关于资金成本和资本成本的理论思考
【摘 要】 资本成本是财务理论中的核心概念之一。但我国理论界和实务界目前对此概念的理解并不透彻,导致在财务决策尤其是投资决策中没能充分发挥这一核心概念的作用,有时甚至会作出错误的决策。本文旨在对资本成本这一核心概念进行探讨,提出“摒弃资金成本概念,使用资本成本概念”的观点,以正确作出有利于价值增加的决策。
【关键词】 资金成本; 资本成本; 理论辨析
一、对资金成本和资本成本的不同表述
我国财务学界对资金成本和资本成本不作严格的区分,经常将其作为同义语使用,更多的人倾向于使用资金成本概念。而西方国家则主要使用资本成本概念。我国财务学界对资金成本的普遍解释为:所谓资金成本就是企业筹集和使用资金所花费的代价,包括资金筹集费用和资金使用费用两个部分。这是目前我国众多财务教科书中的概念,也是我国财务学界的主流观点。由于其具有普遍性和典型性,笔者在此不再一一列明出处。西方财务理论界较为流行和普遍认同的观点是从“最低报酬率”角度来界定资本成本的。最具有代表性的是美国学会(AAA)于1984年11月发表的“管理会计第44号公告——资本成本”中对资本成本的定义:“企业的资本构成包括各种资金来源,资本成本则是这些资本成本的综合指标,它是为了不减少股东利益而必须从新追加的投资中取得的最低报酬率。”西方许多财务管理专家也都持有类似的观点。
二、我国财务理论界应接受资本成本理念
我国财务界对资金成本的概念本文中简称“资金使用代价论”。笔者认为,“资金使用代价论”仅仅是基于表层的观察,尚未揭示出资本成本的本质特征。比如,实务中许多人觉得借款利息率就是资本成本,而有的人则认为由于公司可以不分配股利而以为股权资本是没有使用费的,是没有资本成本的。这种理解的错误与众多教科书有直接的联系。笔者认为西方的资本成本概念更为合理、,并主张我国财务学界应摒弃传统的资金成本概念,完全接受西方的资本成本概念。
三、从投资者角度理解资本成本是理性的选择
关于资本成本,有人认为既可以从筹资者的立场观察,也可以从投资者的立场观察,两者没有区别,只是角度不同而已。但笔者认为从投资者的角度观察并理解资本成本更符合实际,更有助于理财目标的实现。企业财务管理的总体目标是企业市场价值最大化,也就是实现投资者的财富最大化①。企业经营者的决策,无论是筹资决策还是投资决策,都应紧紧围绕增加企业价值这一核心。为什么要有企业?原因是企业所有者期望通过组建企业赚取报酬,增加财富。企业筹集和使用资金为什么要支付代价?原因是投资者(包括债权人和所有者)对他们投入资金的企业提出了报酬的要求。企业只有为其投资者创造价值才能够筹集到资金。如果一家企业无法为其投资者创造价值,那么企业就不能吸引到权益资本和债务资本为企业的经营活动提供资金。没有资金,也就没有企业。那么投资者要求的报酬率如何确定呢?财务学研究的结果表明,投资者要求的报酬率取决于投资对象及其风险的大小,而非取决于不同的融资方式。事实上,筹资和投资都是创造企业价值的两个过程,但比较而言,投资对象及其风险大小则是影响企业价值最为直接和根本的因素。筹资问题只不过是将通过投资对象吸引的资金从技术上纳入企业的资金运营而已。正如斯蒂芬·A.罗斯等在其所著的《公司理财基础》一书中指出的:“我们将或多或少地交替使用必要报酬率、适当的贴现率和资本成本这几个术语。它们所指的实际上是同一个东西。要抓住的重点是,一项投资的资本成本取决于该项投资的风险。这是公司理财中的主要启示之一,所以值得重说一遍:资本成本主要取决于资金的运用而不是资金的来源。一个常见的错误是忘记了这个至关重要的要点,而掉入陷阱之中,以为投资的资本成本主要取决于如何从哪里筹集资金。”②
四、从学的角度把握资本成本
企业进行生产与经营的各种支出称之为成本。然而,在经济分析中仅从这样的角度来理解成本是不够的。因为当企业把经济资源用于某种产品时,就放弃了这些资源的其他用途。因此可以从两个不同的角度来考察成本:企业生产的实际支出,以及为了这种生产所放弃的东西。前者是会计成本,后者是机会成本。“资金使用代价论”容易使人误以为那些支付出去的、有形的代价才是成本,而忽略了那些无形的、更为关键的成本,从而会使决策者作出一项错误的决策。资本成本作为一个财务学的概念,决不能混同于会计学中的成本概念。从财务学的角度而言,研究资本成本的目的主要是面向未来的决策,而不是记录历史上筹集资金究竟花了多少代价。例如,某企业有A、B两个项目,A项目的预期报酬率为6%,B项目的预期报酬率为8%。该企业可以4%的利率从银行借入项目投资所需资金。在这种情况下,如果企业选择了B项目,那么按净现值(NPV)法对B项目进行投资收益评价时运用的资本成本(折现率)应该是多少呢?难道是取得银行借款的代价即4%的利率吗?不是。正确的选择应该是被放弃的A项目的预期报酬率,即6%,这是选择B项目进行投资的机会成本。在B项目的投资收益评价中,借款利率4%成为不相关因素,尽管它决定了企业“代价”的多寡。
五、“资金使用代价论”不能合理解释权益性资本成本
通过发行股票或吸收直接投资取得的资金属于企业的权益性资本而非负债,企业不仅拥有资金的使用权,同时也拥有资金所有权。权益筹资不用归还本金,企业具有确定利润分配政策的权力。在某些特定年份,企业可能不向所有者分配利润或只分配较少的利润。按“资金使用代价论”的逻辑,在企业不分配利润的情况下,就没有“资金使用费”,也就没有资本成本,似乎企业可以免费使用权益资金。企业权益性资金中的留存收益部分更是如此。对留存收益部分企业既不需花费筹资费用,也无需支付固定的用资费用。既然如此,企业在使用权益性资金投资于具体项目时,就可以没有“最低报酬率的要求。”只要项目有收益(正的净现金流量),无论收益率(指内含报酬率IRR)高低,哪怕只有1%的收益率,都能为企业增加价值,为所有者增加财富,因为使用权益性资金是没有成本的。显然,这样的逻辑是荒谬的。从机会成本角度考虑,如果投资者使用一笔资金的收益率低于其它投资所获得的收益率,该投资者将会丧失二者的收益差额,此即为使用该笔资金的机会成本。正是在这个意义上,从投资者的角度考察,权益资本成本才具有成本的含义,即“投资者所要求的最低报酬率。”我国财务学界从筹资者的角度考察资本成本,实际上忽略了资本成本的本质。因为投资者最终决定是否投资于某个对象,他所判断的依据是,该对象至少要获得与其风险等价的其它对象投资的报酬率。从投资者角度而言,资本成本其实就是他根据投资的风险水平而提出的“必要或要求的报酬率”。从根本上讲,资本成本的高低取决于投资对象本身的风险大小,而不是企业的筹资活动。一个企业生存下去的基本前提,就是企业能满足投资者的报酬率要求;否则,企业就筹不到资金,就会萎缩,就会终止。
六、资本成本就是投资者要求的必要报酬率
我国财务学教材中关于资金成本的计量公式,大多和西方计量资本成本的公式一致。当我们详细考察这些计量方法时,可以看出,它们并不是企业筹集资金的代价,实质上它们都是投资者要求的报酬率。笔者以具有代表性的债务成本和股权成本加以论证分析。
(一)债务成本计量的常见公式

上述三个公式中,公式一显然指的是债权投资人要求的报酬率;公式二的分子是债权投资人得到的年利息(年收益),分母是投资额,Kb是投资收益率,但该公式没有考虑资金的时间价值;公式三中的Kb其实质是投资方案的内含报酬率,因为B0是债权人进行债权投资时的现金流出的现值,公式右边则是债权人将来的现金流入的现值,此公式中的Kb即是债权投资人进行一项投资时净现值(NPV)为零的折现率,也就是投资方案的内含报酬率IRR。
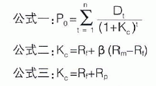
(二)股权成本的常见计量公式

上述三个公式分别称为股利折现模型、资本资产定价模型、无风险利率加风险溢价模型。式中P0为普通股筹资净额,Dt为第t年的股利,β为某公司股票收益率相对于市场投资组合期望收益率的变动幅度,Rm为市场投资组合的期望收益率,其它字母含义同前。无需赘言,财务学界同仁普遍知道这三个公式的含义,其中Kc为普通股的资本成本,即普通股投资的必要收益率。
值得思考的是,我国财务学界在定义资金成本时强调的是“筹集和使用资金的代价”,而在计量资金成本时却无一例外地采用了描述投资收益率的资本资产定价模型。这一矛盾的逻辑再次体现出对资本成本认识的欠成熟性。
七、摒弃资金成本概念、使用资本成本概念
通过上述分析,笔者认为我国财务学界应摒弃传统的资金成本概念,全面接受西方财务学界关于资本成本的理念,即资本成本是投资者(债权人、所有者、企业等)对投入资本要求的必要收益率,是投资的机会成本。这样界定资本成本概念的理由在于:一是体现了资本成本是投资者进行投资的必要报酬率这一本质特征。二是强调了资本成本是机会成本这一内涵。三是从必要报酬率角度出发,从不同投资主体角度分层次研究资本成本,可以突出资本成本在财务决策中的作用和适用性:企业筹资决策时要根据债权人和所有者的要求来确定企业的债务成本和权益成本。因为这时企业是筹资者,债权人和股东是投资者。这里需要强调指出,由于各种不确定性因素的影响,债权和股权投资者的实际报酬率和期望报酬率并不完全一致,企业作为一个利益和决策主体,也要遵循低成本筹资的原则,但这并不否认企业筹资时要考虑投资者报酬率的要求。相反,从长期看,一个不考虑投资人报酬要求的企业、长期无法满足投资人报酬要求的企业最终将筹不到资金而无法摆脱终止的命运。更为主要的是,突出了资本成本在企业投资决策中的作用和适用性。企业作为投资决策主体时,要根据项目(包括项目风险因素)来确定资本成本(折现率),而不是不问项目及其风险,通篇一律地采用“加权平均资本成本(WACC)”去评价项目可行性。针对不同项目及其风险大小来确定与项目对应的资本成本(折现率),这样可以达到优化投资决策的目的。四是摒弃我国传统的资金成本概念,将资本成本概念与西方主流财务学接轨,不仅可以揭示资本成本的本质和内涵,而且有助于我们与西方财务理论界的交流和沟通。
【】
[1] 全国专业技术资格辅导教材.财务管理.财政出版社,2005.
[2] 杨淑娥,胡元木.财务管理研究[M].经济出版社,2003.
[3] 斯蒂芬·A.罗斯,等著.方红星,译.公司理财基础[J].东北财经大学出版社,2002.
[4] 汪平.财务理论[M].经济管理出版社,2003.
[5] 宋琳.资金成本与资本成本的区别[J].会计研究,2004,(12).
[6] 齐寅峰.公司财务学[M].经济科学出版社,2002.