无烟煤均质滤层过滤技术试验研究及工程应用
摘要:本文介绍了无烟煤均质滤层过滤技术试验研究内容和结果;简略阐述了滤速与产水量的关系、滤料粒度对过滤效能的影响、L/d值的重要性以及为保证滤层均质状态的气水反冲洗过程;文章还介绍了北京市第九水厂二期无烟煤均质滤层滤池的主要设计参数和生产运行测定结果。
关键词:无烟煤 均质滤层 过滤效能
自从快滤池取代慢滤池以来的几十年间,普通砂滤料过滤技术已经十分成熟,得到极广泛的应用。但是普通砂滤池滤层经膨胀状态下反冲洗后形成上细下粗颗粒的逆向级配,在一般正向过滤的情况下纳污能力距理想滤层相距甚远。煤砂双层滤料滤池和煤砂磁铁矿三层滤料滤池在滤层结构上取得了重大进展,但由于铺设、分层、反冲洗等问题,使建立在快滤机理上的过滤潜力难以充分发挥。以不膨胀或低膨胀、气水反冲洗为基础条件的均质滤层过滤由于滤料颗粒在滤层垂直方向分布的均匀性,在滤厚度与滤料粒径比合理的情况下,滤料粒径适当加大,提高了纳污能力;滤层厚度适当加深,保证了滤后水质。这样使滤池单位面积周期产水量增加,即或可提高滤速或可延长过滤周期,同时降低反冲洗耗水率,降低建设投资,带来更多的和社会效益。虽然近几年法国V型滤池引入我国,但我国尚缺乏一套完整、系统的理性认识和参数群,为此建设部立项、北京市市政工程设计研究院开展了《均质滤层过滤技术研究》。该项目是建设部“八五”重点科技项目,其成果获九八年建设部科技成果二等奖、九九年建设部重点科技推广项目。本文仅就无烟煤均质滤层过滤试验研究及在北京市第九水厂二期工程中应用情况作简要介绍。
1 试验流程与试验内容
1.1 试验流程及装置
试验工艺流程见图1。

混合采用快速轴流式机械搅拌。絮凝采用波形板竖流式三段絮凝。沉淀为侧向流波形斜板沉淀。
试验滤池为筒式结构,构造示意见图1。滤池筒体直径1.2m,总高5.2m,过滤面积1.13m2。垫层为级配河卵石。滤头为窄缝式长柄滤头。
应当指出,本试验滤池规模已达到生产性规模,试验水量大是本试验与一般过滤试验显著不同的特点之外,由于滤池直径大而大大降低了湿周对过滤的影响,使试验滤池反冲时的状况特别是形成的滤层与实际生产更为接近。
1.2试验方案与内容
试验原水分浊水与配浊水。
无烟煤滤料粒度分三种:dmin--dmax=1.00--2.00mm、d10=1.10mm;
dmin--dmax=1.25--2.50mm 、 d10=1.33mm;
dmin--dmax=1.43--2.80mm 、 d10=1.48mm。
滤料厚度分二种:1.1m和1.5m。
滤速分二种:10m/h和20m/h。
反冲洗方式为气、气加水、水三段式气水反冲洗,膨胀率为7%。气冲阶段气冲强度15—17L/m2.s、历时3min;气水同时冲洗阶段气冲强度不变、水冲强度4--5 L/m2.s、历时3--5min; 水冲阶段强度6--20 L/m2.s、历时5--8min。
过滤方式为等滤速定水头过滤。
2 试验结果与讨论
2.1 试验结果
将试验变量恰当组合安排,组合排列过滤试验8组,每组试验分别进行3--6个过滤周期,试验结果见表1。
| 序 | 进水条件 | 前处理条件 | 有效粒径 | 厚度m | 滤速m/h | 膨胀率% | 进水浊度ntu | 沉淀出水浊度ntu | 过滤出水浊度ntu | 周期h | 产水量m3/m2 | 试验次数 |
| 1 | 自然浊 | 常规 | 1.10 | 1.5 | 10 | 7 | 0.73 | 0.63 | 0.17 | 46 | 460 | 3 |
| 2 | 自然浊 | 常规 | 1.33 | 1.5 | 10 | 7 | 0.76 | 0.63 | 0.19 | 55 | 550 | 3 |
| 3 | 自然浊 | 常规 | 1.10 | 1.5 | 20 | 7 | 1.08 | o.73 | 0.23 | 23 | 460 | 5 |
| 4 | 自然浊 | 常规 | 1.33 | 1.5 | 20 | 7 | 0.86 | 0.64 | 0.19 | 28 | 560 | 6 |
| 5 | 配浊 | 常规 | 1.10 | 1.5 | 10 | 7 | 24.34 | 1.20 | 0.13 | 38 | 380 | 4 |
| 6 | 配浊 | 常规 | 1.10 | 1.5 | 20 | 7 | 26.30 | 3.43 | 0.20 | 20 | 400 | 4 |
| 7 | 配浊 | 直接 | 1.10 | 1.1 | 10 | 7 | 10.20 | 0.21 | 22 | 220 | 3 | |
| 8 | 配浊 | 直接 | 1.48 | 1.1 | 10 | 7 | 10.20 | 0.25 | 28 | 280 | 3 |
试验结果表明,对于本试验用原水,选取本试验用参数,可获得高质量的过滤出水,周期过滤出水平均浊度低于0.3NTU。
2.2讨论与分析
2.2.1滤速与周期产水量
将表1中滤料粒径相同、前处理条件相同、滤速不同的过滤试验滤出水浊度和单位面积滤池周期产水量整理,得表2。
| 粒径mm | 前处理条件 | 单位面积周期产水量m3/m2 | 差值 | 试验序号 | |
| 滤速10m/h | 滤速 20m/h | ||||
| 1.10 | 自然浊常规 | 460 | 460 | 0 | 1 ;3 |
| 1.33 | 自然浊常规 | 550 | 560 | 10 | 2 ;4 |
| 1.10 | 配浊常规 | 380 | 400 | 20 | 5 ;6 |
从表2可以看出,10m/h滤速时单位面积滤池周期产水量和20m/h滤速时相差无几,有的滤程没有差别。这说明滤速的大小(至少在10m/h--20m/h范围内)对过滤周期产水量影响不大。
美国洛杉矶水厂粗滤料厚滤层滤池建设前的研究报告( Weter Treatment Pilot Studies for the Los Angeles Aqueduet ) 称:“试验原水经预臭氧,通过厚6英尺的无烟煤滤层过滤,滤速13.5加仑/英尺2.分,其滤程为28小时;滤速18加仑/英尺2.分,其滤程为22小时。两者滤程产水量分别为22700加仑/英尺2和23800加仑/英尺2。”说明滤速变化对滤池产水量无大影响。
如是,在评价滤池特性时,单位面积滤池周期产水量可以作为一项评价因素,而滤速对其影响可以略去。这为设计中适当提高滤速提供了实践上的支持。
2.2.2 滤料粒度对过滤的影响
按唯象观点即不涉及机理,认为过滤是水中被截留的过程,被截留的充塞于滤料间的孔隙中。在同种滤料、相同反冲洗条件下,滤层孔隙尺度以及有效孔隙率随滤料粒度的加大而增加。即滤料粒度越粗,可容纳的有效空间越大。其表现为过滤能力增强,截污量增大。同时,滤层孔隙度越大,水中能被更深地输送至下一层滤层,在有足够保护厚度的条件下,可以被更多地截留,使中下层滤层更好地发挥截留作用,滤池截污量增加。
从力学特性讲,过滤水流在滤料层中的流动与滤料颗粒间的水流剪力则具有使被截留吸附在滤料颗粒表面的剥落的可能,并同时产生附加水头,即产生水头损失。滤料粒度增大,孔隙尺度加大,有效孔隙空间增加,过水通道尺度大,过滤水流阻力减弱,水头损失增量将得以延缓,其结果达到规定水头损失的过滤周期得以延长,产水量得以增加。
下列表3是无烟煤滤料不同粒径过滤能力比较的试验数据。
| 组别 | 试验序号 | 有效粒径 mm | 滤速 m/h | 进水浊度NTU | 出水浊度NTU | 截留浊度NTU | 周期产水量m3/m2 | 过滤能力指数 | 比值 |
| A | 1 | 1.10 | 10 | 0.63 | 0.17 | 0.46 | 460 | 211 | 1:1.15 |
| 2 | 1.33 | 10 | 0.63 | 0.19 | 0.44 | 550 | 242 | ||
| B | 3 | 1.10 | 20 | 0.73 | 0.23 | 0.50 | 460 | 230 | 1:1.10 |
| 4 | 1.33 | 20 | 0.64 | 0.19 | 0.45 | 560 | 252 | ||
| C | 7 | 1.10 | 10 | 10.20 | 0.21 | 9.99 | 220 | 2197 | 1:1.26 |
| 8 | 1.48 | 10 | 10.20 | 0.25 | 9.95 | 280 | 2786 |
表中“过滤能力指数”为:过滤进出水浊度差即截留浊度与周期产水量的乘积(截污能力)。
A组和B组试验表明,有效粒径1.33mm滤料的过滤周期产水量大于有效粒径1.10mm的周期产水量;有效粒径1.33mm的过滤能力指数高于有效粒径1.10mm的过滤能力指数,比值表明过滤能力高出10 %~15%。C组试验表明,在周期产水量和过滤能力指数方面,有效粒径1.48mm更高于有效粒径1.10mm。
然而,应当看到,随着滤料粒径的加大,虽然能更多地发挥下层滤料的截污作用,但同时对穿透深度带来影响。即在其他条件等同时,粒径越粗穿透深度越大,其表现为粒径粗的滤料过滤出水浊度较粒径细的滤料高,或是粒径粗的滤料截留浊度比粒径细的滤料低。
A组和C组数据表明,其他条件特别是进水条件等同时,有效粒径1.33mm和1.48mm滤料较有效粒径1.10mm滤料的过滤出水浊度高,截留浊度低。B组数据表明,由于进水浊度不同,虽然有效粒径1.10mm滤料的过滤出水浊度不如有效粒径1.33mm滤料,但其截留浊度高。
粒径变化对过滤出水水质和截留浊度的影响引出下面有关L/d的讨论与研究。
2.2.3 关于L/d
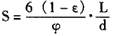
从严格的理论上讲,滤层所具有的对的截留作用来自滤料所具有的表面积。慢滤池的过滤能力主要地来自筛除作用,而快滤池的过滤能力主要来自滤料颗粒表面的吸附作用,这是快滤池与慢滤池过滤机理最主要的不同之处。在过滤过程中滤料所提供的表面积越大,对水中的附着力越强。为要达到一定的预期的水质要求,滤料所提供的表面积应表现为:单位面积滤层所提供的表面积必须满足某一最低量值的要求,相互关系可以如下数学表达:
(JAWWA1975)
式中:S----滤料表面积
ε----滤层孔隙度
φ----滤料球形度
L----滤层厚度
d----滤料的几何平均粒径
从上式各参数的相互关系可以看出,随着滤料颗粒粒径加大,孔隙度加大,所提供的表面积变小。滤层表面积减少的结果必然会降低过滤能力。这反映出粒度加大对过滤效果带来的负作用。
这个式子同时也清楚地表明,在滤料球形度一定也即滤料种类一定的情况下,能够抵消粒度变化负面影响的只有滤层厚度、即L。这样,此式中的L/d成为关键因素,它决定了滤料所能提供的表面积的大小也就决定了过滤性能。
由此引伸出L/d这一概念。从技术角度讲,L/d值越大越好。而综合经济因素,工程中应以最小L/d值满足提供最低量值的滤料表面积达到预期的过滤出水水质要求。在实践中,选用优良的滤料级配和滤层厚度正是保证过滤效能的关键。因此,L/d受到滤池设计人员的日益重视。
我国《城市供水行业2000年技术进步规划》提出:“为保证水质滤层深度与粒径之比应大于800。”在其子课题《改善过滤效能》中指出:“运用L/Dm≥800判别式判断分析滤池滤料级配的合理性或比较其优越性。”这里的Dm为平均粒径。美国《Intergrated Design of Water Treatment Facilities》提出,“1.5mm≤d≥1.0mm的单层滤料滤池L/d≥1250。”这里的d为有效粒径。本试验用滤料L/d值见表4。
| d mm L/d Lmm | 有 效 粒 径 mm | 平 均 粒 径 mm | ||||
| 1.48 | 1.33 | 1.10 | 1.83 | 1.65 | 1.36 | |
| 1500 | 1028 | 1364 | 909 | 1103 | ||
| 1100 | 743 | 1000 | 601 | 809 | ||
将试验中除粒径不同而其他条件特别是进水浊度相同时的L/d值和试验结果列表如表5。
| 组别 | 试验序号 | 有效粒径mm | 滤速m/h | 进水浊度NTU | 出水浊度NTU | L/d |
| A | 1 | 1.10 | 10 | 0.63 | 0.17 | 1364 |
| 2 | 1.33 | 10 | 0.63 | 0.19 | 1028 | |
| B | 7 | 1.10 | 10 | 10.20 | 0.21 | 1000 |
| 8 | 1.48 | 10 | 10.20 | 0.25 | 743 |
注:d为有效粒径
表5清晰地表明,L/d值大的出水浊度比值小的低。
以上只是试验数据,设计应用时需根据具体情况予以调整。依据试验研究和北京市第九水厂二期工程应用情况,我院提出了设计采用的推荐值(本文从略)。
2.2.4 均质滤层反冲洗
为保证滤层反冲洗后具有足够的清洁度,又能接近均质状态,目前理想的办法是采用气、气水、水的三段式气水反冲洗技术。近年来,国内不少人对气水反冲洗进行了较为深入的研究。几乎所有都认为三段式气水反冲洗比二段式气水反冲洗更为理想,并从机理上进行了探索,本文在此不作赘述。
在滤池充水并在滤床层面上保有一定水深条件下先进行单独气冲,一方面通过滤料颗粒间相互磨擦使滤料上粘附的污泥脱落,一方面达到使滤层搅动为均质的目的。经过一段时间的气冲后,不停气且气冲强度无须改变的同时加入水冲,水冲强度很小,只要能使脱落的污泥在合宜的时间内升至排水槽即可。气水联合反冲是能否使滤层洁净的关键。单独气冲时脱落的污泥在此阶段因气冲保持滤层流化状态下加上水冲被有效地托至上层。第三阶段停止气冲,滤料回落为固定床,使脱落的污泥滞留在上层,随后的水冲只是漂洗过程,主要是将上层的高浓度泥水托出滤池,同时进一步清除滤层中剩余的脱落污泥,使滤层达到较彻底的净化。最后的水冲洗应遵循二条原则,一是不使均质滤层状态受到破坏,二是按冲洗要求要能够使滤层中剩余的脱落污泥被有效地去除。
本试验选用7%膨胀率获得了满意的滤后水质,说明此程度的膨胀率及相应的水冲强度可以使滤层保持接近均质状态。
3 北京市第九水厂二期工程滤池
3.1 滤池主要设计参数
北京市第九水厂二期工程滤池设计应用上述研究成果,建成无烟煤滤料均质滤层滤池,处理能力50万m3/d。
其主要设计参数如下:
滤料粒径范围dmax~dmin=2.0~1.0mm; 有效粒径d10=1.10mm; 均匀系数K60=1.35; 滤料层厚L=1.5m。
设计滤速V=7.60m/h; 强制滤速V=7.93m/h。
三段式气水反冲洗,气冲阶段气冲强度q=20L/m2.s、历时t=3min; 气水同时冲洗阶段气冲强度不变,水冲强度q=3~4L/ m2.s、历时t=2~3min; 水冲阶段水冲强度q=8L/ m2.s、历时t=5min。膨胀率η=0。
3.2 生产运行测定结果
该工程96年投产,97年6--8月进行了生产运行测定。结果见表6。
| 序号 | 日期 | 原水浊度NTU | 滤池进水浊度NTU | 滤池出水浊度NTU | 周期h | ||||||
| 最高 | 最低 | 平均 | 最高 | 最低 | 平均 | 最高 | 最低 | 平均 | 平均 | ||
| 1 | 6.24-6.28 | 1.29 | 0.60 | 0.84 | 1.15 | 0.51 | 0.68 | 0.23 | 0.06 | 0.14 | 48 |
| 2 | 7.31-8.4 | 5.00 | 1.65 | 3.30 | 3.30 | 1.10 | 2.04 | 0.23 | 0.03 | 0.11 | 38 |
| 3 | 8.21-8.24 | 37.8 | 10.8 | 19.7 | 9.40 | 4.60 | 7.44 | 0.69 | 0.09 | 0.26 | 36 |
需要指出的是,表中所列过滤周期终止时水头损失并未达到设计最大值,其时水头损失只有设计值的三分之二。
应当特别说明的是,生产运行的膨胀率与试验用膨胀率不同,实际运行滤料确无膨胀。
测定结果表明,滤池过滤性能良好,获得高质量的出水。
4 简要结论
4.1 试验研究和生产实践表明,无烟煤均质滤层过滤可获得满意的过滤效果,证明均质滤层过滤是一项先进的水净化技术。
4.2在试验选择的粒径范围内,粗滤料的过滤周期产水量大于相对较细的滤料,并有一定程度的定量概念。但为要达到相同的滤后水质,滤料表面积大小是决定截留作用大小的因素。然而粒度粗的单位面积滤料所具有的表面积小,能够抵消粒度增大带来这种负面影响的因素只有靠滤层厚度的增加。这样便形成了为要满足某一最低单位面积滤层所提供表面积量值的要求而形成L/d最小值的概念。显然,L/d成为达到某一过滤效果的保证条件,是滤池设计需要着重考虑的因素。
4.3 低膨胀或不膨胀三段式气水反冲洗是保证滤层均质的关键。气冲使滤层形成均质状态并使污泥剥落,气加水联合冲洗使污泥升至滤床上部,最后水冲漂清滤层。试验表明7%膨胀率仍可使滤床接近均质状态,生产实际表明不膨胀反冲洗仍获得清洁滤床。