家用空调器制冷剂最佳充注量的确定
摘要:采用分相模型系统中两相区内制冷剂的质量分布,在系统性能模拟的基础上,采用分段累积的方法研究了影响总充注量的因素,提出确定最佳充注量的原则:在制冷量达到要求时,空调器的能效比 EER最大。测定了最佳充注量下各部件的状态,试验结果和理论计算吻合较好。
关键词:分相模型 空调器 稳态性能模拟 最佳充注量 能效比
每一种空调器的设计都存在着如何确定制冷剂充注量的问题,特别是在采用毛细管作节流装置的空调器中,由于毛细管的调节能力较热力膨胀阀差,充注量的变化对其性能影响更大。目前这方面的研究较少,缺少成熟的理论计算方法,各生产厂家只好采取试验手段,依据经验估计值进行多次试验,以最终确定最佳充注量。这种重复的工作不仅费钱,也费时费力。为了使确定最佳充注量变得简单可行,本文在系统稳态性能模拟的基础上,对分体式空调器的最佳充注量进行了计算,并提出了确定系统最佳充注量的原则:当空调器的结构尺寸和工作条件一定,制冷量达到设计要求时,系统的能效比最大。此时,空调器及各部件处于最佳工作状态。本人曾对 KFR - 32GW/H 分体挂壁式空调器反复做试验,理论计算和试验结果很吻合。
1 充注量计算
制冷剂在制冷系统中的状态可分为单相和两相两种,这两部分的制冷剂质量计算应分别考虑。
1.1 单相区质量计算
单相区制冷剂密度计算较为简单,处于单相区的各部分制冷
剂质量可通过积分计算。
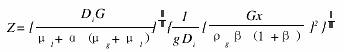
(1)
式中m1为制冷剂质量,kg;ρ为密度,kg/m3;V为容积,m3;Pv为压力,Pa;Tv为制冷剂温度,K。
单相区制冷剂主要存在于蒸发器过热区、冷凝器过冷区、连接管路、压缩机壳体内、过滤器和润滑油中,故单相区制冷剂质量为:
(2)
式(2)中各参数的下标含义为:filt过滤器,pipe管路,oil润滑油,com 压缩机,V 单相区容积。
考虑到压缩机、过滤器、接管内制冷剂温度变化不大,故式(2)中采用平均温度来计算密度。润滑油中溶解的制冷剂量,可根据油质量及制冷剂的溶解度进行计算。
1.2 两相区质量的计算
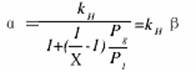
充注量计算的难点在于两相区中制冷剂量的确定,其关键是两相区空泡系数的计算。在两相区空泡系数修正模型的研究和验证方面,不少学者已经做了大量工作。笔者在此基础上,结合空调器的实际工作条件,在稳态工况下,假设换热器两相区单位面积热负荷一定,选用Hughmark模型计算两相区的制冷剂量。其数学表达式为:
(3)
式中α为空泡系数,x为干度,β、kH为系数,其中kH=f(z)具体见表1。

(4)
式中G为质量流速,kg/(m2·s);μ为粘度,Pa·S; Di为管内径,m 。
此模型系数计算中包括α,所以在计算α时必须经过迭代,计算量较大。
两相区中制冷剂量 m2 :
(5)
式中 ls为两相区长度,m;l为制冷剂管长,m。
制冷剂的总充注量m为各部分充注量之和:
m= m1+m2 (6)
2 充注量对空调器性能的影响及试验结果
不同的制冷剂充注量对空调器性能的影响是不一样的。笔者对 KFR-32GW/H 分体挂壁式空调器在不同的充注量下进行了计算和试验。理论计算和试验结果见表2。

试验条件:室外环境温度:35±0.5℃;湿球温度:19.5±0.3℃;室内于球温度:27 ±0.5℃;毛细管规格:长450mm\内径 X1.4mm。
为了验证模型,研究各参数的变化,测定了空调器的稳态参数。借助于稳态计算的结果,沿制冷剂流动方向布置了14对热电偶和两块压力表,测出了各部件进出口参数的变化情况。循环过程测点布置见图1。

制冷剂充注量采用秤测定,其量程最大为6kg,准确度为±2g。加液口与制冷剂钢瓶采用塑料软管连接,当管中为气体时进行测量。
不同充注量下,系统各参数的理论计算和试验结果见图2~7。





随着充注量的增加:
①冷凝压力和蒸发压力均增加(见图2);
②压缩机吸气温度降低,当降到蒸发器出口为饱和或两相状态时,压缩机吸气温度不再下降。由图3可以看出:当制冷剂充注量为690g时,蒸发器出口没有过热度,此时蒸发器的利用效率最高;
③由于压缩机的吸气温度下降,而压比变化不大,压缩机的排气温度下降,这样有利于压缩机的工作稳定(参见图4);
④在690g以下时,随着充注量的增加,制冷量增加很快,而当大于690g后,制冷量增加不多。这主要是由于充注量达740g时,蒸发器出口为两相区,冷量没有充分发挥出来,而压缩机的输入功率随着充注量的增加而增大(图5)。从图6可以看出:能效比有一个明显的峰值,即在690g时能效比最大; 而当充注量大或小于这个值时,能效比均下降,这主要是由于充注量较低时蒸发器出口的过热度较大,传热面积没有充分利用,因此,制冷量下降较大,此时压缩机的输入功率减少并不多。而当充注量较大时,蒸发器出口为两相区,冷量没有充分发挥出来,此时输入功率增加,冷量变化不明显,因此能效比下降。
试验和表明:在最佳充注量附近,空调器的能效比最大,且制冷量也较高。从图3可以看出:此时蒸发器的出口基本为饱和状态,面积得到充分利用。在实测中,冷凝器的出口没有测得过冷度,这是由于工艺结构和测量仪表精度上的原因所致,此时冷凝器的传热面积也得到充分利用。
理论计算最佳充注量为685g,与实际值很接近。
3 影响系统总充注量的因素
3.1 制冷剂流道总内容积
通常,流道内容积越大,制冷剂的充注量也应越多。系统中液管的长度对总充注量的影响较大。
3.2 装置运行所处的工况
当空调器运行所处的工况变化时,它所要求的系统充注量不同。
3.3 毛细管尺寸
毛细管的长度对系统的最佳充注量有一定影响,不同的毛细管长度会改变制冷剂的循环量和空调器所处的工作状态。通过计算和对试件 KFR-32GW/H 分体挂壁式空调器试验,当毛细管长度增加到450mm 时,制冷剂的最佳充注量为 690g。
3.4 润滑油量
制冷剂在润滑油中有一定的溶解度,油中所溶解的制冷剂量随着温度和油量而改变,所以在确定总充注量时应考虑这一部分制冷剂量。
4 结论
①本文采用Hughmark 模型计算家用空调器两相区制冷剂量是可行的,它是整机充注量计算的关键。
②当制冷量达到要求时,以能效比最大来确定空调器的最佳充注量是可行的。
1 Farzad,Mand o’Neal D L.The effect of void fraction model on estimation of air conditioner system performance variables under a range of refrigerant charging conditions. Int J Refrig,1994,17(2).
2 Rice C K. The effect of void correlation and heat flux assumption refrigerant charge inventory predictions. ASHRAE Trane, 1987,93(Part1).
3 张祉祜,制冷原理与设备,北京:机械出版社,1985.
4 刘宪英,孙纯武,周玉礼:降低房间空调器能耗途径的分析,暖通空调,1993,23(5)。











