地铁动力照明系统负荷对运营成本的影响
摘 要 通过深圳地铁开通运行的实测数据,反映出目前地铁设计中配电变压器容量普遍偏大的情况,并指出设计负荷偏大的若干原因;通过计算,阐述配电变压器偏大对运营成本的影响。
关键词 负荷计算 损耗 运营成本 负载率 深圳地铁
深圳地铁一期工程开通之后运行基本趋于正常,但在供电系统中存在着较为突出的两个问题:一是各车站配电变压器的选择偏大,正常运行时段的负载率较低,运行实测负荷情况远低于其设计计算负荷;二是即便在各车站低压无功补偿均不投入的情况下,110kV主所仍存在着无功反送现象。上述两个问题不仅增加了地铁的一次性投资和运行成本,同时也给地铁的运行带来诸多不利的问题。
1 存在的问题及原因分析
图1是2005年5月1日节假日空调全部投入运行和车站照明全部开启情况下深圳地铁1号线各站配电变压器在正常运行时段变压器负载率情况。均低于30%。全线平均负载率为17.8%。上述数据从图1中可以看出,在正常运行时段(6∶30~23∶30),80%以上的配电变压器的负载率低于30%以下,只有不到20%的变压器的负载率在30%~50%之间。经统计计算得出,在地铁正常运行时段全线配电变压器的平均负载率为20.77%,全天的平均负载率为18.58%。此外,根据各车站半年的负荷统计计算得知,除一个车站的平均负载率略大于30%外,其他车站远低于我国目前干式变压器50%~60%效益最佳负载率的状况,更低于电力工程设计规范配电变压器负载率一般取70%~85%的要求。
另外,根据我们调查的情况得知,广州地铁1号线在运行6年之后,除少数几台配电变压器在正常运行时段负载率超过40%外,大多数都低于40%。经了解,上海地铁也同样存在动力照明系统计算负荷严重偏大、配电变压器负载率偏低的现象。全国各地铁为什么普遍存在上述现象,经分析主要有以下几种原因。

(1)《地铁设计规范》对地铁的用电系统计算负荷的方式没有明确,特别是对地铁系统各设备组的负荷计算所用的系数没有详尽规定,同时地铁变电所低压母线负荷系数的选用也没有明确。目前,各设计院仍采用和民用建筑的设计规范来进行地铁的负荷计算,导致计算负荷与实际负荷严重不符。
(2)地铁车站用电负荷作为一种新的负荷类型有着与工业和民用建筑完全不同特点的负荷特性,各设计院对此没有充分认识或认识有差异,导致对重要负荷需用系数的选取差异较大。
(3)地铁是按照远期考虑(25年后)来进行负荷计算的。由于远期动力照明负荷会比初期和近期增大多少大家心中没数,规范上也没有明确,因此在设计时普遍存在“负荷计算大一点比少一点要安全”的理念。
(4)设计单位对配电变压器负载率偏低对地铁运营成本的影响,以及由此引起的其他方面的问题认识不足。
2 引起地铁动力照明系统负荷计算过于偏大的原因
2.1 隧道风机的负荷计算
地下车站动力负荷较大的原因之一是各车站风系统中4台隧道风机。根据隧道的不同情况,通常风机的功率设计为75~90kW。隧道风机只是在两种情况下才启动运行:一是在早、晚运行前后半小时各开启一次风机,运行30min,用于抽排隧道区间的废气;二是事故状态(或火灾状态)下机车阻塞在隧道区间内,向区间内送风或者火灾事故排烟。在第一种情况下,风机每天仅运行一或两次,每次运行时间很短;而第二种情况(事故状态)下的送风和排烟的几率更少。但是隧道风机由于承担了事故状态下的防排烟功能,要列为一类负荷来计算,这样4台风机的需用系数应该如何考虑是值得研究的。目前多数设计院按长期运行状态下的负荷(需要系数)来进行计算,这就是造成动力系统负荷计算偏大的主要原因之一。
2.2 地铁消防系统设备的负荷计算
按规范要求,凡是与消防有关联的负荷都是一类重要负荷,但是这类负荷往往不全是经常使用的负荷一旦发生火灾,通常地铁车站机电设备系统是要降级运行的,机车也不可还按照原定时间间隔模式去运行也就是说一旦消防系统启用时,所有与消防无关的负荷应尽可能的切除。而不是与其它在正常运行的负荷进行完全叠加计算。因此该类负荷在车站的负荷计算中是否应该列入,或按多大的需用系数折算也是值得研究的。因而,该类负荷也是车站动力负荷计算偏大的另一个重要方面。
2.3 车站屏蔽门的负荷计算
根据实测,屏蔽门的负荷只是在开启与关闭期间,也只是在机车到站时的3s和离站前的3s期间屏蔽门电动机才消耗电能,其他关闭时间内电动机基本上不消耗电能的。即便是按远期行车密度30对/h计算,屏蔽门的驱动设备的额定负载持续率也低于20%。
2.4 地铁车站电扶梯的负荷计算
根据地铁客流特性,扶梯下行客流为持续低流量客流,下行时扶梯处于低负荷和空载状态。上行为间歇性客流,间歇时间与行车间隔有关,上行时处于短时周期性高负载率状态。深圳地铁所有电扶梯是安装了变频节能装置。也就是说在无人情况下电扶梯是以50%的低速在运行,其耗能按理论计算仅为原来功率的1/8。因此,地铁电扶梯的运行特点与其它民用和商用电扶梯相比具有自己的负荷特性,因此电扶梯组的需用系数与民用和工业设计也大不相同。
2.5 给排水系统的负荷计算
各车站的给排水系统由污水泵、雨水泵、废水泵组成,其运行受天气的影响很大,应属间歇性负荷,如按长期运行负荷计算也会高估负荷情况。
综上所述,研究这些负荷特性,制定合理的设计需要系数,是解决地铁系统目前负荷计算普遍偏大的根本办法。
3 提高地铁车站配电变压器负载率的意义
在讨论提高地铁车站配电变压器负载率的经济意义之前,首先让讨论变压器的效率和最佳负载率的关系。
3.1 变压器的效率和最佳负载率
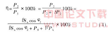
变压器通常是一种效率很高的设备,大型充油变压器的效率最高可达99%,小型环氧树脂变压器的效率也可达95%以上。同一种变压器在不同的负载率下其效率是相差很大的,变压器效率的计算公式为

式中,P1、P2为变压器高压和低压侧测得的有功功率,β为变压器的负载率,Sn为变压器的额定容量,Pk为变压器的短路损耗,P0为变压器的空载损耗。cosφ2为变压器低压侧功率因数。
当负载功率因数不变、不变损耗等于空载损耗时,变压器的效率达到最大,即P0=β2Pk,n(Pk,n为短路电流为额定电流时的短路损耗),变压器的最佳负载率为

根据计算,目前地铁采用的干式变压器的最佳负载率βm在50%~60%之间,变压器效率与负载率的关系曲线见图2。

3.2 变压器损耗与负载率的关系
1)变压器的损耗
变压器在任何负载率下的有功损耗为ΔPb=P0+β2Pk,变压器在任何负载率下的无功损耗为ΔQb=Q0+β2Qk(其中Q0为变压器空载无功损耗,Qk为变压器短路无功损耗),故变压器的综合损耗为
∑ΔPb=ΔPb+KΔQb=P0+β2Pk+K(Q0+β2Qk) (3)
2)变压器年(月)电能损耗计算
A=AP+KAq=(P0T+β2Pkτ)+k(Q0T+β2nQkτ)=(P0T+β2Pdτ)+(I0SnT+β2nUkSnτ)×10-2 (4)
3)变压器年(月)综合电能损耗最小的变压器负载率

式中,A为变压器年(或月)的电能损耗,kW·h;T为变压器年(或月)运行小时数;τ为变压器正常负荷下年(或月)工作小时数。
根据《工矿电力变压器经济运行导则》(GB/T13462—92),二次变压的无功经济当量K值为0.05~0.07。
表1数据是根据上述公式计算出的深圳地铁采用许继变压器厂各种干式变压器的参数及其综合损耗最小时的负载率值。

对照图1和表1的结果,可以看出,目前深圳地铁一期工程配电变压器负载率远远低于变压器的最佳负载率,变压器的效率处于很低的水平。
3.3 提高地铁配电变压器负载率的经济意义
为了说明提高变压器负载率的经济意义,先计算车站配电变压器容量降低1~2个等级后变压器的损耗节省情况。
我们选择了4个车站配电变压器负载率接近全线平均负载率的数据来进行计算,结果显示,当现有的配电变压器容量降低两个等级之后,变压器的负载率仍低于40%。而容量降低后4个车站变压器的损耗合计将降低7007kW·h,平均每台变压器损耗每月将降低875kW·h。依此推算,每台变压器每年约将节省10500kW·h。如果全线变压器容量降低两个等级之后,深圳地铁一期工程仅配电变压器一项的损耗全年估算可以降低44万kW·h左右。
另外,根据广州和上海地铁动力负荷近、远期的增长情况进行推算,深圳地铁即便是远期动力负载再增大15%~20%,变压器容量降低两个等级之后,大部分车站的负载率仍不会高于50%。也就是说,当一台配电变压器故障退出运行后,单台变压器在三级负荷不切除的情况下仍能保证车站所有负荷的正常运行。
3.4 变压器的过负荷能力
电力变压器无论是油浸式变压器还是干式变压器,都具有一定的过负荷能力(见表2)。在电力系统的运行中遇到特殊情况,变压器短时间过负荷运行是常见的事。但在地铁的设计过程中,对此情况一般都不敢考虑,认为变压器一旦接近满载甚至短时超载,变压器很快就会烧坏,这也是地铁负荷计算宁大勿小的一个因素。
我们在此谈论变压器的过负荷能力,目的是让人了解地铁有哪些临时性负荷和多年不遇事故情况下的抢险负荷可以通过变压器的过负荷能力来承担。
如果将这些负荷作为变压器的长期负荷计算,势必造成变压器常年不必要的能耗。

4 结论
国内地铁动力照明系统的容量计算普遍偏大的现象已被许多地铁公司所公认。由于国家现阶段还没有对地铁工程动照系统的负荷计算制定出明确的规范,使各设计单位在进行地铁负荷计算时,其计算结果与实际情况差别较大。广州地铁在广州1、2号线的负荷情况之后,对地铁系统设备的运行特性做了专题研究,并制定了一整套需用系数,为后续的地铁项目设计提供了很好的依据。
目前,在地铁工程中采用的干式变压器的容量主要是33~35kV/0.4kV等级,容量在800kVA~2500kVA之间。根据目前地铁动力照明负荷的分类统计,一、二类负荷约占动力照明总负荷的75%~80%。
根据《地铁设计规范》“配电变压器的容量选择应当满足一台配电变压器退出运行时,另一台配电变压器能负担供电范围内的远期一、二级负荷”的要求,地铁的配电变压器的负载率在初期应达到或接近50%为好,在远期要能达到或接近60%为好。这样不仅变压器的损耗较小,且在一台变压器退出运行的情况下又能满足车站一、二级负荷的规范要求。
提高配电变压器的负载率不仅可以降低变压器长期在低负载率运行情况下的能耗损失,降低运行成本,减少地铁的一次性投资,还对抑制地铁初期运行时出现的无功倒送、CT变比选择和测量精度等带来好处。鉴于上述情况,我们认为地铁的动力照明系统的负荷计算应该尽快组织人员研究,并制定出相关规范,以彻底解决地铁目前存在的动照负荷计算严重偏大的问题。
[1]方大千,等.变压器速查速算手册[M].北京:水利水电出版社,2004:2628,33,76,9097·
[2]方大千,等.输配电速查速算手册[M].北京:中国水利水电出版社,2004:80100·
[3]韩风.建筑电气设计手册[M].北京:中国建筑出版社,1994:5162·
[4]中铁电气化勘测设计研究院.深圳地铁一期工程初步设计:牵引供电系统[G].天津,1999.
[5]GB50157—2003地铁设计规范[S].北京:中国计划出版社,2003:101·











