沈阳地区扁铲侧胀试验技术的研究
来源:岁月联盟
时间:2010-08-22
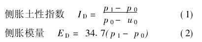
1.2 试验原理 扁铲侧胀试验是采用静力(或锤击动力)把扁铲形探头贯入到土中某一预定深度,然后通过加压系统使扁铲探头侧面的膜片侧向扩张,土体发生侧向位移变形,测定土的不同侧胀位移时的侧向压力,即:①膜片向土中膨胀之前的接触压力p0;②膜片膨胀至1.1mm时的压力p1;③膜片回到0.05mm时的终止压力p2.由p、p、p可扁铲侧胀试验指标:
式中:u0为试验深度处的静止孔隙水压力,kPa.2 试验场地情况 沈阳地铁一号线工程沿线地层较简单,表层第四系地层广泛发育,厚度较大;下覆第三系地层,工程地质条件较好,扁铲侧胀试验在上部的黏性土、粉土、粉砂、细砂中进行.笔者主要对收集到的粉质黏土、黏土数据进行分析.3 侧胀土性指数ID规律 研究方法:先依据IP指数按《岩土工程勘察规范》GB50021-2001进行黏性土分类,然后运用数理统计方法对各类土的ID值进行统计分析.笔者共收集到沈阳地铁扁铲侧胀试验的侧胀土性指数ID数据613份,进行统计分析.3.1 步骤 (1)将土层ID值进行统计归纳,首先按上下各约15%剔除异常值,然后应用Excel的加载宏中的数据分析,得到ID值符合一般的正态分布, 见图2~3.
(2)再将一般的正态分布转化为标准正态分布,并计算出粉质黏土和黏土的数学期望μ值和方差σ,(粉质黏土μ=0.37632,σ=0.015152;黏土μ=0.3552,σ=0.09757),经计算得出粉质黏土和黏土侧胀土性指数ID值在置信区间分别为95%、90%、85%、80%、70%时的取值范围,得到侧胀土性指数ID取值区间,见表1.
3.2 统计结果分析 (1)适宜的统计分析置信区间:由表1和图2~3综合分析得到采用80%的置信区间比较合理. (2)由图2~3可清晰看到,粉质黏土ID平均值在0.38左右,黏土ID平均值在0.35左右,基本在Marchettti提出的土层分类范围内.由此可见侧胀土性指数ID可以作为划分土性的指标之一. (3)综合分析得到沈阳地区的侧胀土性指数ID分布规律见表2.
(4)黏土和粉质黏土的ID值取值范围不同,且具有相互兼容性.表现在:根据Marchetti(1980)表[1]划分标准,黏土范围为(0.1~0.35), 粉质黏土范围为(0.35~0.60).实际求得的黏土80%的概率范围值为(0.21~0.48),粉质黏土80%的概率范围值为(0.22~0.54).黏土的区间值0.48属于粉质黏土划分范围内,而粉质黏土的区间值0.22属于黏土划分范围内.二者相互兼容,是由侧胀土性指数I值出现离散性造成的. (5)ID值出现离散性的原因:①土体的非均匀性和空间变化是导致了扁铲试验结果的离散性原因之一;②ID值与静止孔隙水压力有关,而静止孔隙水压力与土的性质有很大关系,对于砂类土和处于流塑状态的黏性土:可按公式u0=hγw;对于处于可塑态的黏性土则不能按该公式进行计算,其计算方法至今无明确统一的计算公式.这就存在黏性土孔隙水压力计算与实际不相符的情况,这也是导致结果离散性大的原因之一.4 侧胀模量ED4.1 对ED进行修正 扁铲侧胀试验可以直接测定土体的侧胀模量ED,其定义式见式(2).在土力学中计算地基土的沉降需要的是竖向压缩模量并非是扁铲侧胀模量ED.Marchetti(1980)提出:引入一个与应力有关参数Rm对侧胀模量ED进行修正,求得土的竖向压缩模量MDMT,即类似于土的压缩模量ES.MDMT=Rm·ED.(3) 式中:Rm是与水平应力指数KD有关的函数,一般随KD的增加而增加,它取决于ID和KD,变化范围大多数在1~3[10].4.2 验证公式适用性 结合沈阳地铁一号线工程的扁铲侧胀试验数据,验证式(3)在沈阳地区的适用性.取各土层的竖向压缩模量MDMT平均值与土工试验压缩模量ES平均值进行对比分析,见表3. 从表3中可知:由扁铲侧胀试验得到的土的竖向压缩模量MDMT比室内土工试验得到压缩模量ES稍大,平均偏大14.2%.这是因为室内土工试验是通过从地层一定深度中采集土样,因土样的应力释放、回弹及人为扰动,导致了所获得的值偏小.由于扁铲侧胀试验更能真实的反映土体的受力状态,笔者认为:沈阳地区可以应用通过扁铲侧胀试验的侧胀模量ED求解土的竖向压缩模量MDMT计算地基土的沉降.
5 利用ID和ED估算土的重度和划分土类 Marchettti和Crapps提出利用ID、ED可以估算出土的重度,也可以用于划分土类[5].黏性土区块(ID≤0.6)、粉土区块(0.6<ID≤1.8)和砂土区块(ID>1.8),见图4.
结合沈阳地铁扁铲侧胀试验数据,应用侧胀土性指数ID和侧胀模量ED值在图4中估算土的重度,并与土工试验得到的重度值相比较,见表4. 从表4中可知:沈阳地区利用扁铲侧胀试验得到的重度γ值平均偏小11.1%,需乘以1.11进行地区经验修正.
6 结 论 (1)侧胀土性指数ID是一个反映土的力学性质的参数,根据沈阳地区的统计分析结果得到:沈阳地区可按Marchettti提出的土层分类,用侧胀土性指数ID划分土性. (2)在沈阳地区由扁铲侧胀试验得到的土的竖向压缩模量MDMT比土工试验得到的压缩模量ES稍大.由于扁铲侧胀试验更能真实的反映土体的受力状态,在沈阳地区可以应用扁铲侧胀试验求解土的竖向压缩模量. (3)沈阳地区利用扁铲侧胀试验估算的土的重度值比土工试验结果平均偏小11.1%,建议把扁铲侧胀试验得到的重度值乘以1.11进行地区修正. :[1]MarchettiS.In-situtestsbyflatdilatometer[J].JournalofGeotechnicalEngineering,ASCE,1980,107(3):832-837.[2]MarvhettiS.Theflatdilatometeranddesignapplica-tion[C].Egypt:CairoUniversity,1997.[3]MarchettiS.Theflatdilatometeranditsapplicationstogeotechnicaldesigninternationalseminar[C].Tokyo:JapaneseGeotechnicalSociety,1999.[4]SchmertmannJH,Suggestedmethodforperformingtheflatdilatometertest[J].ASTMGeotechnicalTestingJournal,1986,9(2):93-101.[5]陈国民.扁铲侧胀试验及其应用[J].岩土工程学报,1999,21(2):177-183.[6]朱火根,施亚霖.扁铲侧胀试验的土性指数ID在上海软土地层中的分布规律研究[J].岩土工程界,2004,8(1):31-34.[7]唐世栋,苏玉杰,傅纵.上海地区利用扁铲侧胀试验的材料指数ID划分土类的研究[J].岩土力学与工程学报.2005,24(24):4519-4523.[8]中华人民共和国国家标准.GB50021-2001岩土工程勘察规范[S].北京:建筑出版社,2001.[9]中华人民共和国行业标准.TB10041-2003铁路工程地质原位测试规程[S].北京:中国铁路出版社,2003.[10]徐超,石振明,高彦斌,等.岩土工程原位测试[M].上海:同济大学出版社,2005
下一篇:浅谈地铁运营安全管理实践











