基于k-means聚类的模糊神经网络市场清算电价预测
来源:岁月联盟
时间:2010-08-30
1 引言
在电力体制改革的过程中,电价作为重要的杠杆,在建立和培育电力市场、优化配置电力资源及调整各种利益关系等方面具有不可替代的作用。MCP(Market Clearing Price)反映了电力商品的短期供求关系,对MCP的准确预测将为市场监管部门提供重要的依据,从而促进市场健康、稳定、有序地。因此,电价预测已成为许多学者研究的热点,提高电价的预测精度成为研究的核心。 人工神经网络(ANN)能够处理多变量和非线性问题,且具有自适应和容错能力,预测精度高,是目前研究比较多的预测MCP的方法。但是,利用ANN进行MCP预测存在网络复杂,训练速度慢,缺少学习不确定、模糊信息的能力等诸多缺点。而模糊逻辑系统恰能处理不确定、模糊的信息,信息处理的速度快,因此近年来,把两者结合起来的理论—模糊神经网络(FNN),引起了许多学者的广泛关注。已经有学者应用FNN预测电价,预测精度也有了一定的提高,但大多数采用的是正规化的模糊神经网络(NFNN) [1-2]。这种模型需要根据专家的经验确定每一个变量的模糊分割数,但有时候连专家都很难把握某些经验。针对NFNN存在的缺陷,本文采用一种改进的FNN模型,利用北欧电力市场的电价数据对模型进行训练,并预测MCP,仿真结果表明所提出的模型能达到较高的预测精度,具有一定的研究价值。2 电价的特点
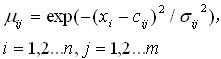
电力的市场化运营使得电力和普通商品一样可以自由交易,电力价格会随机波动,但是由于电力的特殊性,使得电价表现出与普通商品价格不同的特点[3]。首先,由于电力商品不能有效存储,而电力消费要求实时供需平衡,这使得电力价格呈现出强烈的波动性,如图1 所示。其次电价受许多随机、不确定、模糊因素的影响,如负荷、气温、降水量、发电商的报价策略、系统设备故障等,使得电力价格出现跳跃和尖峰。此外,电价受季节和气候等因素的影响,具有很强的周期性,包括季节、星期和天的周期性。正因为电价序列多样性的特点,所以目前电价预测准确度普遍较低。
图1 北欧电力市场2007年第47、48周的电价3 模糊神经网络[4]
FNN充分利用了模糊逻辑系统和ANN的优点,避免了各自的缺点。把神经网络引入到模糊系统中,用神经网络高速并行地实现模糊推理,通过对神经网络的训练去记忆人们的经验知识,比常用的模糊逻辑方法更符合人类认识的模式。并且采用了模糊数学的方法,处理单元的计算变得较为简单,信息处理的速度加快。 FNN仍然按照模糊逻辑的运算步骤分层构造(输入层、模糊化层、模糊推理层和反模糊化层)。通常,FNN的实现方法是先提取模糊规则,再利用神经网络的学习算法对神经模糊系统的参数进行调整。由于FNN由模糊规则组成,既能通过先验知识初始化模糊规则,又能利用训练样本直接建立模糊规则。因此FNN的学习过程既可以是数据驱动的,又可以是知识驱动的。通常先采用专家经验获取模糊规则,然后通过网络学习完善模糊规则,但这种方法实现起来十分困难。而引入神经网络后,不仅解决了先验知识不足时模糊规则的自确定问题,而且还可以实现模糊系统的自适应功能。 目前已经有学者应用FNN对短期电价进行预测,预测精度相比ANN有了一定的提高,但大多采用的是正规化的模糊神经网络(NFNN)。这种模型需要根据专家的经验确定每一个变量的模糊分割数,如果分割数过多,网络规则数就会按指数速度增长,网络规模相应的也会扩大,这势必会增加网络的训练时间。如果网络有8个输入变量,每个变量有3个模糊分割数(一般为高、正常、低),那么网络规则数就有38;如果分割数过少,则会影响网络规则的描述的全面性,预测精度也会大大折扣。而电价受许多不确定因素的影响,有时候连专家都很难把握某些经验。针对NFNN存在的缺陷,本文应用了一种改进的FNN模型。4 改进的模糊神经网络
4.1 网络的结构[5]
本文应用的模糊神经网络为一个四层网络,分别为输入层、模糊化层、推理层、以及反模糊化层,如图2所示。
输入层对应的输入变量x是一个n维的特征向量。 模糊化层节点的个数为m×n,输入变量为xi,i=1,2…,n,输出为n个变量的m个模糊化值,高斯型隶属函数具有光滑平稳的过渡特性,是应用最多的一种隶属度形式,故本文采用高斯型隶属函数,公式为:
表示函数的宽度,m表示模糊规则的数目。在FNN中参数c、
被看作是网络模糊化层和模糊规则层的连接权值,在网络训练过程中不断得到调整。 模糊推理层每个节点对应一个模糊规则,其节点的输出是隶属函数的乘积。

4.2 的学习算法
FNN本质上是实现输入和输出的非线性映射,参数c,
和w可采用误差反向传播算法进行调整,其目标函数选为:
ij对 wij的调整可以用以下公式:
是网络的学习率。4.3 k-means聚类
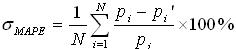
通过对样本的k-means聚类确定模糊规则的数目。算法的思路是:首先随机选择 k个对象代表k个类,每一个对象作为一个类的原型,根据距离最近的原则将其它对象分配到各个类中。在完成首次对象的分配之后,以每一个类的所有对象的平均值(mean)作为该类新的原型,迭代进行对象的再分配,直到没有变化为止,从而得到最终的k类。
图3 聚类效果图 通过对样本聚类,聚类数为2时聚类效果最好,如图3所示。为了提高精度,我们取聚类数为2,3,4,分别对网络进行训练,然后对网络输出加权平均,结果即为预测时刻的电价。5 算例
5.1 输入变量的选择
输入变量要选择与预测电价有显著相关性的变量。各市场的电价均有较高的自相关性,前期的电价必然会影响后期的电价,电价是电价预测的基本因素。针对电价序列周期性的特点,本文选择8个变量作为网络的输入,分别为P(d,t-1)、P(d,t-2)、P(d-1,t-1)、P(d-1,t)、P(d-1,t+1)、P(d-7,t-1)、P(d-7,t)、P(d-7,t+1),输出为P(d,t),即为预测日t时刻的电价。5.2 算例分析
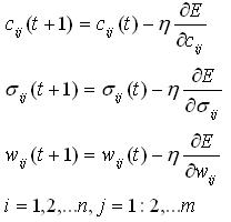
本文采用北欧电力交易市场公布的07.10.29至08.2.10期间的电价数据对网络进行训练,并预测08.2.11至08.2.17各时段的电价。11日的电价预测曲线如图4所示。
图4 11日的电价预测曲线 评价预测结果使用下面两个指标: a:日平均绝对百分比误差
:
pi为预测时刻实际电价,pi'为预测电价,N=24,是北欧电力市场日清算电价个数。 表1给出了不同方法的日平均绝对百分比误差和日平均准确率,神经网络选用了BP神经网络。通过表中数据可以看出,改进的模糊神经网络模型总体效果较好,提高了预测精度。13日的
仅有0.66%, 高达99.09%。15日8:00实际电价到达了75.11EUR/WMh,预测结果偏离实际值较大,可能是导致误差比ANN大的原因,从而可以看出本文方法对尖峰电价预测效果不好,而对于电价变化相对平稳的时刻效果却很明显。算例分析结果充分证明了模糊神经网络在电价预测方面具有较好的应用前景。表1 11-17日的电价预测误差和准确率| 日期 | ANN | 本文方法 | ||
![]() | R | ![]() | R | |
| 2008-02-11 | 3.7 | 94.30 | 3.16 | 95.32 |
| 2008-02-12 | 2.56 | 96.72 | 1.63 | 98.15 |
| 2008-02-13 | 3.97 | 95.16 | 0.66 | 99.09 |
| 2008-02-14 | 5.97 | 91.25 | 4.80 | 93.29 |
| 2008-02-15 | 7.37 | 89.44 | 7.50 | 86.75 |
| 2008-02-16 | 7.44 | 89.60 | 6.49 | 92.58 |
| 2008-02-17 | 3.31 | 95.50 | 2.17 | 97.27 |
6 结论
本文应用改进的模糊神经网络预测市场清算电价,该方法有以下优点:①预测结果准确率相比ANN有较大的提高。②尽管预测模型是基于模糊理论的,但是并不需要进行详细的规则设计,只需要通过样本聚类来确定模糊规则数,这就提高了该方法的适应性。因此,该方法在预测电价方面有广阔的应用前景。但是该方法在应用中也有缺点,比如对尖峰电价预测误差较大;训练样本少时,预测结果不是很精确。 电价受许多随机、不确定因素的影响,本文仅考虑了历史电价对预测时刻电价的影响,而没有考虑其它因素,这也是本文的不足之处,下一步将一并考虑其它因素对电价的影响,进一步提高电价预测的精度。[1] 赵庆波,周原冰,郭蓉,等.模糊神经网络在电力系统边际电价预测中的应用[J]。电网技术,2004,28(7):1-4.[2] Nima Amjady.Day-Ahead Price Forecasting of Electricity Markets by a New Fuzzy Neural Network[J].IEEE TRANSACTIONS ON POWER SYSTEMS,2006,21(2):887-896.[3] 张显,王锡凡,陈芳华,等.分时段短期电价预测[J].电机工程学报, 2005,25(15):1-6.[4] 张凯,钱锋,刘曼丹.模糊神经网络技术综述[J].信息与控制,2003,32(5):1-5.[5] 王士同.模糊神经系统、模糊神经网络及应用程序设计[M].上海:上海技术文献出版社,1998.下一篇:多路温度巡检系统的硬件设计