考虑外界温度影响的水管冷却等效热传导方程
摘要:水管冷却是大体积混凝土温度控制的重要措施,由 于水管附近温度梯度很大,直接用有限元法水管冷却效果,必须采用密集网格,有较大困难,目前广泛采用笔者在[3]中提出的等效热传导方程,该方程已考虑了混凝土的 初始温度和绝热温升,但没有考虑外界温度的影响,本文给出在水管冷却等效热传导方程中 考虑外界温度影响的计算方法,使等效热传导方程趋于完善。
关键词:水管冷却 等效热传导方程 外界温度
水管冷却是大体积混凝土中控制温度的重要措施,在进行大体积混凝土的仿真计算时,必须考虑水管冷却的影响,笔者在文献[1,2]中给出了用有限元方法计算水管冷却效果的方法,计算精度是好的,但由于水管附近温度梯度很大,水管的半径只有1cm左右,如采用线性单元,水管附近有限元的尺寸也只能是1~2cm左右,尽管可以逐步放大单元,仍然需要很多结点,例如平面尺寸15m×20m的混凝土浇筑块,如采用1.5m×1.5m水管间距,在1.5m高的一个浇筑层内即需要约1万个结点,如计算15个浇筑层,需要约15万个结点,如计算100个浇筑层,需要约100万个结点,而且混凝土高坝仿真计算历时往往长达数年,在现有计算条件下,实际上难以实现。采用笔者在文献[3]中提出的等效热传导方程,水管的作用在函数(t)和ψ(t)中考虑,采用通常的有限元网格即可进行计算,因而为混凝土高坝的仿真计算提供了极大的方便。在混凝土坝仿真计算过程中,初始温差和绝热温升是两个主要因素,文献[3]中已经考虑,外界温度对水管冷却效果也有一定影响,但计算较复杂,原来没有考虑。本文给出在水管冷却等效热传导方程中外界温度影响的计算方法,使等效热传导方程趋于完善。 (1)
1 单面冷却时外界温度的影响
1.1 单面冷却、外界温度为常量 如图1所示半无限大体,设初温为Tw,边界温度为Ta,按第一类?边界条件计算,传导方程为![]()
边值条件为
| (2) |
上述问题的解为[5]
| (3) |
式中:
,erfu称为误差函数,a为导温系数。
对于第三类边界条件,在混凝土外面增加虚拟厚度λ/β,其中λ为混凝土导热系数,β为表面放热系数,再作变换
x = x′+ λ/β | (4) |
经过这样变换后,仍可按第一类边界条件计算[4]。
|
|
图1 半无限体 | 图2 水管与单面冷却 |
在推导水管冷却等效热传导方程时,是以水管水温Tw作为温度场的基准的,如图2所示,考虑单侧表面冷却与水管冷却的作用,设混凝土初温为Tw,外界温度(气温或水温)为Ta,水管至表面的距离为
h = h′+ λ/β | (5) |
式中:h′为水管外面混凝土真实厚度,λ/β为虚拟厚度。
由式(3),在水管附近时刻t的混凝土温度为
| (6) |
如图2,设混凝土的平均温度为T?m,显然,Tm>T(h,t)。冷却水管附近的温度梯度比较大,离水管越远,其影响越小,因此,在计算水管冷却效果时,用T(h,t)比较合适,如采用平均温度Tm则明显偏大,将夸大水管冷却的效果。
在时刻t与t+Δt之间,外界温度在水管附近引起的温度增量为
| (7) |
考虑水管冷却效果后,温度增量为:
| (8) |
式中:
| (9) |
其中:D为冷却柱体直径;L为冷却水管长度;cw、ρw、qw分别为冷却水的比热、容重和流量。
由于冷却水管的作用,使温度下降
ΔT(h,tj)[(t-tj)-1]=ΔT(h,tj)[e-p(t-tj)-1] |
从0到t积分,由于水管冷却作用,在平均意义上,混凝土温度下降
| (10) |
式中:
| (11) |
erf∞=1.00,erf4.0=0.999,999,988,在
与
之间,
,000,
,即在τ=0与τ=h2/64a之间,
,因此
可以从t01开始计算,而
。?
例如,设h=1.60m,a=0.10m2/d,则t01=0.40d,即可从0.40d开始计算
。如以中点龄期tj+0.50Δtj代替tj,则
| (12) |
1.2 单面冷却、外界温度随时间而变化 外界温度本来是随时间而连续变化的,今用阶梯形变化代替之,如图3所示,设在时间t=t0、t1、…ti、ti+1…,相应的外界温度增量为ΔTa0、ΔTa1、…ΔTai、ΔTa,i+1…。
对于t=ti的外界温度增量ΔTai,由式(10,11),冷却水管的影响如下:
| (13) |
式中
| (14) |
从0到t积分,对于外界温度变化的全部历程,冷却水管的影响计算如下:
| (15) |
2 两面冷却
在坝块的边缘上,存在着两面冷却问题,如图4所示,根据热传导理论中的乘积定理,可知:
| (16) |
|
|
图3 外界温度变化 | 图4 两面冷却 |
由此得到x,y点的温度如下:
| (17) |
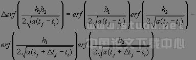
在时间t与t+Δt之间,不考虑水管冷却的作用,在x=h1、y=h2点的温度增量为:
| (18) |
式中:
| (19) |
以
代替式(15)中的
,在两面散热条件下,对于外界温度变化的全过程,冷却水管的影响可如下:
| (20) |
式中:
| (21) |
3 三面冷却
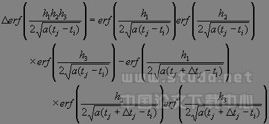
在坝块尖角上,存在着三面冷却问题,如图5所示,根据热传导理论中的乘积定理,x,y,z点的温度可计算如下:
| (22) |
仿照上节的推导,在三面冷却条件下,对于外界温度变化的全过程,冷却水管的影响可计算如下: |
| |||
| (23) | |||
式中: |
| |||
| (24 |
4 大体积混凝土水管冷却的等效热传导方程
现在得到大体积混凝土水管冷却的等效热传导方程如下:
| (25) |
式中:
考虑初始温差T0-Tw的影响,
考虑混凝土绝热温升的影响,
考虑外界温度的影响。
由[3]可知:
| (26) |
式中:p见式(9)。
当绝热温升为
| (27) |
时,ψ(t)为
| (28) |
η(t)见式(15)、式(20)、式(23)。
如无水管冷却,混凝土绝热温升为θ(t)=θ0(1-e-mt),有水管冷却时,混凝土的温升为θ0ψ(t),因此,对于混凝土绝热温升,水管冷却在单位时间内所吸收的热量为
| (29) |
对于混凝土初始温差,水管冷却在单位时间内吸收的热量为
;对于外界气温影响,水管冷却在单位时间内吸收的热量为
。
5 算例
设混凝土冷却柱体直径D=1.692m,导温系数a=0.10m2/d,导热系数λ=226.1kJ/(m·d·℃),冷却水比热cw=4.187kJ/(kg·℃),密度ρw=1000kg/m3,流量qw=0.90m3/h=21.6m3/d,水管长度L=200m,混凝土初始温度T0=25℃,外界空气温度Ta=25℃,表面放热系数β=2261kJ/(m2·d·℃)?,混凝土绝热温升为:
|
由式(9),k=2.09-1.35×0.500+0.320×0.5002=1.495,
? p=ka/D2=1.495×0.10/1.6922=0.0522,
?
,
? |
由式(29),对于混凝土绝热温升,水管冷却在单位时间内所吸收的热量为
? |
由于初始温差T0-Tw,在单位时间内水管吸取的热量为 |
| ||
| |||
水管至混凝土表面距离h′=1.50m,λ/β=0.10,h=h′+λ/β=1.60m,由式(10),由于外界温度影响,水管在单位时间内吸收的热量为 |
? |
? |
结果见图6。由图6可见,对于本算例来说,冷却水管对于混凝土初始温差及绝热温升的影响比较大,而受外界气温的影响相对较小,如果表面暴露时间不超过5d,即使忽略其影响,误差也不大。这是由于在水管附近的温度T(h,t)远小于气温Ta的缘故。例如,当t=6d,在混凝土表面,Ta-Tw=25.0-5.0=20.0℃,而在水管附近,h=1.60m?处,T(h,t)-Tw=7.884-5.0=2.884℃,只有表面温差Ta-Tw的0.144倍。
6 结语
本文给出的水管冷却等效热传导方程(25)考虑了初始温差、绝热温升和外界温度变化的影响,考虑的因素比较全面。冷却水管的作用分别用3个函数
、ψ(t)、η(t)考虑,采用一般的有限元网格即可进行计算,为混凝土高坝的仿真计算带来了极大的方便。
参 考 文 献:
[1]朱伯芳,等.水工混凝土的温度应力与温度控制[M].北京:水利电力出版社,1976.
[2]朱伯芳,蔡建波.混凝土坝水管冷却效果的有限元分析[J].水利学报,1985,(4):27-36.
[3]朱伯芳.考虑水管冷却效果的混凝土等效热传导方程[J].水利学报,1991,(3):28-34.
[4]朱伯芳.大体积混凝土温度应力与温度控制[M].北京:电力出版社,1999.
[5]A.B.雷柯夫.热传导理论[M].裘烈钧等译,北京:高等出版社,1955.
























