浅析格田淤区均匀沉沙的控制条件
关键词:格田区 均匀落淤 水流挟沙力
1 引言
黄河下游两岸为了扩大生产或进行移民安置,都需要对滩区内或堤岸外的沙荒地进行土壤改良。采取的工程措施主要是利用黄河泥沙进行放淤改土,并要求淤改厚度、落淤泥沙颗粒级配相对均匀,以满足农作物生长需求。近年来大面积、大规模的放淤改土工程正在开展,因此对淤区的沉沙进行系统全面研究,使引入格田区的泥沙均匀淤积下来,这是放淤改土工程必须解决的关键技术问题。
2 格田内泥沙运移沉积机理研究
通过明渠或管道将浑水引入格田进行沉沙淤土时,格田区的水流与泥沙运动状态影响淤积的范围、组成和淤积厚度。格田区内挟沙水流可视为恒定非均匀渐变流,而泥沙的超饱和输移沉积特点与格田内的水流状态密切关联。根据开封北郊和温孟滩实际淤改资料的分析研究,得到如下认识。
2.1 格田内泥沙沉积特点
格田区水流属边界变化很大的动床水流,进入格田后便呈扇形扩散,形成自由水流降水区;而下游则形成受退水口溢流堰控制的壅水区。
(1)初期扇形扩散区的沉积特点 水流进入格田后首先在进口附近平面扩散漫流,床面阻力增大使流速减缓,于是水流中的粗颗粒泥沙先行沉积,剩余较细颗粒泥沙则随水流向下输移,随水流流速减缓程度沿程分级沉降。
(2)中期壅水区的沉积特点 格田区内泥沙的沉积推进到后部壅水区段时,由于流速进一步减缓,水流挟沙力下降,泥沙迅速落淤,形成一个不断向下游延伸的扇形淤积体。
在自由水流段,主流带床面淤积较多时,水流便向两侧滩地漫溢发展。漫溢水流在滩面上冲蚀成许多小串沟,随着淤积过程的发展,这些串沟有的被淤塞,有的则继续发育。当主流带床面比降减小到一定程度后,主流便改道,夺入处于最低滩面发展最快的串沟。在主流摆动过程中,粗泥沙总在主流沟内沉积,同时泥沙的分选沉积使滩面淤积层具有粗细交替夹层的特征。
自由段水流在摆动改道后,床面变陡,水流则聚拢、集中。该段挟沙能力的增大又使水流能将所挟泥沙带到下部壅水段才沉积,形成新的扇形堆积体;而泥沙向下游的伸展淤积又将重新引发向上游的“回淤”。回淤发展到一定程度,主流又会发生摆动改道,把扇形淤积体移到新位置。通过主流不断摆动改道,格田区内的泥沙淤积便在纵横向不断延展、加厚,这就是格田内泥沙输移、沉积的基本特征。
2.2 格田尾水位对泥沙沉淤的影响
退水口的水位控制着格田区水面比降,它不但决定水流自由段与壅水段的范围,同时也影响格田泥沙沉积的状况。通过对格田进流量给定时的实际观测分析表明,格田尾水位控制较高时,壅水区段较长,泥沙淤积多集中在上游,上、下游淤积不均匀一致;当格田尾水位控制较低时,淤积体向下游推进迅速,这造成退水中仍有一定泥沙,由于水面比降大又引起上游“回淤”不足,淤积厚度往往难以达到要求。当下游退水口出现浑水时,适当抬高格田尾水位便可使挟沙水流上溯“回淤”。因此要想格田落淤均匀并达到设计要求,格田放淤控制的关键措施之一就是必须使格田尾水位在一个适宜的范围内不断调整。
3 泥沙均匀落淤控制条件的探讨 在格田中控制泥沙均匀落淤,是提高淤改质量的关键。这里笔者试图从基本理论方面探讨沉沙池均匀落淤的控制条件,并将其转化为格田沉沙池进出口的控制条件。 |
|
|
|
式中h0为进水口门处的水深;x为该断面距口门长度;ε为水面坡度修正系数;i为沉沙池底坡。?
在沉沙池中,泥沙沉速ω可采用滞流区公式
??ω=(1/E)ag(d2 /ν) | (2) |
式中 E为系数,一般取18~24;a为泥沙浮容重系数;d为悬沙平均粒径;ν为水流运动粘滞系数。
根据沉沙池中泥沙的沉积特点,粒径沿程的变化一般可用两种形式表示
指数衰减规律 | d=die-kx | (3) |
k=(1/L)ln(di/d0) | (4) |
线性衰减规律 | d=di-[(di-d0)/L]x | (5) |
式中d、di 、d0分别为沉沙池中任一断面、进口断面和出口断面的悬沙平均粒径。
在引黄放淤工程的水力中,水流挟沙力应采用适于黄河干、支流的公式,如
S* =(KQ3/gB3.5)(1/h3.5ω) | (6) |
在沉沙池中,水深、泥沙沉速的沿程变化率可表示成
| (7) |
?? 若泥沙粒径采用线性衰减规律
| (8) |
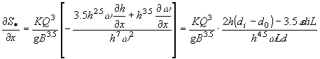
??考虑(7)、(8)两式,则沉沙池中水流挟沙力的沿程变化率可以导出
| (9) |
式中iL为沉沙池进出口断面的池底高差,可计为ΔZ=iL。
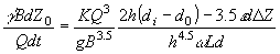
由泥沙质量守恒原理可以推得沉沙池中含沙量的沿程变化率为
| (10) |
式中dZ0为淤积厚度,dt为所取微分时段;Δx为微分流段长度,Δs为进出流段的泥沙含沙量差。
在格田沉沙池中,泥沙沿程均匀落淤应满足, |
| (11) |
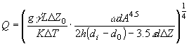
??设沉沙池的横截面积为A=Bh,设计淤积厚度为ΔZ0,淤积时间为ΔT,便可推得满足泥沙沿程均匀落淤的流量控制条件
| (12) |
对于给定设计沉沙池,上式右端括号中第一个分式中各因子均为给定值。在恒定流条件下流量沿程不变,因而要求右端括号内第二个分式亦应沿程不变,这就还必须满足
| (13) |
??在涉及沉沙池横截面积沿程变化时,相对ω的沿程变化率很小,而ΔZ仅是由设计沉沙池地形条件所决定。上式求导后忽略微小量便有
|
??进一步整理可得4.5B[2h(di -d0)-3.5εdΔZ] = 2(di-d0)A?
于是,沉沙池中的平均水深应满足 | h=2.25(εdΔZ)/(di-d0) | (14) |
上式就是满足沉沙池沿程均匀落淤的格田水深控制条件。大量的实际淤区观测资料也表明,在沉沙池平面尺寸及地形条件已定时,格田流量和水深是控制泥沙沿程均匀落淤的决定性条件。
将流量和水深两个控制条件结合起来,便得到流量形式的综合控制条件
| (15) |
通常格田沉沙池退水口门都做成可调控水位的溢流堰,根据堰流公式
| (16) |
式中 m为堰流流量系数,b为单孔堰宽,H0为堰顶全水头,n为退水口门个数。
由(15)和(16)式便能确定满足泥沙沿程均匀落淤要求的退水口溢流堰的堰顶水头
| (17) |
由简单的几何关系,也可得出格田末端溢流堰的堰高
∵h=H0+P=h0+εiL | (18) |
则 P=h0+εiL-H0
∴ |
| (19) |
4 结语
1.通过对格田淤区泥沙沉积特点及过程实际观测资料的整理分析与细致研究,可以得知格田区主流的摆动引起落淤与回淤交替进行,使格田床面淤积逐步向下游推移,落淤与回淤的交替进行是格田沉沙的主要形式。由于格田尾水位直接影响泥沙的纵向落淤分布,因此控制格田均匀沉淤的关键之一就是选择最优格田尾水位。
2.通过对格田区水流挟沙、沉积的理论研究,认识到对于给定平面尺寸、坡降的沉沙池,要满足沿程均匀落淤的要求,可以通过控制进口流量、池中水深以及尾水堰的堰高、堰顶水头来实现。当然入池泥沙级配以及出池泥沙控制粒径d0也是不可忽视的影响因素。
根据黄河高含沙水流特点得到满足格田区沿程均匀落淤的三个控制条件是
1) 流量控制 |
|
2) 格田区水深控制 | h=2.25(εdΔZ)/(di-d0) |
|
|
3) 格田区尾水位控制 |
|
尾门堰顶水头 |
|
尾门堰堰高 |
|
?3.在黄河放淤改土的淤滩工程实践中多采用100×250m的格田,含沙量控制在20~100kg/m3左右。通常采用动静放淤相结合,利用多口进水方式、按均匀沉沙条件进行控制,取得了大面积淤改的成功。引黄放淤工程是一个复杂的系统工程,既涉及水沙输送、泥沙沉积的理论问题;又大量涉及泥浆输送机械,格田区施工布置及工程进度控制、协调等工程技术问题。本文只是将引黄放淤工程中格田区泥沙均匀落淤的控制条件进行了分析研究,并结合一些实际放淤工程进行了初步的探讨,有关参数还需要利用更多的格田放淤实测资料予以校验、核定。
参 考 文 献
[1] 谭兴华。引黄灌区沉沙条渠设计。郑州:黄河出版社,1995年。
[2] 蒋如琴。引黄渠系泥沙利用。郑州:黄河出版社,1998年。
[3] Dobbins,W.E,,Effect of Turbulence on Sedimentation,Trans.,ASCE,Vol.19 1994.









