西安市地裂缝对地铁洞室围岩稳定性影响的研究
摘 要:将地裂缝作为弱面进行处理,然后以弹塑性理论为依据导出弱面的破坏准则,并以此为基础得出弱面对洞室产生剪切破坏时的最不利角度;同时根据弱面的倾角和弱面最不利角度出不同倾角的弱面的剪裂区位置和范围,以与西安市地铁Ⅰ号线相交的3条地裂缝为实例,计算出了剪裂区位置及塑性应力分布。
关键词:地裂缝 洞室围岩稳定性 弱面 剪裂区
西安城区附近发育有11条地裂缝,其延伸覆盖面积极广,在西安地铁建设过程中不可避免会与这些地裂缝相互交错,这样势必会对洞室围岩的稳定产生影响,而在地裂缝区进行地铁建设在国内尚属首次,本篇将地裂缝作为土体中的弱面进行处理[1],分析其对地铁洞室的影响机理,从而确定地铁洞室与地裂缝相交部位的应力分布及剪裂区范围,为以后的施工提供依据。
1 区域工程地质环境
1 1区域地质构造背景
西安地处渭河盆地中部的西安断陷区的东南部位,由于拉张作用形成的第四纪西安断陷盆地中部断裂发育,近EW向、NE向-NEE向和NW向3组断裂把盆地分割成若干次级地块,西安地裂即发生在该区内。
研究区西起三桥,东至灞桥,南起曲江池,北至呼沱寨—施家寨一带。地理位置为东经108°49′00″~109°49′00″,北纬34°12′00″~34°19′30″。面积约288km2,主要位于西安市区。地形东南部高,西部和北部低。区内按地貌可分为东南部黄土塬,中部黄土梁与河流阶地,西部河流低阶地等3个地形阶梯,由东南向北西部逐渐降低。黄土塬塬面平缓,冲沟较发育,黄土梁洼相间,地形波状起伏;河流阶地地势开阔平坦,水系发育,沟区纵横。
其中临潼—长安断裂在区内较为活跃,是盆地内部控制西安断裂东部边缘的1条生长断裂。在临潼—长安断层的上盘发育了11条次一级反倾向的活动断层,统称为西安正断层组。它们相互平行、等距排列。在地裂活动之前,隐伏于1~7m人工填土和耕作层之下。西安正断层具有生长的特点,并在300m以上的地层内活动强烈。这组正断层及地裂缝对西安市政建设、与民用建筑、地下铁道及其他地下工程有较严重影响。
1 2 岩土体工程地质特征与水文地质条件
西安市区内没有基岩出露。第四纪松散土层分布较广,厚度大,与西安市的地铁工程建设有密切关系,从目前西安市地铁工程的利用来看,只限于地面以下数十米深的浅部。西安地区地下水主要分为潜水、浅层承压水与深层承压水。西安地裂缝主要分布在渭河二级、三级阶地以及黄土塬区,二级阶地潜水层为晚更新统冲积含水层,总厚度为20~30m,水位埋深5~10m,水量比较丰富;三级阶地潜水层为中更新统风积冲积含水层,总厚度为20~50m,水位埋深10~20m。从西安地区多年潜水位动态特征图上可以发现西安市城内及近郊基本上属于潜水位稳定区,由此看来,西安地裂缝的出现和活动与西安地区潜水位变化无关。因此,区内潜水对地铁工程建设的影响不大。
1 3 西安地裂缝的工程性质
在西安市及其郊区约150km2范围内,在临潼—长安断裂上盘,自南而北共发育了11条地裂缝(图1)[2],依次是:F1新开门地裂缝;F2陕西师范大学地裂缝;F3大雁塔地裂缝;F4小寨地裂缝;F5秦川机械厂地裂缝;F6和平门地裂缝;F7西北大学地裂缝;F8劳动公园地裂缝;F9八府庄地裂缝;F10辛家庙地裂缝;F11井上村地裂缝。

(1)地裂缝活动具有三维活动性,即垂直方向的差异运动,水平NNW向的引张运动和水平NEE方向的扭动,但以正断层运动为主,差异沉降速率大,变化范围0~52 5mm/a;水平引张次之,0~10mm/a;水平扭动最小,并且三维活动趋势基本一致[3]。
(2) 地裂缝运动机制是蠕滑—粘滑型的,在上是长期缓慢的静态蠕滑,但也伴随多期跳动滑移,直至突然产生错动的粘滑。
(3) 地裂缝活动强度的差异性:一般而言,南郊强,F6、F7、F8活动程度较大,北郊弱。同一条地裂缝上,东段、中段活动性最大,西段活动强度小。如F6南、中段一般为2 18~3 44mm/月,而西段为1 2~1 9mm/月。
(4) 地裂缝活动的周期性:西安地裂缝历史上即有活动期,又有平静期,呈现一定的周期性,这与断层的周期性很相似。同时,在地裂缝活动其中有高潮和低潮期。
(5) 变异性:表现为活动速率的超长性,空间上的非规律性变化,及反向活动性特点。如南二环长安立交桥从1995 8~1996 9,最大垂直位错达120mm,活动速率为100mm/a,而1970~1990年平均速率才13mm/a,最大速率为32 9mm/a。
由于地裂缝的不断活动,使得地裂缝周围的地质体发生位移,产生局部应力场和形变场,从而造成地下洞室、路基、管道变形或剪断。
2 理论分析
2.1 弱面及其破坏准则
西安市地裂缝内大部分无填充物,少部分填充来自地表的浮土或水流带来的淤泥质土,填充疏松,比周围土层松散,沿地裂缝两侧力学参数比周围土体要小,本文因此把地裂缝作为相对周围土体强度较弱的1个面来处理。地铁洞室在开挖过程中,围岩既可能沿着弱面发生破坏,也可能是围岩本身的塑性流动或受拉破坏,这与弱面在围岩中所处的位置及产状有密切的关系。
弱面分平面弱面和空间弱面2种,平面弱面就是假定弱面走向与隧洞轴线方向平行,因而表示这组弱面只需要1个参数———倾角β0。空间弱面就是弱面走向与隧洞轴线方向不平行,存在一个夹角γ0,由β0和γ0这两个参数才能确定弱面的位置,当γ0=0时,空间弱面实际上就成为平面弱面。
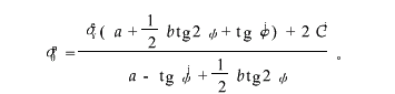
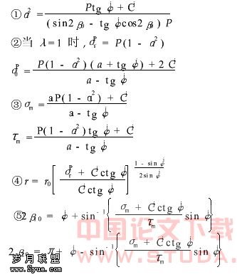
弱面土体强度由土体强度和弱面强度两部分组成,因而弱面土体的破坏形式有两种:1种是土体部分出现受拉破坏或压剪破坏,另1种是弱面本身出现受拉或压剪破坏。实际中一般土体强度与弱面强度的差值较大,这是只考虑弱面的破坏,而不考虑土体的破坏。根据郑颖人等的研究成果[4],平面情况下弱面的破坏准则为:


2.2 地裂缝区圆形隧洞围岩剪裂区的应力分布
当圆形隧道围岩弱面应力不超过弱面强度时,围岩处于弹性状态,如果不考虑弱面的各向异性,则可应用各向同性的弹性力学围岩的应力与位移[5]。为了求得围岩剪裂区的应力值,郑颖人等提出了近似计算方法,其前提条件是假设围岩剪裂区中径向塑性应力σpγ的数值和分布形状与弹性应力σeγ大致相近,且认为塑性区主应力方向也与弹性力学场类似,因而可以假定σpγ=σeγ,并具有与弹性应力场相同的主应力方向,然后应用莫尔—库仑准则求得塑性区切向应力σpθ和剪应力τpγθ,由此有剪裂区塑性应力:

3 西安市地裂缝对围岩稳定性影响的研究
这里仅对西安市近期地铁工程Ⅰ号线为例进行研究,Ⅰ号线斜跨于3条地裂缝之上。一是与和平门地裂缝在幸福路与长乐路交汇处相交F6,该地裂缝出露总长度10 40km,走向大致NE70°。地裂缝倾向南,倾角72~80°,发育带宽度55~110m。东段活动强烈,致灾严重。二是与西工大—西北大学地裂缝于长乐西路相交F7,该地裂缝出露总长度5 38km,总体走向NE30°,倾角85°,发育带宽度24~55m,活动中等,西北大学附近破坏较严重。三是与劳动公园地裂缝在莲湖路相交F8,该地裂缝总长度4 35km,总体走向NE75°,倾角85°,发育带宽度15~45m。在城区东、西两段活动较强,致灾严重。
以西安地区某些工程实例中50个土样的残剪值的统计值得出结论,弱面土的物理力学指标为隧道围岩土物理力学指标的1/6~1/2(Cj值),1/5~1/2(φj值)。在该范围内取值,Cj:10 9kPa,φj:10 1°。假设西安地铁为一半径r0=5m的圆形隧道,由于地裂缝对地铁洞室围岩产生的主要是剪切破坏,必然处于塑性状态,此时,可假设土的侧压力系数λ=1,则土体初始应力为P=Σγh(表1)。

该式表明:地裂缝与坐标轴的夹角为50°左右的地区,即是地裂缝对地铁洞室产生剪裂破坏而形成的剪裂区最大的地区。
由以下公式可得表2中的计算结果。

由各条地裂缝的倾角β0得出的最不利角度βl,表1和表2得出的剪裂区的最大半径及剪裂区边缘2点可估算出各条地裂缝存在时对地铁隧洞产生剪切破坏时剪裂区的位置,当地裂缝存在时,地铁洞室围岩产生剪裂区,地裂缝的倾角不同,围岩剪裂区的位置和形状也有所不同。

4 结 论
(1) 西安市区发育有11条地裂缝,大致平行排列,总体走向为NE70°,与临潼—长安断裂走向一致,地裂缝的活动具有周期性和差异性。
(2) 将地裂缝作为弱面处理,同时根据弹塑性理论和弱面的破坏准则为基础,得出弱面对洞室产生剪切破坏时的最不利角度为β1=45°+φ/2,计算出了不同倾角的弱面的剪裂区位置和范围,然后结合通过西安地铁Ⅰ号线之上的3条地裂缝F6、F7、F8进行实际计算,得出西安地裂缝对地铁洞室产生剪切破坏时的最不利角度约为50°,即地裂缝与给定坐标轴的夹角为50°的地方,就是地裂缝对地铁洞室产生剪裂破坏而形成的剪裂区最大的地方。
(3) 西安市地裂缝对洞室围岩破坏机理比较复杂,可以归结为动态和静态两方面的影响,本主要研究地裂缝处于静态时对地铁洞室围岩稳定产生的影响,并没有考虑地裂缝的不断运动对洞室围岩的破坏效应,以后还需深入地进行研究。
[1] 郑颖人.圆形洞室围岩塑性区应力和边界线的近似计算.地下工程,1980,(3).
[2] 吴嘉毅.西安地裂缝的工程性质.西安:陕西科技出版社,1990.
[3] 张家明主编.西安地裂缝研究.西安:西北大学出版社,1990.
[4] 郑颖人,刘怀恒.弱面体(弱夹层体)力学方法—岩体力学方法.水文地质工程地质,1981,(5).
[5] 于学馥,郑颖人等.地下工程围岩稳定分析.北京:煤炭出版社,1983.











