潮汐河口悬移质动床实物模型的理论与实践
摘要:河口泥沙一般较细,其河床变形多取决于悬移质的运动。文章论证了悬移、起动与河床变形相似为潮汐河口悬移质动床实物模型泥沙运动的主要相似条件,模型沙主要按悬移与起动相似条件选择;提出并介绍了采用轻质沙后挟沙相似的满足、时间变态的处理原则与经验;此外还讨论了模型选沙中的一些理论与技术问题。
关键词:潮汐河口 实物模型 相似准则 起动 悬移 沉降速度
1 前言
潮汐河口水流为典型的非恒定往复流,流态复杂多变,潮流随时间的变化远较径流迅速,涨、落主流流路也常不一致;泥沙既有径流挟运,也有海域带来,并因径流与潮流比值不同分别形成口门处的拦门沙或口门以内的纵向沙坎[1]。这一切,使得河口的河床变化尤为复杂,对此,欧美诸国多以泥沙数模为主要研究手段,应该说,目前还极不成熟,尤其是局部工程对河床变形的影响。我国对河流实物模型的理论进行了长期的深入研究,积累了丰富的经验。河口水沙运动虽比河流复杂,但只要实物模型抓住所研究问题的关键,往往可获得较数学模型更为接近实际的结论。作者借助悬移质实物模型,对不同工程给钱塘江河口河床变形的影响进行了十年研究,其中两项围涂工程已根据试验实施,河床冲淤变化与试验预测符合良好,取得了显著的社会与效益。本文便是我们长期研究的。
2 潮汐河口悬移质实物模型的特点与现状
河口宽深比一般都很大,因此不得不做成变率较大的变态模型。经过长距离运移,河口泥沙大多较细,其河床变形多取决于悬移质的运动。细颗粒泥沙的絮凝沉降特别是含盐度的影响不容忽视;细颗粒泥沙的起动尤其起动流速的定量研究至今仍不充分,对具有往复流特征的河口泥沙,其起动流速明显小于同粒径的河流泥沙,起动特性更为复杂。这就给模型设计尤其是模型选沙带来了很大的困难,加沙方法与设备更显著增加试验的难度,故时至今日,国外河口底沙模型不少,悬沙模型则殊不多见。
70年代,我国先后作过长江口、射阳河口、甬江口与钱塘江口的悬沙淤积模型[2~5],除长江口模型探讨河口过渡段的局部水域,余皆研究河口河流段的一维淤积变化;80年代末至今,进行了包括钱塘江河口河流、过渡与潮流段在内的悬沙淤积与大范围动床试验,在河段冲淤量与冲淤平面分布验证的基础上,探讨了杭州湾北岸澉浦至金山深槽的冲淤变化、尖山河湾南股槽整治、北岸治江围垦工程实施等问题[6,7,9,10];此外,还有辽河口营口港区淤积与局部动床试验[8]及某些局部水域淤积试验。上述工作,给河口悬移质模型提供了可贵的经验。然因河口水沙运动的复杂,不少问题的认识至今尚不一致,为此本文较为系统地论述了潮汐河口悬移质动床模型的主要相似准则、模型沙的选择及由此产生的时间变态的处理方法,对若干有争议的问题提出了作者的见解并给出了粗浅的论证。
3 潮汐河口悬移质动床实物模型的主要相似准则
一般而言,某物理量x的原、模型量值之比被称为该物理量的原、模型比尺,即
λx=xp/xm | (1) |
式中 下标p与m分别表示原型与模型。
3.1 几何相似
河口多较宽阔,宽深比较大,因而除局部模型作成正态,从而λx=λy=λz=λ1外;河口整体模型多为变态,其几何相似为
平面比尺 | λx=λy=λ1 | (2) |
铅直比尺 | λz=λh | (3) |
3.2 水流运动相似
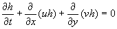
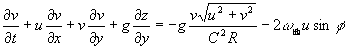
如前所述,河口模型多作成变态,因而铅直方向的物理量及水平方向的物理量沿铅直方向的分布不可能相似,但各物理量沿铅直向的垂线平均值仍然相似。为此,考虑平面二维非恒定流运动方程
| (4) |
| (5) |
连续方程 |
|
| (6) |
式中u、v分别表示x、y方向(正东与正北)的垂线平均流速,z为水位,R为水力半径,C为舍齐系数,ω地系地球自转角速度,φ为所在地纬度。
运用相似变换,由(4)~(6)式,甚易得到
惯性力重力比相似 | λu=λv=λh1/2 | (7) |
惯性力阻力比相似 | λc2=λ1/λR | (8) |
水流连续相似 | λt=λ1/λu | (9) |
河口常较为宽浅,边壁阻力可以忽略,从而λR≈λh;由C=1/nR1/6,经相似变换,(8)式可改写成
| (8') |
水流运动的主要相似条件如表1所示。对具宽浅特性的潮汐河口,惯性力与阻力的影响占主导地位,柯氏力影响较小,地转效应一般可以忽略。
模型水流必须为紊流和表面张力限制条件亦如表1所示,相应式中的p.m脚标分别表示原型与模型,Re为雷诺数,V为断面平均流速,Δ为床面糙度,对于平整河床,当d>0.5mm时,取Δ=d50,当d≤0.5mm,取Δ=0.5mm,C0为无尺度舍齐系数,ν为水的运动粘滞系数[11]。
3.3 泥沙运动相似
根据潮汐河口一维不平衡输沙方程和河床变形方程
| (10) |
| (11) |
式中A、B、Q、V、S、S*、ω、α、z0与ρ′分别为过水断面积、河宽、流量、断面平均流速、断面平均含沙量、水流挟沙力、泥沙沉降速度、泥沙沉降机率、河底高程与泥沙干密度。运用相似变换,可以得到
悬移相似 |
| (12) |
挟沙相似 |
| (13) |
河床变形相似 |
| (14) |
由于水流挟沙力S*一般以平衡状态下水流能挟带悬移质中床沙质的断面平均含沙量表达,因而,比尺关系(12)~(14)采用一维不平衡输沙方程与河床变形方程推导(由二维方程组可推得同样结论)。
对于变态模型的悬移相似条件,国内长期采用两种不同的相似准则[12],其一如(12)式,另一种为
,还有
,n按|(S-S*)/S*|>1的资料占全部资料的百分数P*分别取0.5、0.75与1.0[13]。林秉南从泥沙扩散方程的原始形式出发,论证了泥沙扩散或掺混相似即相似准则(12)式的唯一性[14],认为扩散或掺混包含了悬浮和沉降,指出后一种及其他表达式是因为推导过程中引入了若干假设,其中包括流速分布式
| (15) |
式中u*为摩阻流速,y为水深坐标。如前所述,变态模型水平向物理量沿铅直向分布并不相似,因而,据以推导的悬移相似的其他表达式均不合理,将(12)式命名为沉降相似也不够严谨。事实上,国内前述几个悬移质河口模型均采用(12)式取得了验证的成功,因此,可把(12)式作为悬移相似条件。
河口河床冲淤交替,因而,对于悬移质动床模型,还应遵循起动相似
| (16) |
式中Vc为泥沙的起动流速。将上述泥沙运动的主要相似条件一并列入表1。
表1 潮汐河口悬移质动床模型主要相似准则 | ||||||
Major similarity criteria of movable-bed model with suspended load for tidal estuary | ||||||
| 相似条件 | 表达式 |
| 相似条件 | 相似条件 | |
水 流 运 动 | 水流连续相似 |
| 泥 沙 运 动 | 悬移相似 |
| |
重力相似 |
| 起动相似 |
| |||
阻力相似 |
| 挟 沙 相 似 | 天然沙 |
| ||
紊流条件 |
或 | 轻质沙 | 冲淤率定试验 确定 | |||
表面张力限制条件 | Hm>1.5cm | 河床变形相似 |
| |||
?
研究悬移质的运移,扬动本系一不可忽视的因素,然由于扬动流速所表达的临界状态,至今尚无公认的明确认识;必须运用悬移质动床模型常是因为悬移质的运动对河床冲淤变化起着决定性作用,此时,悬移与起动的模拟明显比扬动重要;因此,河口悬移质动床模型,扬动可不必作为主要相似条件。仅当河口悬沙与底沙粒径差异较大(如某些发源于近海丘陵的小河河口)、两者对河口河床变形均起着不可忽视的作用、而不得不作成全沙模型时,底、悬沙粒径的较大差异使扬动相似对于悬移质已显得比起动重要,从而悬移质遵循悬移与扬动相似准则,推移质则服从起动相似条件。
4 模型沙选择
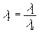
悬移质动床模型主要根据悬移与起动相似条件选沙。对容易获得的几种模型沙,按d50各初选几组粒径,结合模型沙其他特性、购买难易与费用,选悬移与起动均符合较好者。河口悬沙级配多较均匀,在按d50模拟的同时,使原、模型沙的拣选系数
接近便可基本满足要求。若级配极不均匀,可采用分级模拟。含盐度的絮凝影响常以下述方式解决:原、模型沙沉速试验分别按实际含盐度与清水考虑,从而可避免盐度的模拟。
模型沙的起动流速最好采用水槽试验值,原型沙则取实测含沙量曲线拐点处(即含沙量曲线由较平缓转至突然增大的起始时刻)相应的垂线平均流速,如不得不采用公式,则应注意以下两点:
1.河口泥沙的起动流速明显小于相同粒径的河流泥沙起动流速。其原因是河口泥沙因径流与潮汐交互作用,上、下游往返搬运,致密实程度较河流低;涨、落交替,流路随时变化,泥沙易在利于滑或滚动的方向起动;涨、落急时段流速梯度显著增加,尤其是强河口,产生由当地加速度引起的附加应力(动力);流速分布随时变化,与河流中近底层流速总是小于中、上层的情况不同。而各家公式均只适用于河流,当粒径较细且水深较大时,对于河口泥沙起动流速,计算值比实际值大得更多。以笔者的经验,当d<0.03mm,H>5m时,张瑞瑾、沙玉清公式相对较为可靠。
2.若原、模型沙起动流速均用公式计算,则不得运用不同公式,否则既有悖于相似理论,又将导致较大误差。以笔者经验,只要原、模型沙起动流速采用相同的计算式,则各家公式的选沙结果往往差异不大——尽管起动流速计算值各不相同。
不同的模型沙各有优缺点,不少人曾认为选用的模型沙不同,河床冲淤形态及其分布虽然一致,但冲淤厚度的定量试验结果常会大相径庭。笔者在闽江水口电站导截流动床模型选沙设计时,对同一试验项目,曾有意识地采用了不同的模型沙,两者不仅河床冲淤形态相似,幅度也非常接近。这说明,只要粒径与级配选择合理,采用不同模型沙不会产生大的差异。但下列不宜采用情况除外。
1)研究边坡较陡的深槽或深潭的冲淤变化且模型变率较大时,最好不用塑料沙,因其水下休止角较小;
2)冲刷变幅较大(动床铺沙因此较厚)且模型沙颗粒较细时,最好不用电木粉,因细颗粒电木粉厚度较大时易板结;
3)长期进行的同一项目试验最好不用煤粉——除非适时更换,因其较易磨损细化;
4)未经防腐处理的木粉只能应用于极短时期的试验,否则腐烂变质特性不一;经CCA防腐剂处理的木粉用量较大时,必须充分凉干(固化),否则,有损人体健康。
5 挟沙相似的满足与时间变态的处理
根据张瑞瑾的研究[15],河道水流挟沙力
| (17) |
式中 K与m分别为系数与指数,S*的单位为kg/m3。
为了反映水流阻力与泥沙密度对水流挟沙力S*的影响,对于河道水流,挟沙力可以单位体积含沙量表示[12]
| (17') |
式中 f、fs分别为清、浑水的阻力系数,C1为常数,ρs、ρ分别是泥沙与水的密度。取
,λR=λh,λω=
λu,可得悬移质河流模型挟沙相似
| (13') |
遵循这一原则,不少河流模型选床沙中某粒径如P=5%作为界限粒径,认为悬沙中较其细者为不参与造订的冲泻质,被排除在原型含沙量之外,从而既使模型含沙量不致太高,又可大大缩短试验时间。
对于潮汐河口悬移质模型,当原型沙粒径极细,粘结力已处于主导地位而模型比尺较为适当,从而可采用比原型沙粗一些的天然沙模拟时,由(13')式,λS=1,即Sp=Sm,此时ρ'sp?与ρ'sm虽不相等,但差异不大,从而λt′≈λt。
然而,对大多数河口模型,为同时满足起动与悬移相似要求,不得不采用轻质沙,这时λρ′>1,λS<1,从而λt′>λt(如采用(13')式,则λS<<1,λt′>>λt),出现所谓时间变态问题。如下边界潮汐按λt′均匀缩短,则潮型将变得极其尖瘦,流速过程会受到极大歪曲,泥沙运动亦难以相似。为此各单个潮汐仍由λt控制以保证水流相似。由于(11)式为一较严谨的理论方程,由其导出的河床变形相似准则(14)必须满足,为此取代表性较好的由若干个潮组成的基本单元,基本单元数即试验总潮汐数服从λt′的要求。即为解决采用轻质沙引起的时间变态问题,单个潮波引起的河床变形应相当于θ=λt′/λt个潮汐的作用,如遵循(13’)式的挟沙相似条件,则
?? | (18) |
即θ仅为原、模型沙干密度与密度的函数,事实是θ还与单个潮汐特性、控制潮型的选择及原、模型含沙量有关;其次,式(17)为一半经验公式,其理论基础是S*∝V3,而对于潮汐河口,水流挟沙力的关系更不甚明了,比如淤泥质河口,挟沙力不仅取决于水流的剪切力,还与起始含沙量密切相关[16],非淤泥质河口,也并非都与流速有3次方关系,如钱塘江河口其半潮平均的S*与V2成比例;此外,河口悬沙级配一般较为均匀,底、悬沙差异明显小于河流,上述界限粒径常难以确定,结果原型含沙量难以作显著减少处理,遵循(13’)式不仅会使模型含沙量过高,试验难以进行,而且将产生过于严重的时间变态,尤其当采用密度较小的轻质沙时,这对于潮流随时间变化迅速剧烈的河口模型,必将产生更大的误差。综上所述,潮汐河口悬移质动床模型在采用轻质沙后,尤其是采用密度较小的轻质沙,则挟沙相似现阶段只能取决于冲淤率定试验,即假定若干λS,由λS=Sp/Sm得模型含沙量Sm,用(14)式计算各相应的λt′,以λt与λt′分别控制单个潮汐与总潮数,采用冲淤与实际符合较好之λS与λt′值。
研究大范围滩、槽冲淤变化,宜选包括大、中、小潮且具有周期性如半月的连续潮型,由于潮汐河口诸水力要素多与潮差关系密切,因而基本单元的选择除必须包含具有实测流沙资料的时段外,还应尽可能使其平均潮差与所代表时段的平均潮差接近,潮差分组的累计频率两者也不要有大的差异[7]。研究挡潮闸下游的淤积,可选大潮与特高大潮的组合;闸下冲刷及其他局部冲刷问题,则选大潮与特低大潮的组合。
径流随时间的变化比潮流缓慢得多,而且没有潮流那样短的变化周期,故可按河床变形的时间比尺统一缩短。若所讨论的问题主要取决于潮流,则上边界径流可取代表时段的均值或简单概化成几个梯级;如径流的作用不容忽视(洪水期)或所论问题与潮汐与径流的遭遇密切相关,则将径流概化为若干梯级后,计算各级流量出现频率,各级流量与典型站各组潮差遭遇的频率,以此为依据,适当兼顾径流过程,将径、潮流予以合理组合,再按λt′统一缩短。
6 结语
1.潮汐河口悬移质动床实物模型水流运动必须遵循连续,重力与动床阻力相似,满足紊流和表面张力限制条件,泥沙运动必须服从悬移、起动与河床变形相似条件,如模型可以采用天然沙,还应满足相应的挟沙相似条件,若不得不采用轻质沙,则挟沙相似模拟的含沙量现阶段只能由冲淤率定试验确定,尤其当模型沙密度较小时。
2.潮汐河口悬移质动床模型主要由悬移与起动相似条件进行模型沙选择,模型沙选定后的动床阻力应不大于阻力相似要求之值,因为模型加糙容易减糙难。
3.选轻质沙后,河床变形的时间比尺λt′将远大于水流连续的时间比尺λt。由于潮流随时间的变化迅速剧烈,因而各单个潮汐只能由λt控制,从而保证水流运动相似;再选择代表性较好的由若干个潮组成的基本单元,基本单元数即试验总潮数取决于λt′,这样可同时满足河床变形相似条件。上游径流随时间的变化远较潮流缓慢,可按λt′统一缩短。
1 钱宁,张仁,周志德。河床演变学。出版社,1987年。
2 薛鸿超等。长江口江心沙北泓河段淤积模型试验报告。华东学院,1979.9.
3 罗肇森等。潮汐河口悬沙淤积和局部动床冲淤模型试验——射阳河闸下裁弯实例。泥沙模型报告汇编,1978年。
4 张定邦等。某河口潮汐浑水试验报告。部天津水运工程科学研究所,1976.12.
5 钱塘江工程管理局。钱塘江动床模型浑水试验嗅。泥沙模型报告汇编,1978年。
6 熊绍隆等。秦山核电二、三期取水口淤积试验研究。浙江科技,1991(3).
7 熊绍隆等。杭州湾北岸深槽冲淤变化试验研究。学报,1994(10).
8 杨树森等。营口港西水道泥沙淤积和局部动床模型试验研究。交通部天津水运工程科学研究所,1990.6.
9 熊绍隆等。钱塘江尖山河湾南股槽整治动床试验研究。浙江省河口海岸研究所,1996.12.
10 熊绍隆等。海宁市尖山一期促淤围垦工程泥沙淤积试验研究。浙江省河口海岸研究所,1997.6.
11 窦国仁。全沙模型相似律及设计实例。泥沙模型报告汇编,1978年。
12 谢鉴衡。河流模拟。电力出版社,1990.4.
13 李保如。我国河流泥沙物理模型的设计方法。水动力研究与进展,1991.12(增刊).
14 林秉南。对悬移质变态动床模型试验中掺混相似条件的剖析。人民长江,1994(3).
15 张瑞瑾,谢鉴衡,王明甫,黄金堂。河流泥沙动力学。电力出版社,1989.6.
16 Partheniades E., J.F. Kennedy, R.J. Etter and R.P. Hoyer, Investigations of the Depositional Behaviour of Fine Cohesive Sediments in an Annular Rotating Channel, Rep. No 96, Hydrodynamics Lab., M.I.T., June,1966.
17 胡玉棠等。大田港闸水工模型试验报告。浙江省水电科学研究所,1989.9.




