上海软土地震响应的振动台模型试验及其三维数值拟合分析
摘 要:对上海典型软土地铁车站结构振动台模型中的自由场振动台模型试验建立了三维模型,包括计算范围的确定,材料本构模型的选取,动力边界条件的选用以及地震波的输入等4个方面。用该模型对自由场振动台模型试验进行了三维的拟合分析,并将计算结果与实测结果以及二维拟合分析结果进行了比较分析,表明三者吻合较好。说明该计算模型可用来模拟模型土的动力特性,可为建立上海软土三维地震响应的计算方法提供基础。
关键词:振动台模型试验;计算模型;上海软土;本构模型;动力边界条件
0 引言
近十多年来,随着地下工程数量的增多和地下结构震害的频繁出现,尤其是受到神户地震的启示, 人们对地下结构的抗震能力有了新的认识,并加强了对地下结构建立抗震设计理论与方法的研究①。
上发生的大震表明,软土会放大地震的破坏作用,故对于软土地层厚达250~300m的上海地区开展建立地下铁道抗震设计的分析理论和设计方法的研究具有更重要的意义。张雄[1]等在时间域内研究了土-地下结构相互作用体系的三维地震响应;AKIRA[2]等采用静态有限元法研究了地下结构的的地震响应。国内学者也加强了对地下结构的抗震性能的研究。马险峰[3]等在国内较早、也较详细的对地下结构的震害进了调查和研究,为建立地下结构的抗震计算理论和方法提供了基础;陈国兴[4]等采用子结构法分析了地铁车站结构的地震;张鸿[5]等分析了地铁隧道的非线性地震响应。
杨林德教授进行了上海软土地区典型地铁车站结构振动台模型试验①。该模型试验包括两部分:自由场振动台模型试验和典型地铁车站结构振动台模型试验。前者主要用于模拟自由场地土层的地震反应,以及确定模型箱的工作性能,为进行典型地铁车站结构振动台模型试验提供前提条件;后者则主要用于了解地铁车站与土共同作用时地震动响应的与特征。根据模型试验结果,杨超[6]和刘齐建[7]在平面应变假设的基础上研究了上海软土地区地铁车站结构地震响应的计算方法。本文拟对自由场振动台模型试验建立三维计算模型,对其进行三维数值拟合分析,为建立上海软土三维地震响应的数值计算方法奠定基础。
1 自由场振动台模型试验
1.1 试验概况
自由场振动台模型试验[8]模型箱装置如图1所示,为由美国MTS公司生产的三向电液伺服驱动地震模拟振动台。台面尺寸为4.0m×4.0m;最大承载为15t;振动方式为X、Y、Z三向六自由度;频率范围为0.1~50Hz;台面最大加速度为:X向1.2g、Y向0.8g、Z向0.7g。模型箱为高1.2m的中空长方体,沿振动方向净长3.0m,垂直于振动方向净宽2.5m,箱中土体高度1m。

在模型土表面和中部设置了16个加速度传感器,用A表示(图2);并在模型土与箱壁的接触面上布设了4个动土压力传感器,以P表示。试验采集到的信息为模型土和模型箱的加速度值以及模型土与模型箱之间的接触压力值。

1.2 模型土的选择与配制
模型土的性能难于在各个方面都与原状土相似,故试验中力求在最大动剪切模量值和动剪切模量与动应变间关系曲线的变化规律两方面使模型土与原状土尽量相似。
本次试验用来制作模型土的材料选取为褐黄色粉质粘土,原因主要有:(1)这类粘土在上海市区的地表浅层内普遍存在,获取方便,(2)这类粘土干燥时强度较高,遇水后可迅速软化,易于通过调整含水率及密实度使其特性满足对模型土配制的要求。
2 计算模型
2.1 计算区范围的确定
计算区范围与模型箱尺寸一致。模型土长3.35m(激振方向,含两侧泡沫塑料板厚各175mm),宽2.5m,深1.0m,采用实体单元对模型土和塑料板划分三维有限差分网格,如图3所示。

2.2 材料本构模型的选取
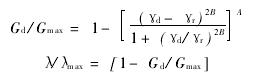
对重塑土进行动力试验[9]表明上海软土的动应力应变关系遵循“应变软化”规律:动剪切模量随动剪应变的增加而降低,阻尼比则随动剪应变的增加而增加,其关系可用Davidenkov模型描述为

其中:A、B和γr为拟合常数;γr亦为剪应变,γd为瞬时动剪应变;Gd和λ为瞬时的动剪切模量和阻尼比;Gmax和λmax为最大动剪切模量和最大阻尼比。
本次试验选取褐黄色粉质粘土作为制作模型土的原料。Davidenkov模型参数由试验确定[8],见表1。其泊松比为0.4,密度为1760kg/m3;试验[8]测得泡沫塑料板的动弹性模量为4.13MPa,密度15kg/m3,泊松比0.4,泡沫塑料板选用弹性模型。

2.3 边界条件
由于在激振过程中模型箱的刚度较大,其变形可忽略不计,可认为侧向和底部边界在水平方向上的加速度始终与台面输入的试验波一致。因而计算时所采取的动力边界条件为:沿激振方向在模型四个侧面与底面同时施加与振动台台面输入加速度一致的加速度边界;模型底面为竖向固定的边界;顶面为自由变形的边界。
2.4 荷载输入
试验选取三种地震波作为振动台台面输入波,试验加载制度见表2。试验采用单向输入激励,在模型底部输入台面波。
3 计算结果与分析
鉴于自由场振动台模型试验中,用于接受激振响应信息的传感器主要是加速度传感器,因此本文仅分析加速度响应规律。
将测点加速度反应的峰值与振动台台面输入的峰值之比定义为加速度反应的放大系数。各加载工况下,土体表面测点A3和一半深度处测点A25的二维[6]、三维数值模拟结果列于表3和表4,测点布置图见图2。

从表3、4可以看出:大部分工况下三维计算结果与二维计算结果以及试验结果均吻合较好,相对误差均在10%之内,表明提出的计算方法能较好的模拟模型土的动力响应。仅在El-9和SH-10两种工况时二维和三维的计算结果与试验结果有一定的误差,原因可能是地震动输入峰值过大,土的剪切模量衰减较大,从而使得试验过程中土实际的应力应变关系曲线偏离所采用的Davidenkov模型曲线较大。此外还可看出三维的计算结果大于二维,二维的计算结果大于试验。
3.2 加速度反应时程与富氏谱
图4、5分别为SH-3工况下测点A25的加速度时程曲线及其富氏谱的计算结果与实测结果。由图可见计算结果的波形、幅值与试验结果均基本吻合,两者在各频段的频率组成也基本一致,也表明文中的计算方法能较好的模拟模型土的加速度响应规律。


4 结语
本文对在同济大学进行的上海软土地区地铁车站结构振动台模型试验的自由场振动台试验建立了三维计算模型,分自由场振动台模型试验进行了三维数值拟合分析,得到了模型土的加速度响应规律及模型土与模型箱之间的动土压力,计算结果与实测结果以及按二维模型计算的结果吻合较好,表明本文建立的三维计算模型能较好的模拟模型土的动力特性,为建立计算上海软土三维地震响应的计算方法奠定了基础。对三维计算方法的研究将另文介绍。
[]
[1]ZHANGX,et.Three-dimensionaldynamicsoil-structurein-teractionanalysisinthetimedomain[J].StructuralEngineer-ing&EarthquakeEngineering,1999,116(28):1501-1524.
[2]AKIRAT.Astudyonseismicanalysismethodsinthecross sectionofundergroundstructuresusingstaticfiniteelement
method[J].StructuralEngineering&EarthquakeEngineer-ing,2005,122(1):41-53.
[3]马险峰.地下结构的震害研究[D].同济大学,2000.
[4]陈国兴,庄海洋,史国龙.地铁车站结构地震反应分析的子结构法[J].防灾减灾工程学报,2004,24(4):396-401.
[5]张鸿,毕继红,张伟.地铁隧道地震反应非线性分析[J].地震工程与工程振动,2004,24(6):146-153.
[6]杨超.饱和软土地铁结构地震响应计算方法的研究[D].同济大学,2003.
[7]刘齐建.软土地铁建筑结构抗震设计计算理论的研究[D].同济大学,2005.
[8]季倩倩.地铁车站结构振动台模型试验研究[D].同济大学,2002.











