98-97)
=30 (m)
灌水时各支管进口工作水头计算:
轮灌时各支管进口的工作水头与轮灌组的输水流量、管道沿程水头损失及地面高程有差别,关系较大,现均以A点为计算起点,各支管进口的工作水头为
H支=HA-ΣΔH±ΔH地
ΔH=hf+hf
取hj=0.1 hf
现计算第1轮灌组,干管AL同时向支1、支2供水。
管段水头损失
HfkL=8.4×104×7.21.75×5/504.75
=0.1(m)
ΔHkL=1.1 hfkL
=1.1×0.1
=0.1(m)
支管2进口处的工作水头为
H支2=HA-ΣΔH+ΔH地
=39-(29.32+0.1)+(98-82.5)
=25.08(m)
其他支管进口工作水头计算方法相同,计算结果见表3。
表3 支管进口工作水头计算结果 (单位:m)
管段 | AK | KL | AP | PW | AI | IJ | AR | RU | AG | GH | AQ |
工作水头(H支) | 24.58 | 25.08 | 41.82 | 24.46 | 25.72 | 27.77 | 32.03 | 23.34 | 37.04 | 36.84 | 45.37 |
管段 | QS | AE | EP | AT | AB | BC | AU | AD | AM | HN | NV |
工作水头(H支) | 39.87 | 38.66 | 47.60 | 31.37 | 47.60 | 35.37 | 36.95 | 38.43 | 47.14 | 40.77 | 22.25 |
4.2.6 支管管径计算
根据地形条件及实际情况,干管沿山脊布置,支管垂直于等高线布置,此时支管水力计算应满足支管上各毛管进口的工作水头要求,因此,支管的水头损失应根据地面高差和支管进口工作水头大小确定,并根据确定支管管径。
Δh=H支±ΔH地=ho(顺坡为+,逆坡为-)
D支=KQ1.75支LF/Δh-4.75
现计算支管3,查表5可知H支3=32.85 m,毛管进口工作水头ho=15.0 m,Q支3=9.18 m3/h,ΔH支=85.5-72=3.5 m,分水孔数N=15,多孔系数F=0.377,支管长L支3=90 m。
Δh=23.77+13.5-15
=22.27 (m)
支管3管径:
D支3=(8.4×104×9.181.75×90×0.377/26.27)-4.75
=25.99(mm)
取D支3=32.00 mm
其他各支管管径计算结果见表4。
表4 支管水力管径计算结果 (单位:mm)
管段 | KK′ | K′K″ | K′K? | KL | LL′ | LL″ | JJ′ | II′ | HH′ | GG′ | FF′ |
计算管径 | 26.02 | 28.29 | 26.16 | 19.39 | 13.32 | 29.83 | 25.99 | 27.76 | 21.72 | 23.85 | 23.99 |
选用管径 | 32 | 32 | 32 | 25 | 25 | 32 | 32 | 32 | 25 | 25 | 25 |
管段 | EE′ | DD′ | CC′ | C′C″ | C′C? | BB′ | MM′ | M′M″ | M′M? | NN′ | PP′ |
计算管径 | 21.98 | 22.46 | 36.33 | 18.31 | 30.40 | 28 | 20.1 | 14.1 | 22.1 | 16.7 | 23.3 |
选用管径 | 25 | 25 | 40 | 25 | 32 | 32 | 25 | 25 | 25 |
| 25 |
管段 | QQ′ | RR′ | SS′ | TT′ | UU″ | UU′ | VV′ | VV1 | V1V′1 | V1V″1 | VW′ |
计算管径 | 25.8 | 21.6 | 27.4 | 31.64 | 16.03 | 32.15 | 16.15 | 26.4 | 9.9 | 19.89 | 29.4 |
选用管径 | 32 | 25 | 32 | 32 | 25 | 40 | 25 | 32 | 25 | 25 | 32 |
5 小 结
采用上述规划设计方法直观,比传统设计方法简单,计算准确,果园采用该设计方法进行安装,达到了原来设计要求,喷洒效果比较理想。目前,广东省大力果园种植,需要推广应用微喷灌等节水灌溉技术,抓好规划设计工作是关键,才能保证节水灌溉工程达到设计要求。