由地铁隧道工程引起地表横向沉降的预测分析
摘 要:应用Peck法、Logan-Poulous法、随机介质理论等方法对由地铁隧道工程引起的地表横向沉降进行预测,并对上述方法的实质加以研究。用STS沉降预测系统对实测数据进行分析和,并通过实测曲线和预测曲线的比对分析,验证上述方法的预测精确性。
关键词:地铁隧道;地表横向沉降;Peck法;Logan-Poulous法;随机介质理论;沉降预测
进入21世纪,我国城市的化步伐不断加快,城市规模也在急剧扩大,可供利用的地面城市面积越显不足。为解决这一问题,我国加快发展了地下空间工程的建设。但任何地下工程的开挖势必会对周围土体产生扰动,使其失去原有的平衡状态,而向新的平衡状态转化。在这个过程中地层必然会发生不同程度的位移和沉降。该沉降按影响范围可以分为影响区和非影响区。对非影响区域的建(构)筑物认为受施工影响的程度可忽略不计,而部分或全部位于影响区域的建(构)筑物则要进行影响程度的判断,对受影响程度大者需要采取相应的处理措施。地铁隧道在开挖施工中,由于受施工技术及周围环境和岩土介质的复杂性制约,即使采用较为先进的盾构法和新奥法,其施工引起的地表沉降也是不可避免的。当地表沉降超过一定的限度时就会严重危及地表建(构)筑物的正常使用和地下管线的安全,因此必须对地表沉降加以控制和预测。笔者通过地表横向沉降的预测分析对这一问题进行了研究。
1 计算方法
预测地铁隧道工程引起地表横向沉降的方法有经验公式法、随机介质理论法等。
1.1 Peck法
工程师Pcek曾提出过一个地铁开挖地面沉降预计公式以Peck公式为基础的经验公式法是基于“地层损失”提出的,假定基底压力按45°向下扩散,影响范围边线定在隧道扰动区外,并认为隧道扰动区为2R(R隧道半径)[1-3]。
①最初断面开挖时的土损失在不排水(即体积不变)的条件下发生,因此沉降槽的体积非常接近隧道中的土损失(见图1)。

式中:S(x)为横断面上与隧道轴线距离为x地面点的沉降量;VS为由于隧道开挖引起的地层损失量;Smax为距隧道中心线地面沉降量最大值;i为沉降槽半宽度系数,取为地表沉降曲线反弯点与中心线的距离;Z为隧道中心埋深;K为沉降槽宽度系数;φ为地层内摩擦角,对于成土取加权平均值。
⑤有了以上的数据和经验关系,只要土损失已知,沉降槽的形状和大小也就完全确定了。
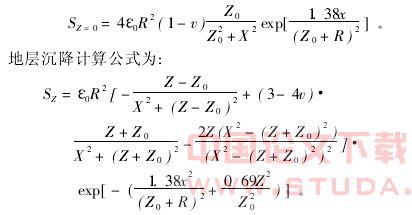
1.2 Logan-Poulous法
1998年Logannathan和Poulous提出了预测地表沉降和地层沉降的解析解,地表沉降的计算公式为[2]:

式中:ε0为土层损失率;v为泊松比;R为隧道半径;Z0为隧道埋深;Z为离地表的深度;X为离隧道中心线的距离。
1.3 随机介质理论
波兰学者李特威尼申首先提出了随机介质理论。在我国以刘宝琛院士为代表对随机介质理论方法进行了系统研究和完善,该方法一直被应用在矿山工程中,研究开采矿石对地面的影响。20世纪90年代以来,随机介质理论和方法开始被应用于地铁工程,初步解决了地铁各种开挖方法(NATM、TBM、盾构、冻结)、地面各点位移(垂直及水平)和变形(倾斜、曲率、水平应变)的计算方法,并获得了全套计算公式。土体作为一种复杂的非线性介质,具有许多介质无法相比的不确定性;在地铁隧道施工中,土体工程性质的随机性包括土体所受荷载的不确定性以及土体反应的随机性。根据随机介质理论,将岩土体视为随机介质,把地层移动过程看作是一种服从统计的随机过程,即可用概率积分法研究地表移动。隧道开挖对地表影响可等效为构成这一开挖的无限多个微元开挖的影响总和。
1.3.1 基本理论
在开挖水平平面以上的任意水平面Z(Z<H)上,把厚度、长度和宽度均为无限小单元的开挖定义为单元开挖dξdξdξη;由单元开挖引起的沉降槽定义为单元沉降槽,用We(X,Y,Z)表示单元开挖引起的下沉。最终沉槽体积等于地层损失体积dξdξdη,即开挖单元体积;引入主要影响半径R(Z)和主要影响范围角β的概念,可得到单元开挖引起地表沉降槽最终分布表达式为[2-3]:

由于隧道周围岩土体向开挖空间移动导致断面收缩而引起地表沉降,地铁隧道施工中,需要采用一定的支护措施严格控制地层移动,不允许完全塌落。如图2所示,隧道开挖初始断面为Ω,建成后开挖断面由Ω收缩为ω。根据叠加原理,实际地表下沉值等于开挖范围Ω引起的下沉与开挖范围ω引起的下沉之差:

2 理论分析
Peck公式有VS和i2个参数,合理确定这2个参数对于正确预测地面沉降的量值和分布情况起着至关重要的作用。Logan-Poulous法主要是确定土层损失率。随机介质法横向沉降需要确定H、tanβ、ΔA和隧道横断面几何尺寸,在设计完成后H和隧道横断面几何尺寸是确定的,因而tanβ、ΔA成为影响计算结果的关键。tanβ和Peck法的沉降槽宽度系数i都取决于开挖地段所处的地层条件,ΔA和Peck法的VS及Logan-Poulous法的ε0均为隧道施工条件的综合反映。这几种方法的关键都是确定土损失,因此它们的求解实质都是相同的。
3 工程实例
3.1 工程概况
某段地铁隧道工程,该段地层由淤泥质土、粉质粘土、粘土、风化岩等构成,采用双隧道设计,新奥法施工,隧道顶面上覆土层厚度9.3m,左右两隧道中心线距离15m(见图3)。本工程先开挖左侧隧道,待左段施工完毕后再进行右段隧道施工,该地段地质条件较差(见表1),断面开挖引起较大沉降。


3.2 横向地表实测沉降
本工程在施工过程中和施工过程后,进行了沉降观测。在断面横向每5m设置一个观测点,在沉降较大区间观测点进行了加密;共设置观测点30个,实测数据见(见图4)。在左侧隧道施工完毕后地表最大沉降达到25.12mm,位于-7.5m处,横向影响范围距中心线35~40m;右侧隧道施工完毕后,最大沉降量31.02mm,位于-6.2m处。两隧道中间沉降较大, 右侧沉降最大27.22mm。分析预测,横向地表沉降主要降影响范围在距坐标0点45m内。


3.3 横向地表沉降反分析及预测
将上述实测点位置和测点沉降值输入STS系统中,经过调整计算,得到Peck法预测断面横向地表沉降曲线图(见图5),Logan-Poulous法预测断面横向地表沉降曲线图(见图6),随机介质理论法预测断面横向地表沉降曲线图(见图7)。由计算结果可以得到如下结论:①这3种预测方法的计算结果普遍小于实测沉降值。导致Peck法和Logan-Poulous法预测沉降值较小的主要原因是,这2种方法与岩土体性质联系不够密切,影响土层损失率的因素考虑不够全面,没有分析地下水降水的影响。而影响随机介质理论法相对不准确的原因是计算参数与岩土工程地质条件之间的关系不明确;②从整体分析看,3种方法的预测精度基本可以满足指导工程实践的要求,经过对曲线图比较分析发现随机介质理论法的预测比较接近实际沉降,预测精度比前两种方法高。
[1]PeckRB.Deepexcavationandtunnelinginsoftground[M].NewYork:PublishedbyASCE,1984:82-84.
[2]LogannathanN,PoulosHG.Centrifugemodeltestingoftunneling-inducedgroundandpileeformations[J].Geotechnique,2000,50(3):22-24.
[3]刘宝琛,林德璋.浅部隧道开挖引起的地表移动和变形[J].地下空间,1983,3(7):2-3,5-7.











