基于离散F距的在线手写签名认证算法
来源:岁月联盟
时间:2010-08-30
1 引言
随着的普及,安全问题越来越突出。如何准确地鉴定一个人的身份,保护信息安全是当今信息化时代必须解决的一个关键问题。目前,指纹识别、语音识别和签名识别在信息安全领域应用的较为广泛。而手写签名认证技术与其它身份认证技术相比具有明显的优点:与指纹、语音等其它生物特征识别相比成本较低,并且不需要专门而且复杂的采样设备。与传统的密码、口令识别技术相比较,又不会丢失遗忘。因此,签名认证技术将会在信息安全领域有着广阔的前景。 从20世纪80年代起,有很多学者都致力于研究签名认证的算法。随着机技术的,签名认证的算法主要有特征值法和函数法两大类。比较有代表性的有:Mohankrishnan和Paulik提出了一个基于自回归(Autoregressive)模型的签名认证方法[2]。而Yang和Widjaja提出了隐马尔可夫模型(Hidden Markov Model)法[3]。20世纪90年代后期,一些研究者以签名波形跳变点的能量[5]为特征,将动态时间规整方法应用于签名的匹配。最近武汉理工大学的郑建彬教授提出了一种基于演化计算的签名认证算法[4],该算法将参考签名分割成曲线段,以一定长度的搜索窗在测试签名曲线上进行动态搜索,实现与参考签名曲线段自适应的动态分割与匹配。 由于签名的特征的多样性,在签名中取何种特征,至今还没有定论。而对于函数法,由于每个人的签名都有很大的随意性,且将签名用函数表示十分复杂。因此,目前很难提出一个较好地评判签名相似度的准则,从而给比较测试签名和参考签名相似度带来很大困难。本文给出了一种新的关于曲线相似性的定义,并且利用了离散F距[1](Discrete Fr´echet Distance)作为距离的测度,提出了一种新的在线手写签名认证算法。该算法以签名曲线的离散F距作为评判准则来比较测试签名和参考签名的相似程度,建立数学模型,利用了签名曲线中特殊点的平移和删除等技术,提高了算法的效率,收到了较好的效果。2 基于离散F距的签名认证算法
离散F距的数学定义如下: 定义1:给定两参数曲线f:[0,1]→R2和g:[0,1]→R2,它们之间的Fr′echet距离的定义如下:
,
涉及到所有连续非减的实函数且
(0)=
(0)=0 ,
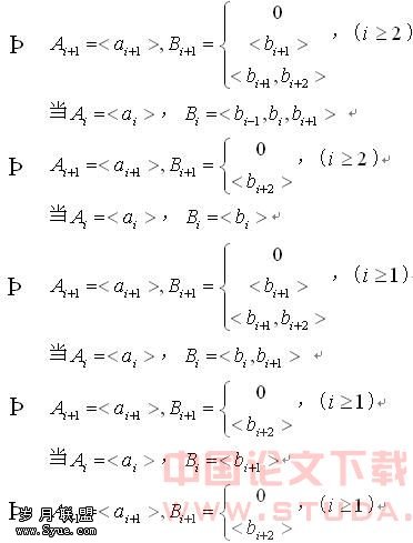
(1)=
(1)=1 。 定义2:①给定一个有n个至高点的多边形链p<p1,p2,...pn>,一个沿着p的k步,分割p的至高点成为k个不相交的非空子集
,使得
和
。 ②给定两个多边形链
,
,一个沿着A和B的组合步是一个沿着A的k步
和一个沿着B的k步
组成,使得对于
,要么
,要么
(就是说Ai,Bi中有一个恰好包含一个至高点)。 ③一个沿着链A和B的组合步W={(Ai,Bi)}的花费(cost)就是
这个组合步W={(Ai,Bi)}称为链A和B的Fr′echet排列。3 算法的设计与实现
在线签名认证系统分为硬件采集数据和软件验证两个部分。硬件部分是通过手写板实时采集书写人的签名信息,签名的采样时间为每隔10ms采样一次。除了可以采集签名位置信息,还可以记录书写时的速度、运笔压力等动态信息。通常情况下我们使用的比较多的是手写板上采集到的X坐标、Y坐标、压力值等信息。图1是某人的签名和其对应的X坐标曲线。
图1 参考签名和测试签名X轴坐标对应曲线 假设参考签名提取出的特殊点(这里以波峰点为例)有 个,记 ;测试签名提取出的波峰点有 个,记为 ;且 。以峰值点少的集合 为基准,利用Fr′echet排列的定义将峰值点多的集合 分成 部分,而这种划分假设有 种( ),则集合 和 的 种Fr′echet排列 。由于对于 ,要么 ,要么 (也就是说 , 中有一个恰好包含一个峰值点),且若 , ,则 , 。即是上一步的划分会直接影响到下一步的划分。3.1 搜索空间的确定
在判断相似性的时候,如果两条曲线是相似的话,那么其中参考签名曲线的第 个峰值点只可能与测试签名的对应的第 个峰值点或其相邻的峰值点相关,故在签名认证算法中设定的搜索空间是参考签名曲线的第 个峰值点只可能与测试签名曲线的对应的第0个峰值点(参考签名的第 个峰值点可能为多余的峰值点)、第 个峰值点、第 个峰值点、第 个峰值点对应匹配。这种方法实际上是利用了特殊点的平移和删除技术,压缩后的搜索空间如下: ①在A和B的k种Fr′echet排列中对于任意一种



3.2 基于离散F距的判别签名曲线相似性的算法:
离散F距用于签名认证的算法如下: (1)假设签名提取出的特殊点(这里以波峰点为例)有 个,记 ;测试签名提取出的波峰点有m个,记为
,
且m≤n。若n-m>5,则认为参考签名和测试签名不相似,算法结束;否则执行下一步。 (2)以参考签名提取的峰值点序列A 为基准,其共有 m个波峰点;然后将集合B 的n 个峰值点分为m 部分,根据搜索空间的范围,然后找出所有满足条件的划分,假设有k 种划分情况( k∈R),在每一种划分(或Fr′echet排列)
中, 集合B的每一部分均与集合A的每一个峰值点对应求距离。这里的峰值点之间的距离定义为
,两个签名的每一部分的特殊点将各自对应进行匹配,选择出每一部分内部的所有对应点之间的最大距离。根据组合步的数学定义,求出每一种划分方法中的 部分距离的最大值,即
)。 (4)用此种划分对波峰和波谷分别进行研究,得出两个波峰间的最小距离
和两个波谷间的最小距离
;对于给定的阈值
,则判定两条曲线相似,否则判定两条曲线不相似。如果
越小,表示参与匹配的参考签名与测试签名的距离越小,即它们的相似度越高。 基于离散F距算法的流程图如图2所示。
图2 基于离散F距算法的流程图 同时根据以上算法求出参考签名和测试签名的波谷点的离散F距
和判决门限
比较,若
,则可以判定测试签名和参考签名匹配。4 实验结果分析
为了初步判别出不同人的签名,需要对参考签名和测试签名进行特殊点的归一化。在初步匹配阶段,需要将提取出的特殊点的集合以第一个特殊点为基准进行位置归一化,使两条签名曲线的第一个特殊点的位置坐标重合。在匹配过程中设置当波峰点的最优值
和波谷点的最优值
均大于门限E时,则判定两个签名不匹配。
图3 某人的两次签名归一化前和归一化后的峰值点的曲线(两个签名均有17个峰值点) 通过对同一个人的真实签名、不同人的签名、随机伪造签名和熟练伪造签名做实验对比,可以初步设置判决门限
=150,E=900。 如果
,表示参考签名和测试签名匹配。 表1选取的是签名样本库中的同一个人的若干次签名,在全局范围内求出他们的的最优值dmin,并与匹配门限比较,判断是否匹配。表1 某人10个真实签名的X坐标曲线的匹配情况| zeq01.h | zeq02.h | zeq03.h | zeq04.h | zeq05.h | |
| zeq01.h | 0 | ||||
| zeq02.h | 2 | 0 | |||
| zeq03.h | 265 | 29 | 0 | ||
| zeq04.h | 71 | 88 | 168 | 0 | |
| zeq05.h | 174 | 114 | 356 | 103 | 0 |
| zeq06.h | 6 | 8 | 95 | 89 | 121 |
| zeq07.h | 28 | 18 | 33 | 215 | 65 |
| zeq08.h | 30 | 70 | 83 | 71 | 71 |
| zeq09.h | 50 | 74 | 74 | 96 | 100 |
| zeq10.h | 120 | 67 | 64 | 88 | 60 |