巨型薄壁水电站输水钢管抗外压失稳性能分析
摘要:将加劲巨型输水钢管分为管身段和加劲环管段,分析了随着钢管的巨型超薄化,其抗外压失稳性能的骤减特征,揭示了加劲环的型式、尺寸、布置间距及材料性能等因素对其抗外压失稳能力的影响,给出了加劲环的合理形式、尺寸及布置间距。
关键词:巨型薄壁钢管 抗外压失稳 管径 壁厚 加劲环
随着低成本、无污染水能资源的大力开发,水电站输水钢管日趋巨型、超巨型化,而考虑焊接质量等因素,管壁厚度一般控制在40 mm以内。这种巨型超薄壁钢管在、运行期间不可避免受到随机外压、局部外压、均匀外压作用时极易失稳,近年来我国就发生十多起水电站输水钢管外压失稳实例,又如三峡水电站巨型钢管中也曾出现外压失稳现象。因此,对巨型薄壁钢管开展外压失稳分析,研究其抗外压失稳性能及其影响因素,已成为目前大型水电站建设中亟待解决的问题。
该文将带有加劲环的巨型薄壁钢管视为环间管身段和环部位管段(称环管段)二部分,综合应用Mises理论及弹性环外压稳定分析理论,并考虑了材料的塑性失效状态,揭示出管径、管壁厚度、加劲环型式、尺寸、间距、铸管材料诸因素对巨型薄壁钢管抗外压失稳性能的影响,并给出了加劲环的合理型式、尺寸及布置间距。
1 管身段分析
1.1 模型、公式与计算成果
为透析管径巨型化与管壁超薄化以及加劲环间距对管身段抗外压失稳性能的影响,计算模型采用了相对管半径r/t=20~400、相对环间距L/r=0.1~50(r管半径,t壁厚,L环间距)范围内的529个管身段计算对象构成的有序系统,应用Mises理论[1]计算其临界失稳外压值Pcr及其失稳波数n值;为了解失稳时材料属性,以16 Mn钢、A3钢为例,计算材料在塑性屈服时管身段所能承担的失效外压,计算公式采用:

σst=P·r(2)
式中 E、υ、σs分别为管身材料的弹性模量、泊松比和屈服极限,P 为管身段塑性失效外压,其余符号意义同前。
整编计算结果可绘制成如图1所示的计算曲线(图中纵坐标‘logPcr’是Pcr的对数值,L/r 为曲线参数,曲线1、2为16 Mn钢、A3钢材质的管身段塑性失效外压曲线),同时表1给出了管身段Pcr值随相对管半径 r/t与相对环间距L/r增大而骤减的变化趋势分析,表2给出了相应于不同r/t、L/r值时的管身段临界失稳波数n值。

1.2 计算成果分析
1.2.1 随着钢管的巨型超薄化,管身段抗外压失稳能力骤减 由图1 所示曲线可见:管身临界失稳外压Pcr值随r/t增大而减小,在r/t=20~220以内为骤减,此范围以外渐趋平缓。例如由表1可看出,在L/r=0.1~5.0范围内,当r/t 由20增至220时,管身段Pcr值将骤减至初值(r/t=20的Pcr值)的0.25%~0.54%;随着Pcr骤减,当管径增大至一定值时,管身抗外压失稳能力将变得极低,例如L/r=5.0、r/t=400的Pcr值仅为0.12×100kPa,即只能承受约1.2 m外压水头。
1.2.2 管身段Pcr值骤减比率受加劲环间距影响不大 计算结果表明:Pcr骤减比率受加劲环间距影响不大,例如对表1中r/t=320的情况,当L/r从0.3变至5.0时,其Pcr值均减至各自初值的0.1%~0.11%,降减比率基本相等。

1.2.3 加劲环作用及最有效环间距 由图1曲线显然可见:减小加劲环间距可有效提高管身Pcr值,且L/r愈小,Pcr值及其增长比率愈大。例如对r/t=220情况见表1,当L/r由5.0减至1.0再继续减至0.1时,管身Pcr值增量分别为2.3×100 kPa和25.4×100 kPa,即环距L每减少0.1 r时Pcr值的平均增量分别为0.0 575×100 kPa和2.54×100 kPa,后者是前者的44倍。从计算成果看,巨型薄壁钢管最有效环间距为L=(0.1~0.6)r(例如三峡水电站钢管采用了L=2 m即L =0.32 r)。
1.2.4 零作用环间距 图1曲线还显示出,随环间距增大,加劲环作用逐渐减小,至L/r=50时,管身段与光面管的logPcr~r/t曲线基本重合,尤其在r/t≤300范围内完全重合,这表明二者抗外压失稳能力相当,此时加劲环对管身段已不具有任何刚度支持作用。因此工程中应避免采用零作用环间距:L=50 r。
1.2.5 管身段失稳波数 由图1及表2可知,管身段失稳波数n是其纵向与环向刚度的综合反映,随管径巨型化,管身段环向刚度降低,失稳波数增加;而在轴向,随环间距增大、管身段轴向刚度降低,失稳波数减小。对于大管径密间距加劲管的管身段,失稳时为多波形式;而对稀疏环间距小管径情况,管身段失稳时为少波形式;对于光面管情况n=2。

1.3 管身段失稳时材料属性
图1中塑性失效外压曲线1、2将管身段logPcr~r/t曲线分为属于塑性失稳和弹性失稳的上、下二区。当管径及环间距较大时,管身段将在承受较小外压下发生弹性失稳,Pcr落于下区;而管径或环间距较小时,管身段将能在承受较大外压下失稳,同时伴随有材料塑性变形,Pcr落于上区;管身弹性失稳时,材料力学性能将不能充分发挥。
2 环管段分析
2.1 加劲环合理结构型式
加劲环结构型式包括:加劲环断面形式及环与钢管连接方式。对巨型薄壁钢管,宜采用与管身轧制为一体的加劲环,以避免加劲环与管身间大量焊缝量及焊接质量不均带来的不利;加劲环合理断面形式与尺寸,应能在较小的环断面面积下获得相对较大的临界失稳外压Pcr值,又能使管身段与环管段的Pcr值接近或相等,改善结构外压承载条件,并便于。
2.2 环管段模型、公式与计算成果
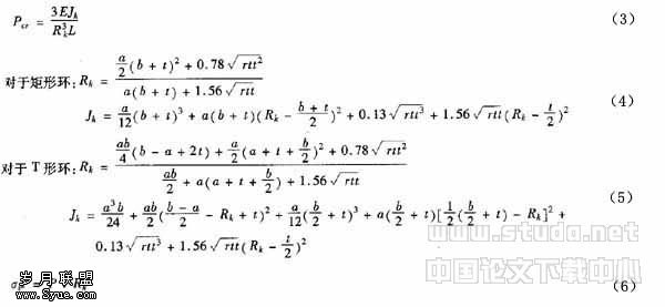
与管身轧制为一体的加劲环环管段部分包括:加劲环以及与之相连的两侧0.78(rt)1/2范围内的管身。计算模型取为:管径r=6.2 m、壁厚r=4 cm、加劲环厚度a=2、4、6、8、10 cm、相对环间距L/r=0.1、0.2、0.32......2.0、2.5、3.0、环高厚比b/a=0.3~50范围内的矩形断面环与相同断面积的T形环(见图2内附图),共计1 128个环管段计算对象构成的有序系统,应用弹性环外压稳定分析理论[1]计算环管段临界失稳外压值Pcr,并以16Mn钢、A3钢为例,计算材料在塑性屈服时环管段所能承担的失效外压P,计算公式采用:

式中,Rk为环管段形心至钢管轴线距离,Jk为环管段截面形心惯性矩,其余符号意义同前。整编上述计算成果可绘制成如图2、3、4所示的曲线,其中,图2为矩形断面与T形断面加劲环环管段logPcr值的对比图,图3、4分别为采用矩形和T形断面加劲环时,环管段logPcr值与加劲环高宽比b/a之间的关系曲线,图3、4中曲线1、2为16Mn钢、A3钢质的环管段塑性失效外压曲线。



2.3 计算成果分析
2.3.1 加劲环合理断面形式 比较图2中矩形环与T形环环管段logPcr~b曲线可知:加劲环间距相同、断面积相同时,采用矩形环可获得更高的Pcr值,且L/r值愈小效果愈显著。例如对b=1 m,L/r=0.1和L/r=3.0情况,采用矩形环与T形环的环管段Pcr值分别为363.1与208.9和11.8与6.9(×100 kPa)。L=0.1r时矩形环与T形环Pcr值之差为154.2(×100 kPa),而L=3.0r时则为4.9(×100 kPa),前者高出后者30.5倍。可见,采用小间距矩形环更为合理,且制造方便。
2.3.2 加劲环适宜尺寸 比较图3(或图4)中的曲线可知:环厚a过小,尤其当a< t(管壁厚)时,即使采用较大的环高也不易获得较高的Pcr值(且环高过大时,不便并存在自身屈曲问题);而当a≥t时,则可以在较小的环高b及适当的环高宽比b/a与加劲环间距L时获得较大的Pcr值;从计算成果看,适宜环厚a及环高b分别为:a=(1~1.5)t;b=(5~20)a。
2.4 环管段失稳时材料属性
图3、4中塑性失效外压曲线1、2将环管段logPcr~b/a曲线分为属于塑性失稳和弹性失稳的上、下二区。当a及b/a值较大时,环管段将能在承受较大外压下失稳,同时伴随有材料塑性变形,Pcr落于上区;反之,环管段将在较小外压下发生弹性失稳,Pcr落于下区。对于后者材料力学性能将不能充分发挥。
3 结语
随着管身巨型超薄化,钢管抗外压失稳能力已变得极低,本文分析表明,采用加劲环是提高其抗外压失稳性能的有效措施,与管身轧制为一体的矩形环是合理、实用形式;为避免管身段提前失稳,加劲环最有效间距为L=(0.1~0.6)r;要保证环管段具有足够的抗外压失稳能力以及加劲环自身稳定和方便,加劲环适宜尺寸为a=(1~1.5)t,b=(5~20)a;联合应用本文图1、3(或图4)曲线,可使管身段与环管段获得相等或较为接近的Pcr值,并达到材料强度充分发挥,从而获得钢管外压稳定性的优化设计。
:
[1] 潘家铮.压力钢管[M].北京:电力出版社,1982.
[2] 刘东常,刘宪亮. 压力管道[M].郑州:黄河出版社,1998.
Analysis on the Property Resisting to Lose Stability for Huge Thin Wall Steel Water-pipeline Applied Hydroelectric Station under External Pressure
Abstract: This paper by dividing a ring-strengthened huge steel water-pipeline into two parts: pipe-body-part and ring-pipe-part, analyzed the feature that the pipeline''s ability resisting to lose stability under external pressure reduces rapidly as its diameter becomes larger and larger and its wall becomes thinner and thinner; It revealed the influence of the forms, the sizes, the installed distance of strengthen-ring as well as the property of material etc on the pipeline''s ability resisting to lose stability ; It gave the reasonable forms, sizes, and installed distance of strengthen-rings.
Keywords: huge thin wall water-pipeline; resisting to lose stability under external pressure; diameter of pipe; thick of wall of pipe; strengthen- ring