建立工程计算数学模型的新尝试
摘要:本文探索建立集成地理信息系统技术和智能技术的一种新计算模型,用于实现对宜昌市葛洲坝地区自来水管网地理信息的动态管理和供水优化调度。本文介绍了建立地理信息系统(GIS)和人工神经(ANN)集成计算模型的思路,进一步给出了建立2个新模型的流程,从而诠释了在复杂系统中构筑神经网络,利用它的自学习、自组织和自适应能力,实现对关系错综复杂的信息的处理,进一步实现模拟现实问题,求解不确定性问题的高级功能。本文还介绍了利用上述模型可以实现地区自来水管网局部堵塞和局部泄漏的自动报警,以及管网用水的优化调度。
关键词:数学模型 管网 地理信息系统 人工神经网络 建模
在工程实践中,由于我们对研究对象本身认识的局限性,使得我们通常使用的工程模型具有局限性,需要在实践中不断随应用的需要得到修正和更新。随着许多新的研究技术和工具的出现,许多新的技术被应用到工程实践中来,现在的研究热点:地理信息系统(GIS)和人工神经网络(ANN)技术也不例外。ANN可以实现对非化数据集进行非线性自适应处理,GIS提供了实现海量数据管理、工程模拟以及动态预测的功能。从工程实际出发,集成先进的GIS和ANN技术建立新的模型,为工程实际提供决策支持,这是建立工程计算数学模型的新尝试。
1 探索新的建模思路的必要性
在工程实践中,为了能够数值求解和求解方便,那些经典的工程模型往往是忽略了一些次要的影响因素,并对客观环境条件作出诸多假设限制,计算结果只反映属性间的一定数量关系。随着各学科研究的深入,研究的手段也随着科技进步而不断更新,人们研究的问题明显复杂化,研究的问题也明显倾向于不确定性和模糊性,从而对模型的自学习、自组织和自适应能力提出了很高的要求。
另外,随着计算机技术的进步,带动了数学建模技术的飞速。但是目前这种应用还多是简单的停留在提高计算速度上,没能将计算机技术植根于研究的实际工程问题中,根据实际问题量身定制模型。出于实际工作的需要,用于科学研究的工程计算模型不断被改进,甚至某些领域放弃了原有模型,根据某些新的理念,实现了从更高的水平建立新的模型。
2 一种新的建模思路
在对宜昌市葛洲坝地区的城区供水管网监控研究中,需要对供水管网系统中海量数据进行管理,并对系统工况进行精度较高的计算。鉴于地理信息系统对各种数据的强大管理能力,而且国内部分城市已经有了自来水管网地理信息系统的成功经验,所以数据管理的功能借助现成的GIS软件就能实现。但是,由于葛洲坝地区的实际情况的特殊,传统研究方法很难保证计算精度,工况计算是研究工作的瓶颈。
以往进行管道水力工况计算都是根据管道布置形式,采用水力损失进行计算。计算过程一般是通过测定管道首端水压力,根据测得的首端压力、管道布置形式、管径、流量、管道长度以及各种局部水头损失一步一步向某点推进,并最终求得该点理论上的压力值,然后与装在该点的压力表的实测值进行比较,从而判断管网的工作状况是否良好。基本的计算公式是:
h0+H0=hi+Hi+∑hs (1)
式中:h0为水厂进水口的自由水头(m);H0为水厂进水口的高程(m);hi为待检查节点处的工作水头(m);Hi为待检查节点处的高程(m);hs为包括从水厂进水口到待检点的沿程和局部水头损失(m).
在工程实践中,上述公式中的∑hs包含了一些目前尚不能解析的影响因数,所以通常的计算方法是采用经验公式,并以往的统计数据对管网参数进行选取,显而易见,在计算过程中加入了太多的人为因素。
在葛洲坝地区供水管网监控系统的研究工作中,需要建立管道堵塞和泄漏等异常状况的报警系统,实现对宜昌市葛洲坝地区供水管网的工作状况实现动态跟踪,并在此基础上实现供水区内的优化供水。
宜昌市葛洲坝地区是原葛洲坝工地演化而来,供水管网布局复杂,而且存在一些不明工况,因此管网系统,具有以下特殊性:⑴宜昌市葛洲坝地区是在原来的葛洲坝工区的基础上发展而来,现有的供水管网由施工时的临时管网扩建而成,加上前些年管网资料存档工作的疏忽,导致现有供水网络存在较多的不明管道;⑵原有管道系统随着用水区域扩大而逐步延展,但是扩建工程没有较好地统一规划,导致现在管网异常复杂,用传统方法很难进行管网解析;⑶由于当时施工影响,不少原有管段存在程度不同的堵塞和泄漏,但是没有具体勘明;⑷原有管网材质是基于临时使用选用的,不少的管道已经严重锈蚀;⑸还有一些当年的临时塑料管至今没有废除,加重了供水管网的复杂性。
由于以上原因,用传统的管道计算模型很难奏效。如果将其作为不确定性问题来处理,利用人工智能(AI)技术对事物和环境具有的自学习、自适应、自组织能力的特点,计算过程加入计算智能,不再探求作用要素和结果之间的显性函数关系,通过计算智能技术直接对自来水管网地理信息系统中众多的数据进行处理,求解决策支持信息。这就是集成GIS和ANN两大前沿技术构筑更加符合当前实际工况的计算模型。
利用地理信息系统软件管理海量信息数据,利用编程实现ANN分析决策,再用开发软件将两者集成为一体,形成一个具备地理信息管理和决策支持的模型。这种新的模型能够根据实际情况的变化实时更新,实现模型与现实的同步性,从而保障计算结果的有效性,为决策提供强有力的支撑。
整个系统利用流行的GIS软件MapInfo建立葛洲坝地区管网信息管理平台,管理管网信息数据,用Matlib和Visual C++编程实现工况计算ANN模型,利用二次开发软件MapBasic将后者嵌入前者,整合成一个完整的系统,最终建立起一个功能齐备的宜昌市葛洲坝地区自来水管网地理信息管理系统,然后投入运行,利用系统具有的自学习、自适应和自组织特性,实现对管网系统的动态管理。
3 两个模型
根据上述思路,对葛洲坝地区的管网管理系统实际提出了两种解决方案:一种是利用传统管网模型得出显性函数,再在函数表述中附加修正量(以人工神经实现),以实际采样数据作为神经网络的训练数据,最终得到跟管网实际接近的计算模型;

注:1、图中的T0为系统稳定运行周期,根据管网实际情况事先给定;
2、图中标注★的模块需要从外部获取信息,需要人为干预。
图1 基于ANN和GIS的计算模型(甲方案)
另一种是完全抛开原来的模型思想,直接通过采样数据训练神经网络,得到待预测节点的水力学参数与管网其他影响因素的数量关系,整个计算过程位于神经网络的“黑箱”中。下面分别用图示阐述两种方案的建模流程(以某一特定的待检节点为探讨对象)。
针对上述两种模型方案,进一步解释如下:甲方案中利用了原来的计算模型,是对管网水力学计算系统的升级,优点在于计算过程反映了各作用因素与待检节点水力参数之间的具体函数关系,然后再进行修正,符合人们一贯的计算思路,方案乙完全摒弃既有计算模型的影响,从最初的涉及因素分析开始,建立没有显性映射关系的计算智能系统,提高工作效率,并从真正意义上建立起了新的计算模型。上面两个方案都是根据宜昌市葛洲坝地区的供水管网提出并实施的,是真正意义上的“量体裁衣”,只适用于研究的具体问题,当研究对象变化时,计算模型也会不同,但是模型在本质上是一致的,这种在大型地理信息系统中内嵌计算智能计算模型的建模新思路具有广阔的应用前景。
4 工程应用
葛洲坝地区管网存在较大的堵塞和泄漏隐患,并难以判定故障节点和及时排除故障,这不仅降低了城区供水的质量,并且大大减小了供水公司的效益。同时,现在的供水方案是根据以往经验得出的,成本较高,蓄水池没有得到充分有效的利用。
注:1、图中的To为系统稳定运行周期,根据管网实际情况事先给定;
2、图中标注★的模块需要从外部获取信息,需要人为干预。
图2 基于ANN和GIS的计算模型(乙方案)
利用管网地理信息系统和新建立的计算模型对管网日常运行水力数据(各预设节点的流量、压力等)进行处理,主要达到两个方面的目的:(1)建立管网故障(堵塞和泄漏)报警和定位机制,提供维修方案的智能决策支持;(2)优化城区供水调度方案,降低供水成本。
4.1 管网动态管理,故障报警定位 在故障报警,节点定位的处理时两个模型分别采用了两种不同的方法:
甲方案通过比较控制点群(布置在管网的末级)的水力学公式计算流量(Q0)与实测流量(Q测)的差异,考虑到系统误差的影响,当节点Q测小于Q0一定范围,认为系统出现故障,然后根据管网GIS拓扑逐级递推,逐级比较实测值与计算值差异,从而判断堵塞或泄漏故障,探求故障节点,将该故障处的实际管路的水力学和地理信息显示于人机交互界面,并进一步给出维修的实施方案(主要阀门关闭方案)建议。
乙方案利用人工神经网络解决非性问题的特点,通过对管网所有的各预设节点的水力学参数的实测值和前一正常运行状态下的实测值(该数据库在人为控制下实时更新)进行对比,当二者出现局部不协调并达到系统误差极限以上,认为该局部出现故障,然后利用ANN分析并定位故障节点,判断故障原因。系统自动根据故障判断结果分析维修方案并进行优化,然后将故障节点和故障原因分析结果显示于人机界面,同时建议维修方案。
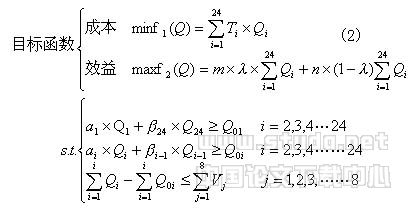
4.2 管网优化调度 管网有8个蓄水池,为降低管网运行成本,我们利用最优化理论的方法,建立优化模型,利用低谷电和高峰电的价差,通过优化调度方案的实施,达到降低成本的目的。建立如下优化计算模型:

式中:Ti为第i时段电力单价(元/m3);Qi为第i时段供水量(m3);m,n为、生活用水单价(元/m3);λ为工业用水所占比率;α为本用水时段内,本时段供水比率;β为本用水时段内,前一时段供水比率;Q0i为第i时段实际需水量(m3);Vj为第j个蓄水池容量(m3).
由于需水量是季节和是否工作日(如图3所示)等因素的函数,模型将分别按季节并区分工作日、节假日进行供水方案的优化计算。建模过程中,用管网供水的水量代替城区蓄水量,按1h的时间间隔统计数据,然后利用人工神经网络对统计数据进行模拟,得出“时间~需水量”函数,然后得出该运行情况下的各时间段的需水量(Q0i,i表示时间段),构成优化模型中的约束。

图3 2001年暑期需水曲线(神经网络模拟结果)
经模型优化计算后得到各时间段蓄水池注水量的优化调度方案。考虑到现实生产生活的变化,“时间~蓄水量”函数需要在人为干预下不断更新,以与实际的蓄水情况相符合。
5 应用前景
这种新的模型思路,使得很多通过先进的仪器设备获得的海量试验数据有了用武之地,也为人们利用模型计算现实中的模糊问题以及不确定问题提供了雏形。例如,在基础工程建设中,我们可以利用这种思路建立新的非线性应力计算模型,利用信息系统管理采集的原始数据,用计算智能计算模型计算应力,得到比现有模型更切合实际的计算结果,从而在大坝、隧道以及地下洞室的施工中更好地为决策服务。同时,由于上述模型思路能够适应模式识别、预测、决策、优化以及网络安全及管理等等研究课题的需要,所以能在学科、工业和经济学领域得到广泛应用。
参 考 文 献:
[1] 徐鼎甲,张玉山。混联水电站群实时联合优化调度[J]。水力发电学报,2001,(3):68。[2] 贺建勋,系统建模与数学模型[M]。福州:福建技术出版社,1995。
[3] 王清印。预测与决策的不确定性数学模型[M]。北京:冶金工业出版社,2001。
[4] 靳蕃。神经计算智能基础原理·方法[M]。成都:西南大学出版社,2000。
[5] 王士同。神经模糊系统及其应用[M]。北京:北京航天航空大学出版社,1998。
[6] 王永庆。人工智能原理与方法[M]。西安:西安交通大学出版社,1998.











