地基承载力的模糊可靠度分析研究
摘 要:由于地基承载力的各种影响因素常常表现出不同程度的随机变异性及模糊性,因此,地基承载力也应具有随机变异性、模糊性,地基的稳定则应视为一模糊概率事件。本文采用Vesic公式确定地基的极限承载力,并建立了相应的地基稳定可靠度极限状态方程,进而利用概率理论与模糊数学理论建立了地基失稳的模糊概率计算公式,对抗剪强度指标c、φ值的敏感性及安全系数与模糊失效概率之间的关系作了分析,得到了一些有益于设计的结论。
关键词:地基承载力;抗剪强度指标;模糊可靠度
1引言
在建筑地基基础设计中,现有方法主要是利用地基容许承载力进行地基基础设计的,其所采用的地基容许承载力是根据地基极限承载力除以定值安全系数得到的,即所谓的定值安全系数法。该方法在计算极限承载力时是采用传统的定值分析模式,没有考虑各个计算参数的变异性对极限承载力的影响,即便在计算时取用安全系数来考虑包括参数变异在内所有不利因素的影响也缺乏一定的依据,本质上仍属于定值分析的范畴[1~2]。事实上,由于地基极限承载力影响因素的复杂性和不确定性,导致岩土参数具有随机不确定性是不可避免,所以考虑影响地基稳定性的各随机变量的变异性与模糊性,用模糊概率来度量地基承载力的安全度,并采用可靠度理论对地基稳定性进行分析则更加符合工程实际。
概率分析是针对随机事件发生的可能性而言,但事件本身的含义明确;而当事件本身具有模糊性时,对事件发生的可能性进行描述则用模糊概率分析方法[3]。就地基的稳定性而言,失稳和稳定本身就是具有一定模糊性的事件,在二者之间存在一个模糊过渡区。因此,本文将视地基失稳为一模糊概率事件,利用概率理论与模糊数学理论建立分析地基失稳的方法,并通过建立相应的隶属函数对影响参数变异性及荷载效应与模糊可靠度之间的关系作进一步的分析。
2模糊概率的基本概念及模糊可靠度
工程问题的数学模型通常可分为三种:(1)背景对象具有确定性或固定性,且对象之间又具有必然联系的确定性模型;(2)背景对象具有或然性或随机性的随机性模型;(3)背景对象及其关系均具有模糊性的模糊数学模型。工程中传统的分析方法属于确定性模型,它以定值参数及定值安全系数来衡量工程的可靠度。而工程中目前使用较多的概率分析法则属于第二类方法,即随机数学模型,其以可靠度作为工程安全的评价标准,由于考虑了参数的随机性从而比定值安全系数法合理。但是参数本身不仅具有随机性而且还具有模糊性,理想的方法应该同时反映这些性质,模糊可靠度分析则能很好的体现此特性,因此,本文采用模糊可靠度分析方法对地基极限承载力进行分析。
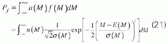
由模糊数学理论[4]可知,如果模糊事件A在区域X上的隶属函数为u(x),则该模糊事件的概率[5]可表示为

式中,f(x)为X的概率密度函数。
则模糊可靠度为:

3地基失稳的模糊性及隶属函数确定
进行地基模糊可靠度分析,首先要建立地基稳定的极限状态方程。以综合随机变量表示的极限状态方程为:

式中,fu为地基的极限承载力,s为作用于基础底面的点荷载效应,等于恒载sG与活载sQ之和,即为:

地基极限承载力的计算公式较多,一般采用汉森公式[6],可写为:

式中,Nr,Nc,Nq为承载力系数,按Vesic公式有:
按传统的非此即彼的思维方法,可知M<0,地基失效;M>0地基稳定。实际上地基失效是一个过程,而不是由某一个点的状态决定,是一模糊事件。若用uA表示失效程度,则当uA接近0时,表示失效的可能性很小;当uA=0.5时,处于失效与非失效的模糊状态,可看作传统分析的极限平衡状态;当uA=1时,失效的可能性最大,因此公式(3)中的M为随机变量,其数字特征值为:


由于M同时具有模糊性,在此设M的失效程度隶属函数uA采用降半梯型分布[7],即

4安全系数下地基稳定的模糊可靠度计算
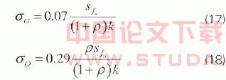
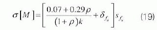
式中,sG为恒载效应均值,sQ为活载效应均值, 为c、φ均值代入式(6)所的结果。
考虑荷载效应比值,代入(13)可以确定sG,sQ为:

式(15)、(16)代入(9)得到:

按《建筑结构设计统一标准》的规定,恒载效应的变异系数为0.07,活载效应的变异系数取为0.29,所以有:

不考虑fu,s之间的相关性,即cov(fu,s)=0,则由式(10)可得:

本文视几何尺寸B、D,土性指标γ,γ0为常量,仅把抗剪指标c、φ作为随机正态变量,简化假设fu,s也服从正态分布,则z近似服从正态分布,分布密度函数为

将(11)、(16)、(19)、(20)代入(1)得到地基失效的模糊概率为
地基失效的模糊可靠度为:

5算例分析
已知某条形基础,基底宽度3.5m,埋深2.5m,各随机变量均服从正态分布,其均值和变异系数如表1所示,取安全系数为2,荷载效应比值为0.5,试求地基的模糊可靠度。
5.1 将各基本随机变量代入公式(22)、(23)可以计算得到:
Pf=23.16%,此时模糊可靠度β=0.75。
5.2 基本随机变量对模糊可靠度的影响 为了分析不同随机变量的变异对模糊失效概率的敏感程度,特对某一随机变量的变异系数进行了单独调整,并分析计算结果的变化,见表2。
从表中结果可知c、φ值的敏感性大,而γ的敏感性小,为简化计算,γB、γD可视为常量。
5.3 荷载效应ρ与模糊可靠度的关系
表3给出了安全系数为2时荷载效应与模糊可靠度的关系,由分析结果可知,当荷载效应系数增大时,活荷载的比重相应增加,由于其变异性比恒载大,故模糊失效概率增加。
6结论
地基承载力的模糊失效概率值,不仅考虑了基本随机变量的随机变异性,同时考虑了变量及判别模式的模糊性,因此,计算分析结果更为合理、全面。通过研究分析可得如下结论:
6.1地基承载力的模糊概率分析的主要影响因素为强度参数c、φ的变异性,而γ的变异性可以不计,计算中按常量考虑;
6.2随着荷载效应系数的增大,地基承载力的模糊失效概率增加。
:
[1] 高大钊.土力学可靠性原理[M].北京: 建筑出版社,1989.
[2] 倪红,刘新宇,秦玉.土性参数概率特性对地基承载力可靠度的影响[J].解放军理工大学学报(版),2004,5(3):67~69.
[3] 郭书祥,吕震宙.概率模型含模糊分布参数时的模糊失效概率计算方法[J].机械强度,2003,25(5): 527~529.
[4] 彭祖赠,孙韫玉.模糊(Fuzzy)数学几其应用[M].武汉:武汉大学出版社,2002,3.
[5] 吕震宙,冯元生.考虑随机模糊性时结构广义可靠度计算方法[J].固体力学学报,1997,18(1): 80~85.
[6] 熊启东,高大钊.用汉森公式确定地基承载力的可靠度分析[J].岩土工程学报,1998,20(3): 79~81.
[7] 张铟,朱峰,张懿.复合地基承载力的模糊可靠度分析[J].武汉理工大学学报,2003,25(11): 40~43.











