用DSC测定兔主动脉血管冻结相变区间的表观比热容及其影响因素
胥义 周国燕 胡桐记 高才 华泽钊
摘要:利用差示扫描量热仪(DSC)测定了兔主动脉血管在相变温区比热容的变化;定量研究了不同浓度低温保护剂(CPA)的水合作用对主动脉血管比热容的影响。研究结果表明,二甲基亚砜(DMSO)浓度越大,主动脉血管的比热峰值越小,当浓度达到15%时,其峰值只有0%时的1/2左右;无DMSO时的结合水含量为0.119g/g水,而含15%DM SO时的结合水含量达到0.411g/g水,使得冻结完成后的表观比热反而更大。根据实验数据,修正了已有相变区间表观比热容的关系式,该关系式可应用于对血管进行低温保存时的传热以及热应力模型分析求解。
关键词:工程热物理 兔主动脉 差示扫描量热仪(DSC) 表观比热容
1 引言
血管移植是血管与心脏修补的良好方法,但由于新鲜供体不足,应用受到很大限制。为提高有限供体的利用率,血管组织的低温保存成为人们近年来研究的重要课题[1]。在研究生物组织、食品材料的低温保存过程中,同其它热物性参数一样,比热是冷冻医疗、食品冻藏装置设计的基本参数,也是理论分析其冻结过程中热应力必不可少的参数。由于缺乏完整的(特别是相变区间)热物性参数,在理论分析生物组织冻结过程时,常常假定冻结前、后的比热为某一常数,而忽略了相变区间表观比热的影响[2~5],这必然增大理论与实际情况之间的误差。
由于生物组织、食品材料在冻结相变过程中的热量变化不仅受比热容变化的影响,而且还包括潜热和因冻结(或熔融)引起的稀释热,因此,这一区间的热量即为表观热量,其对应的比热也称之为表观比热。目前,有关生物组织材料比热参数的测量大多集中在常温区或低温区[1],而在冻结相变区表观比热的研究还很少,例如,Karunakar等人[6]利用DSC测定了虾肉在-30~30℃之间的表观比热;Shi给出了相变区间生物组织材料表观比热的近似公式,并用于求解了土豆在冻结相变区的热应力[7];华泽钊等人将该公式用于求解主动脉血管在相变温区的热应力问题[8],但至今没有实验数据验证该公式的有效性。由此看来,研究生物组织材料在相变温区的表观比热是很有必要的。
采用差示扫描量热仪(DSC)进行材料的热分析,具有试样少、速度快、操作简便、精确度较高等优点,因此,拟采用DSC来测定兔主动脉血管在冻结相变区间的表观比热,并进一步研究小分子低温保护剂(CPA)的水合作用对兔主动脉血管在低温区表观比热的影响。
2 实验设备、材料与方法
2.1 差示扫描量热仪(DSC)
实验采用差示扫描量热仪是DSC-Pyris Diamond(美国)。温度标定采用环戊烷的晶-晶转变点(外推起始温度为-135.06℃)和纯水(二次蒸馏)的熔点(外推起始温度为0℃)进行两点标定;采用纯水的融化潜热(333.88J/g)进行单点热焓标定。标定采用的升降温速率为5℃/min;冷却方式为液氮冷却;样品冲洗气体为高纯氦气(>99.999%),流量为25ml/min;为避免炉块结霜,加样时用高纯氮气(>99.999%)冲洗炉块。
2.2 医用真空干燥箱
为了测定经过预处理后血管的水分含量,实验采用DZF系列真空干燥箱(上海),真空度为<60Pa,温度范围50~200℃。
2.3 实验材料
任选3kg左右的上海本地家兔,从其胸骨正中劈开,取出心脏,可以看到紧贴脊柱的主动脉长约10~15cm,剪下并用生理盐水冲洗后,迅速置于RP MI1640培养液(10.4g/LRPMI1640粉末,2.0g/L碳酸氢钠,0.24g/L头孢氨苄,0.12g/L林可霉素,pH7.2.)中,然后放置于4℃的冰箱中,以备实验时取用。用二甲基亚砜(DMSO,分析纯)作低温保护剂(CPA),体积浓度分别为5%、10%、15%。需要加CPA的试样,为了避免高浓度DMSO对细胞造成的损伤,采用分步添加法,每步增加5%,并在4℃的冰箱内平衡20分钟,并且,为了确保DMSO能充分渗透到血管里并且达到渗透平衡,经过CPA处理过的血管须在4℃环境中贮藏4小时以上,方可用于实验[9]。
选用KCl(化学纯)作为比热测定的标准物质。纯水用二次蒸馏水,并用0.2μm微孔滤纸过滤去除杂质。
2.4 实验方法
样品皿采用标准液体铝皿,并用液固通用压机(美国)压制密封。实验采用三线法测量比热,针对每个样品的测定,必须准备好三个质量相等的铝皿,分别用于待测样品、标准物质以及基线空皿。样品质量一般为5.0~7.0mg。本实验的测量温度范围为-60~10℃,设定的实验程序为:5℃/min降温至-60℃——等温5分钟——5℃/min升温至10℃——等温5分钟。每一个样品都必须按照相同升温程序对样品皿、标准物质皿和空皿进行扫描,然后再进行下一个样品。为了确保实验数据的有效性,每一种样品做三个平行样。由于在降温冻结过程中的过冷度存在随机性,这会给相变区间的表观比热数据带来一定的误差,因此,表观比热数据都是用升温过程的数据求得。而在研究结合水含量时,由于熔融过程较宽,读取相变焓的误差较大,而冻结焓误差相对较小,所以,应当读取冻结焓。
在进行真空干燥前,务必用滤纸将血管表面的水分吸干,并将该血管分成两份,其中一份用于直接测定比热,而另一份用于真空干燥。利用真空干燥箱对经过相同预处理后血管的真空干燥条件是:真空度50Pa,温度50℃,连续干燥12小时。对于干燥后的血管样品,在用液体皿做样时,一定要确保样品与铝皿之间充分接触,尽量避免接触热阻给实验结果带来较大的误差。
2.5 实验数据处理方法
比热可以通过下式计算[10]:
(1)
其中,Cp—样品的比热,J/g·℃;Cp,std—标准物质的比热,J/g·℃;mstd—标准物质的质量,mg;ms—样品的质量,mg;DSCs—样品的热流信号,mW;DSCstd—标准物质的热流信号,mW;DSCb—空皿的热流信号,mW。
所有热流信号均从DSC曲线上读得,而标准物质KCl的比热值可以从[11]查得。
3 实验结果与分析
3.1 仪器可靠性验证
为了确保Pyris DiamondDSC测定结果的可靠性,首先测定了纯水的比热,并与文献值进行对比,如表1所示。从表中可知,三次测量值的平均值与文献值比较接近,在-30℃、-20℃、-10℃和10℃几个温度点的误差都在1%以内,-40℃、-50℃两个温度点的误差均在2%以内。而-60℃温度点的误差达到2.6%,这主要是因为DSC从这一点开始程序升温时会有一个热流冲击,必然会带来较大的误差。通过比较,可以认为该仪器测量的比热数据是可信的。

3.2 兔主动脉的表观比热实验测定结果
图1所示为经过不同浓度DMSO处理后兔主动脉血管在-40~10℃温度区间的表观比热。从图中可以明显看出,DMSO对兔主动脉血管在相变温区的表观比热影响非常大。浓度越小,表观比热峰值越大,当浓度达到10%时,其峰值只有0%时的1/2左右。而浓度再增至15%时,峰值的变化不大。随着浓度增大,表观比热峰值逐渐往低温区偏移,但大约在-10℃以下,DMSO浓度越大,其表观比热值也就越大。

图2、3分别为兔主动脉血管相变前、后的表观比热。在相变前,DMSO浓度越大,其表观比热越小,而且每一种浓度处理后主动脉血管的比热随温度变化都比较小;而在相变后,浓度越大,其表观比热越大,其比热变化程度也随着温度的降低而各不相同,例如,未经过DMSO处理过的主动脉血管的表观比热在-30℃和-40℃的比热分别为2.4J/g·℃和2.198J/g·℃,而经过15%DMSO处理后的主动脉血管在这两个温度点的表观比热分别为3.819J/g·℃和2.839J/g·℃。为了研究主动脉血管干物质的比热,将兔主动脉血管经真空干燥12小时后,测得其表观比热如图4所示。从图中可以看出,无论在常温还是低温环境下,DMSO浓度越高,干物质的比热值也越高;只是在0℃以下温区的比热值随温度降低而变化较大,在0℃以上常温区的变化相对较小。


3.3 低温保护剂(CPA)对表观比热的影响
DMSO属于渗透性低温保护剂,它在水溶液中容易结合水分子,发生水合作用,使溶液的粘性增加,从而弱化了水的结晶过程,随着浓度的增大,这种弱化结晶的影响就会越来越大,与此同时,DMSO渗透到细胞内也会改变其过冷状态[1]。
为了定量地研究DMSO水合作用对兔主动脉血管表观比热的影响,分别研究了经不同浓度DMSO预处理后兔主动脉血管冻结过程的结合水含量,其值可通过式(2)得到[12],与其相关的参数以及计算结果见表2。
(2)
其中,α—结合水含量;w—样品水分含量;Tf—样品在降温过程中的冻结温度,℃;△H(Tf)DSC—由DSC测得样品在Tf下的冻结焓,J/g;纯水的冻结焓△H(Tf)与结晶温度Tf之间的关系可以用近似关系式(3)表示:
(3)

从表2可知,用5%DMSO预处理过的兔主动脉血管的结合水含量比未经处理的血管中的结合水含量稍高;经10%DMSO处理后,结合水含量显著增大;而15%DMSO所对应的结合水含量比10%更大。因此,可以认为DMSO浓度对兔主动脉血管冻结过程中结合水含量有显著影响。正是因为结合水含量的显著增加,才使得冻结焓显著降低。这里可以利用结合水量不同的观点来解释在熔融过程中的表观比热峰值会随着浓度的增大而显著降低的现象(如图1)。除此之外,由于结合水的存在,无论是否经过DMSO处理,兔主动脉血管在相变刚完成后,随着温度降低,其冰晶还会继续熟化,必定会释放少部分相变潜热,所以,其表观比热要比在相同温度下纯水冰的比热值高,而且,DMSO浓度越大,由于结合水含量的增大必然会使得其在相同温度下的表观比热越大(如图3)。
表2中“水分含量”一栏是通过真空干燥后计算得到的。可以看出,相同预处理后的兔主动脉血管经真空干燥后,DMSO浓度越高,其中的水分含量越低,但冻结过程中的结合水含量反而更大。这说明DMSO浓度越高,干燥脱水后的主动脉血管中剩余结合水含量越高,正好可以解释图4中真空干燥后血管的表观比热无论在常温区还是低温区都是随DMSO浓度增加而变大。
3.4 兔主动脉血管在相变区间的表观
比热近似公式针对活体组织或水分丰富的食品材料在相变温区的表观比热,Shi提出了如下计算公式[7]:
(4)
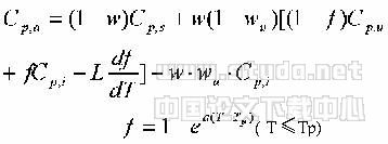
其中,Cp,a—表观比热,J/g·℃;Cp,s—材料固体成分的比热,J/g·℃;Cp,u—纯水的比热,J/g·℃;Cp,i—纯冰的比热,J/g·℃;w—材料的水分含量;f—材料内水分冻结率,f=1—eaT,a取0.25[8](T≤0℃);L—纯水冻结焓,取333.88J/g。
未经DMSO处理过的主动脉血管的表观比热值与式(4)计算值的比较如图5(A)所示。很显然,计算值与实测值主要有以下两点不同:(1)计算值的最大值为69.50J/g·℃,而实测最大值为54.50J/g·℃,前者比后者要大许多;(2)实测最大表观比热所对应的温度点要比计算值的低。对于前者差异,主要是由于上式中第二项采用了材料的水分含量w作为可冻水的含量,而从表2可以清楚看到血管在冻结过程中可冻水含量是材料水分含量的组成部分,因而要比水分含量数值要小,而且,随着DMSO浓度增加,可冻水的含量会很快降低到某一水平。对于后者差异,由于测得未经DMSO处理过的血管的水分含量为78.93%,因此,可以看着是稀溶液,而根据稀溶液的依数性质,其冰点要低于纯水的冰点[13],式(4)中取得最大值主要取决于相变潜热项,而其取得最大值的温度点始终为纯水的冰点,即0℃,这必然会与实测值有较大误差,而根据实验数据,其最大值所对应的温度应当是熔融峰温。综上,对式(5)进行如下修正:
(6)
其中,wu—结合水含量,g/g水;Tp—熔融峰温,℃;其它字母同(4)式中的表达意义。用式(5)计算兔主动脉血管在相变区间表观比热值与实测值比较如图5(B)所示,很显然,修正后计算得到的表观比热值能与实测值较好地吻合。

4 结论
利用DSC首次测定了兔主动脉血管在冻结相变区的表观比热,并进而研究了二甲基亚砜(DMSO)水合作用对主动脉血管在该温区表观比热的影响。结果表明,随着DMSO浓度增大,其结合水含量显著增大,兔主动脉血管在相变温区的最大表观比热值越小,但在相变后的表观比热值反而更大。还根据实验数据修正了现有的在相变温区的表观比热关系式,该关系式可以用于主动脉血管低温保存过程中,特别是在相变温区的传热模型和热应力求解。
1 华泽钊.低温生物医学技术.任禾盛.北京:出版社,1994.
2 Rubinsky,B.Thermalstressesduringsolidificationprocesses.ASMEJournalofHeatTransfer,1982,104:196~199
3 Rabin,Y..Analysisofthermalstressesaroundacryosurgicalprobe.Steif,P.S.Cryobiology,1996,33:276~290
4 Rabin,Y..Thermalstressmodelingincryosurgery.Steif,P.S.InternationalJournalofSolidsandStructures,2000,37:2363~2375
5 张艳婷.低温外科复温过程中的热应力研究.刘静.航天医学与医学工程,2002,15(4):291~295











