示踪技术在流域泥沙研究中的应用

来源:岁月联盟 作者:王晓燕 田均良 杨明 时间:2010-08-23
摘要:介绍并评价了流域产沙的估算及流域泥沙来源的确定方法,分别突出了核素示踪技术与地球化学方法在流域沙帐、现代河流悬浮泥沙及泥沙来源的确定等方面的优势。 百年来流域泥沙来源的历史信息可以通过核素示踪技术与组合指纹法的结合重现。这为研究百年来侵蚀环境变化及其与土壤侵蚀、泥沙产量变化之间的关系提供了基础。可以进一步解 释历史沉积泥沙中所包含的环境信息,为环境治理措施的选择提供依据。

关键词:泥沙预算 泥沙来源 环境变化 核素示踪 组合指纹法 


  流域内侵蚀掉的土壤只有很小一部分到达流域出口,而出口处泥沙则作为流域的输沙量,流域 内的总侵蚀量与流域出口处输沙量之间的关系可以用泥沙输移比(SDR)来表示,即SDR定义为流域出口输沙量与流域总侵蚀量之比。由于地表特质及环境的差异,从长期来看,国内外不同流域的SDR是明显不同的,如非洲几乎所有河流的SDR均较小,一般在10%左右[1] ,而黄土区各流域系统的SDR约等于1[2]。流域侵蚀产生的泥沙在输送过程中,可能在坡面、坡脚、田间、低洼地、河漫滩和河床等位置淤积,并呈临时性或永久性的沉积,使流域产沙及泥沙来源的定量研究复杂化。研究流 域侵蚀产沙和泥沙来源的时间变化对于流域治理重点的选择具有重要意义。 
  1 流域侵蚀产沙定量研究
  传统的通过监测河道中某一特定位置的泥沙通量或一定时期内湖泊(或水库等沉积区)接受的泥沙体积得到的流域产沙量往往使流域侵蚀速率的估算过低,加上泥沙沿途沉积、再移动等动力学特性,使流域产沙量和河道传输泥沙的真实特征被掩盖了。Dietrich和Dume[3]最早提出泥沙预算和运移路径研究,从而为研究流域泥沙动力学提供了一比较精确的方法。这一方法能将泥沙在流域(或更小单元)内的移动、输送及储存定量化,泥沙路径的研究集中于泥沙通过一系列地貌单元的所有运动上[4]。如有关学者分别对美国威斯康辛州Coon溪、加利福尼亚州Lore Tree溪及苏联欧洲部分Oka河上游侵蚀和泥沙输送、沉积及下游产沙之间的关系研究结果为,各个河流的沙帐形式及各种损失的位置及重要性有很大的差异,流域出口泥沙分别占侵蚀产沙的53%~55%不等[5]。泥沙预算需要识别和定量化泥沙来源 、输送过程及储存环境,并确定三者之间的联系,但通常很难在流域尺度获得建立泥沙预算的所有必要的信息,而传统的研究土壤侵蚀和泥沙沉积的方法在操作上存在着大量的困难,且取样也受到时间和空间上的限制。近年来,137Cs法在估算流域的沙帐方面显示出其优点。
  137Cs法建立泥沙预算的理论基础是:137Cs从大气沉降至地表有确定 的时间模式,半衰期为30.2年, 137Cs与地表物质的紧密结合使其能有效地 用于年 代学和中长期土壤侵蚀示踪等研究中。利用137Cs进行泥沙预算需要利用137Cs在环境中的示踪剂的功能。137Cs在沉积环境 中记年和估算沉积速率的原理是:137Cs的输入有一确定的时间模式,因此137Cs在泥沙剖面中的垂直分布对应着这一时间模式,即剖面137Cs分布的最深处对应着沉降之初时的1950s,137Cs峰值对应沉降最多的年份—1963年,1956年Chernobyl事件使北半球的部分地区的泥沙剖面中存在一较小的峰值。137Cs的剖面分布特征产生了这几个记年时标,根据这几个时间标尺可以计算不同时期沉积环境的泥沙平均沉积速率。137C s计算土壤净产沙量的原理是:测定研究区137Cs的含量和空间分布,并与该区的137Cs沉降背景值比较,建立土壤侵蚀、沉积137Cs含量之间的定量关系,可计算自1950年来土壤的平均净侵蚀和沉积速率, 即侵蚀强度的空间分布,然后通过区内沉积和侵蚀面积的计算,得到研究区的土壤的净侵蚀率。利用上述原理,可将137Cs进行泥沙估算[6~8]。Owens等[8]应用137Cs法研究英国对Start河流域时,认为农耕地仅25%的侵蚀量被输送出去,他假设流域总侵蚀量等于湖泊沉积量、田间沉积量及河漫滩储存量之和,得到该研究流域的沙帐为:土壤总侵蚀量为80tkm-2yr-1,其中田间沉积占总量的26%、河漫滩沉积量占38%、湖泊泥沙量为36%。
  由此可见,137Cs法能方便地比较过去几十年来平均侵蚀量、产沙量及其之间的相互关系,为流域泥沙预算提供了一比较快速、简便的新方法;但结果还比较粗略,运用137Cs法时应考虑137Cs在泥沙剖面的沉积后迁移、泥沙颗粒分选等因素并进行校正。
  2 泥沙来源的历史变化
  2.1 泥沙来源的确定方法
  小流域泥沙来源的研究方法可以概括为:传统方法、现代地球化学方法及现代的核素示踪法。
  传统的泥沙来源确定是用一系列直接监测技术,这些监测技术包括:潜在泥沙来源区的目测评价[9],调查侵蚀痕迹[10];用航片和数字地形图、GIS软件分析泥沙来源[11];侵蚀针[12]?、剖面测 量计[13]、光电侵蚀针体系[14]等。另外,河流含沙量可以用单个子流域 的泥沙相对贡献来确定[15]。然而 ,利用上述方法虽然是最有效和接近实际的手段,但往往会因人为因素、客观条件及经费的限制 ,难以保证长时间采用和空间所有代表性的资料和数据的完整采集,因而得到的结果不具有连续性,一般不能为重现泥沙 的起源提供有益的历史记录。
  现代地球化学方法(又称指纹法),即利用保存在泥沙剖面中的各种地球化学记录,确定泥沙源地的类型及其空间分布。应用的参数包括以下几种类型:矿物磁性参数、地球化学组成参数(如Fe、Ca、Cr、Cu、K、Mg、Na、Ni、Sr、Zn、Mn、Al及P的各种形式等)、有机质参数(如有机炭、有机氮等)、放射性同位素参数(137Cs、62a、210ex等)和物理参数(如颗粒粒径)。
  核素示踪方法是近几十年来才开始使用的一门新技术,它是利用核素的稳定性、与土壤颗粒的紧密结合性、生物的低吸收性等特性加以应用的。下面对示踪法研究泥沙来源的进展略加评述。
  2.2 核素示踪法研究泥沙来源
  现代核素示踪方法包括稳定性稀土元素(REE)示踪法和放射性核素示踪法。REE示踪法是80年代中后期起来的一门新技术,国内田均良等人[16]在国内首次将REE示踪法应用于黄土区土壤侵蚀垂直分布的研究,石辉[17]利用人工模拟降雨发现,REE示踪法可以较好地示踪小流域泥沙来源,能够有效地说明小流域侵蚀产沙的时空分布。常用的放射性示踪核素主要 包括7Be,137Cs,210Pb和226Ra/232Th,这些核素在土壤剖面中具有独特的垂直分布特征 及分布深度,如7Be土壤表层的渗透深度一般为几毫米[18],最大不超过二十毫米[19],210Pbex主要分布在表层0~20cm内,且在土壤剖面中随深度呈指数形式减少,137Cs一般主要分布在表层30 ~40cm内[20,21],而不同的地质区则具有不同的226Ra和232Th含量。因此,根据核素的分布特征可以应用单一核素或两种、三种核素复合示踪泥沙来源。70年代初,Ritchie等人[22]用137Cs法计算了Mississippi河北部三个小流域中不同土地利用类型侵蚀泥沙进入水库的泥沙量;其后,Lou ghran[23]、Walling[24]等都用137Cs法研究了小流域泥沙来源。1988年,Burch等人[25]基于7Be和137Cs在土壤剖面中不同的分布特征,提出了应用7Be和137Cs两种核素复合示踪确定和预测集水区的泥沙来源,但他没有将其定量化;Olley等[26]认为不同泥沙来源区具有不同的226Ra/232Th比值,若河流泥沙中该比值发生了变化,则说明其泥沙来源也发生了变化;He等[27]则利用210Pbex、137Cs和226Ra三种核素的数值混合模型,定量说明了Culm河泥沙的三个来源的相对贡献率;Wallbrink[28]等在Burch的基础上,将210Pbex也应用进去,以区分片蚀和沟蚀为主的两个土壤侵蚀过程及其产沙量,但这些大多限于定性地提出这些方法,而未加以实际应用;后来,Wallbrink[29]应用137Cs和210Pbex研究了Murrubidgee河中游的泥沙源地和各自的贡献率,他还根据泥沙密度及泥沙量与河道长度的关系,泥沙来源及核素含量的变化,推断河道中细粒物质的滞留时间及悬浮泥沙分离的过程;Wallbrink[30]还提出了用7Be、137Cs和210Pbex复合示踪研究不同土壤侵蚀方式(面蚀、浅细沟侵蚀、深细沟侵蚀及沟蚀)下泥沙起源的土壤剖面深度。多核素复合示踪研究泥沙来源的精度应该比单核素高,但其存在研究范围受到局限及与其他方法一样,还存在如何进行泥沙输移分选作用的校正等问题,这些问题在实际应用都值得注意和进一步研究。国内张信宝于80年代末应用137Cs法定性地研究了山西羊道沟小流域各地貌单元侵蚀强度的相对强弱,他将沟壑区137Cs对沟口坝库淤泥中137Cs的贡献率视为零,利用简单的配比公式,半定量地得到梁峁坡和沟壑区泥沙对沟口泥沙的相对贡献率[31]。其后杨明义[32]、文安邦等[33]都利用137Cs定量研究小流域泥沙来源。单一核素示踪得到的结果相对来说比较粗糙,利用多种放射性核素复合示踪研究小流域内各地貌单元的产沙量,国内还没有人进行研究过。 2.3 指纹法确定泥沙来源

  最初指纹法的应用是基于对单一诊断指纹(参数)的定性解释。但单一诊断参数在应用中存在以下两个问题:一是单一参数往往难以完全获得,另一个是非源地泥沙的混合将影响结果的精度。因此,在最近十来年中,人们倾向于用几个诊断特性复合的组合指纹法,可以减少非源地泥沙混合的影响和区分范围更大的泥沙潜在来源。

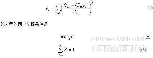
  组合指纹法确定泥沙来源的基本步骤是[34]:(1)测定可能的泥沙源地土壤中的各种地化特性,用Kruskall?wallis检验评价各单个指纹特性区分源地的能力(即各种 地化特性的权重),选择源地之间呈显著差异的指纹特性;(2)应用逐步判别分析统计程序,确定源地指纹特性的最佳组合;(3)应用多元混合模型,定量计算各泥沙源地的相对贡献率。模型由一组线性方程组成,通常用最小二乘法来解(即使方程的残差平方和最小),方程可以表示为

  

  

  式中Res为线性方程的残差平方和,Cssi为泥沙样品中示踪特性i的浓度,Csi为s源地示踪特性i的浓度,P?s为s源地的相对贡献率。?

  当然,方程(1)只是最基本的表达式,可以根据需要进行泥沙的粒度、有机质含量等的校正。

  利用组合指纹法的原理,Coffins[35]、Walling等[36]研究了英国几条河流中悬浮泥沙的来源。Collins等通过采集不同季节和洪水事件的不同时刻的悬浮泥沙样,确定Exe河和Severn河流域三大主要地质地层区对泥沙贡献的空间定量变化。Walling等研究了1994~1997年这一时段内Ouse河及其主 要支流Wharfe河悬浮泥沙的来源,他通过建立不同支流的指纹特性,确定了不同土地利用类 型的表层土与河岸侵蚀、不同地质地层区对各支流泥沙的贡献,同时还得到各支流对干流泥 沙的贡献。这种方法的优点是能定量解决大流域内泥沙的起源信息;缺点是河流泥沙样的采集(特别是人工采集)很难代表流域内泥沙的整个变化过程,特别是洪水时期河流泥沙特性显著变化,正确确定采样的次数和采样时间间隔是个非常关键的问题。

  2.4 泥沙来源变化及其包含的环境信息

  过去不同时期内泥沙的来源包含着许多环境和人为环境的历史变化信息,而过去时段内的泥沙来源又不可能用上述现场取河水泥沙样的办法来确定,同时长时期的泥沙连续监测、测量也是不可能的。因此,能否找到稳定的泥沙沉积物,利用储存在沉积物中的信息确定泥沙沉积的年代和泥沙来源的时间变化是解决这一问题的关键。在河道系统中输送的泥沙一般有两个重要的沉积地点: 河漫滩和河床。一般来说,细粒泥沙在河床中储存的时间很短,很可能不到一年时间又重新被启动、运移,而河漫滩上沉积的泥沙储存的时间却长的多,可以达100~1000年。Owens等 [37]比较了苏格兰Tweed河主要河道系统中泥沙在河漫滩和河床中细粒泥沙的沉积量后发现,两者的沉积量分别占年细泥沙输移量的40%和4%,而Walling等[38]认为英国Ouse河和Wharfe河的溢岸泥沙分别为39%和49%,而两者的河床中储存的泥沙只占总量的10%和8%。由此可见,河漫滩沉积为河道泥沙输送损失的一个重要场所,且沉积以后相对稳定,研究河漫滩沉积物的来源可以明确河流泥沙来源的历史变化。

  过去泥沙来源的信息可以用组合指纹法和核素示踪法相结合来确定,即利用137C s、210Pbex等核素确定泥沙沉积的年代,然后利用指纹法确定不同时期沉 积的泥沙来源。如Owens等[39]测定了Ouse河及其三个主要支流泥沙剖面中137Cs和210Pbex的剖面分布特征,根据137Cs和210Pbex的记年原理,确定泥沙的沉积年代和自1963年以来30余年来和自19世纪末20 世纪初以来100年的泥沙沉积速率,虽然河漫滩横断面沉积速率的空间变化较大,但表现出 随离河床距离的增大而减小的趋势,某一横断面的沉积速率可以用其平均值来表示。Owens 发现同一地点30年与100年的平均沉积速率非常近似,表明过去100年来和悬浮泥沙通量没有发生重大变化;然后在流域内适当取样,测定土样和泥沙样的各种物理和化学特性,依照前面所述的组合指纹法,用数学混合模型求解,得到19世纪末20世纪初至1960年的泥沙主要来自表层土,最近几十年来底层土和河道侵蚀产生的泥沙贡献率增大的结论。因此根据泥沙来源的历史变化,可以推断流域内的土地质亚区在不同时期对各河流泥沙的贡献率也可定量地表达出来,结合各地质亚区在流域内的利用及土地管理措施的历史变化,而通过对流域土地利用与管理历史的调查,可以评价环境变化对流域产沙的影响。

  Collins等[40]也对英国的其他河流的泥沙信息作了相似的研究。他利用137Cs的记年结果,估算了河漫滩的平均沉积速率并将此结果加以外推,同时利用组合指纹法得到了Exe河和Severn河流域55年和100年来各个年代各种地质亚区对相对泥沙贡献率的动态变化,这种变化受内因(如极端水文事件)和外因(如土地利用变化)的控制。沉积泥沙源地类型及空间变化所包含的丰富的环境信息,为预测和建立合理的设施提供了基础。但上述方法也存在一些问题:如Owens的研究中认为百年来河流泥沙通量没有变化,由于泥沙输送过程的复杂性,并不能说明上游侵蚀速率没有发生重大变化;30年与100年来沉积速率相似也许因为两个时间段并不是排斥的,100年也包括了1963年以来的30余年,某一短时期内由于单个洪水事件沉积速率突然变化,多年平均沉积速率并不能反映;另外,Collins的沉积速率外推结果也存在一定的问题,虽然能比较细致地反映泥沙来源的历史变化,但由于沉积速率的外推结果不一定准确,由此得到的年代的精度值得商榷。

  同样,湖泊沉积物通常因保存着自然变化、人类扰动等的信息而成为环境变化的历史记录者。入湖泥沙的沉积速率用核素记年方法确定,并推算流域的产沙量,以此评价人类扰动作用的影响。

  3 新方法需解决的问题及应用前景

  长时间尺度的环境变化对土壤侵蚀、泥沙产量的影响可以用第四纪研究方法来解决,但百年来或最近几十年来环境变化的侵蚀效应,却难以用第四纪研究方法解决。210Pbex、137Cs核素示踪技术与组合指纹法能明确近代泥沙在流域中的分配状况、重建泥沙通量及泥沙来源的历史信息,为侵蚀环境治理重点的选择提供科学依据。但目前还需提高核素示踪技术的精度,如应注意核素分布的空间分 异性,正确采样并确保样品具有统计学意义;利用核素建立泥沙剖面的年代时,要考虑各种因素引起的误差,并用几种确定年代学方法互相验证;泥沙沉积速率的计算应考虑颗粒校正和压实校正;可以用核素示踪泥沙来源与组合指纹法确定泥沙来源相结合,提高可信度;进一步分析流域侵蚀环境变化与泥沙来源、产沙量变化之间的关系,建立影响因子(如土地利用变化、气候变化、构造运动等)与 结果之间的半定量关系,分析各因子的相对重要性,对生态环境建设的决策具有重要的意义。

  我国黄土区由于其特殊的降雨、地貌条件,从长期来看,流域侵蚀与产沙基本达到平衡 ,泥沙输移比约等于1[2],于千沟万壑中建立的淤地坝,在拦沙淤地方面发挥了重大作用,虽然很多小型坝被冲毁,但大多数骨干坝依然完整,坝库沉积物相对稳定,可以利用坝库这一稳定的沉积环境, 研究流域产沙、泥沙来源与侵蚀环境变化之间的关系,预测流域的侵蚀、产沙与侵蚀环境变化,评价流域整治效应。

 
  [1] Food and Agriculture Organization, United Nations. 1979.A provisional methodolog y for soil degradation assement. Rome,Italy.
  [2] 陈浩.黄土丘陵沟壑区流域系统侵蚀与产沙的关系[J].地报,2000 ,55(3):354-363.
  [3] Dietrich, W.B., and T.Dume,1978. Sediment budget for a small ca tchment in mountain terrain. Zeitschrift fur Geomorpholigie, Supplememtband. 29: 191-206.
  [4] Swanson, F.J., R.J.Janda, T.Dune, and D.N.Swanston, 1982.Sedime nt budgets and routing in forested drainage basins. General Technical Report PNW -141,Forest Service, U.S.Department of Agriculture, Portland, Oregon.
  [5] R.Lal 主编.土壤侵蚀研究方法[M].黄河水利委员会宣传出版中心译.科 学出版社.1991.P60.
  [6] Loughran, R.J., Campbell, B.L., Shelley, D.J.,& Elliott, G.L. De v eloping a sediment budget for a small drainage basin in Australian. Hydrol.Proce ss,1992,6:115-131.
  [7] Foster,I.D.L., Owens,P.N.,and Walling, D.E.Using reservoir depos its to reconstruct changing sediment yields and sources in the catchment of the Old Mill Reservoir, South Devon, UK,over the past 50 years. Hydrol.Sci.J.1994,39 :347-368.
  [8] Philip N.Owens, Desmond E.Walling, Qingping He, et al. The use o f caesium-137 measurements to establish a sediment budget for the Start catchmen t, Devon, UK. Hydrological Science/|Journal/|des Sciences Hydrologiques,1997,42( 3):405-423.
  [9] Wilson, P.,Clark,R., McAdam, J.H., and Cooper, E.A., 1993.Soil e rosion in the Falkland Islands:an assessment.Appl.Geogr.,13;329-352.
  [10] Boardman, J., and Robinson, D.A., 1985.Soil erosion, climatic vagary an d agriculture change on the Downs around Lewes and Brighton, Autumn 1985.Appl.Ge ogr.,5:243-258.
  [11] Ritchie, J.C.,Grissing, E.H., Murphy,J.B., et al. 1994.Measuring channel and gully cross ections with an airborne laser altimeter. Hydrol.Process.,8:2 37-243.
  [12] Davis, R.J., and Gregory, K.J., 1994. A new distinct mechanism of river bank erosion in a forested catchment. J.Hydrol.,157:1-11
  [13] Lam, K.C., 1977. Patterns and rates of slopewash on the badlands of Hong Kong[J]. Earth Surf.Process.,2:319-332.
  [14] Lawler, D.M., 1991.A new technique for the automatic monitoring of erosi on and deposition rates. Water Resour.Res.,2:2125-2128.
  [15] Walling, D.E., and Webb, B.W., 1987.Suspended load in gravelbed rivers: UK experience.In:C.R.Thorne, J.C.Bathurst and R.D.Hey(Editors), Sediment Transpo rt in Gravel ed Rivers. Wiley,Chichester,pp.691-723.
  [16] 田均良,周佩华,刘谱灵等.土壤侵蚀REE示踪法研究初报[J].水土保持学报,19 92,6(4):23-27.
  [17] 石辉.利用REE示踪法研究小流域泥沙来源.院水利部水土保持研究所199 5届硕士研究生毕业.
  [18] J.M.Olley, A.S.Murry, et al.. The use of fallout nuclides’’as chronometer s. Quaterary dating workshop,1999:51-59.
  [19] P.J.Wallbrink, and A.S.Murry. Distribution and variability of 7Be in soils under different surface cover condition processes. Water resources rese arch,1996,2:467-476.[20] He,Q., and D.E.Walling. The distribution of fallout137Cs and?210Pb in undisturbed and cultivated soils. Applied Radiation and Isot opes,1997,48:677-690.
  [21] Wallbrink, P.J., and A.S.Murry. Measuring soil loss using the inventory ratio of 210Pbex to?137Cs. Soil Science Society of America J ournal, 1996,60(4):1201-1208.
  [22] Ritch, J.C., Sprabeery, J.A., et al.. Estimating soil erosion from the r edistribution of fallout 137Cs. Soil Sci.Soc.Am.Proc.,1974,38:137-139. 
  [23] Loughran, R.J., and B.L. Campbell. The identification of catchment sedim ent sources[A]. In:I.L.Foster(ed.), Sediment and water quality in catchments[ C]. John Wiley and Sons, Chichester,1983:189-205.
  [24] Walling, D.E., and J.C.Woodward. Tracing sources of suspended sediment i n river basins. Marine and Freshwater Research, 1995,46:327-336.
  [25] Burch, G. J. Detection and prediction of sediment sources in catchments :use of 7Be and?137Cs. Paper presented at hydrology and water re sources symposium, inst. Of Eng.,Aust.Nati.Univ.,Canberron,1988.
  [26] Olley, J.M., A.S.Murray, and P.J.Wallbrink. Identifying sediment in a gu llied catchment using natural and anthropogenic radioactivity. Water Resouces Re search, 1993,29:1037-1043.
  [27] Q.He, et al.. Determination of suspended sediment provenance using unsup ported lead/|210 and radium-226: A numerical mixing model approach. In:sediment and water quality in river catchments, edited by I.D.Foster, et al. pp:207-227, John Wiley,New York,1995.
  [28] P.J.Wallbrink, et al. Use of fallout radionuclides as indicators of eros ion process. J.Hydrol.Processes, 1993,7:297-304.
  [29] P.J.Wallbrink, et al. Determing sources and transit times of suspended s ediments in the Murrumbidgee River, New South Wales, Australia, using fallout?137Cs and 210Pb. Water resources research, 1998,vol.34,no.4:87 9-887.
  [30] P.J.Wallbrink, et al.. Relating suspended sediment to its original soil depth using fallout radionuclides. Soil Sci.Soc.Am.J., 1999,vol.63,no.2:369-378.
  [31] 张信宝等.黄土高原小流域泥沙来源的137Cs法研究[J].科学通报,19 89,(3):210-213.
  [32] 杨明义,田均良,刘谱灵等.应用137Cs研究小流域泥沙来源[J].土壤 侵蚀与水土保持学报,1999,5(3).
  [33] 文安邦,张信宝,Walling, D.E. 黄土丘陵区小流域泥沙来源及其动态变化的137Cs法研究[J].地理学报.1999,53(增):124-133.
  [34] Collins, A.L.,Walling,D.E., and Leeks, G.J.L. Composite fingerprinting of the fluvial suspended sediment:A case study of the Exe and Severn River basin s, UK.In:Proceedings CNRS Conference on Floods,Slopes and River Beds,Paris,1995. Geomorphologie Relief Processes Environment,1996,2:41-54.
  [35] A.L.Collins, D.E.Walling, and G.J.L.Leeks. Use of composite fringerprin ts to determine the provenance of the contemporary suspended sediment load trans ported by rivers. Earth surface processes and landforms,1998,23:31-52.
  [36] Desmond E.Walling, Philip N.Owens, and Graham J.L.Leeks. Fingerprinting suspended sediment sources in the catchment of the River Ouse,Yorkshire,UK.Hydro l.Process.1999,13:955-975.
  [37] Philip N.Owens,Walling, D.E., and Leeks,G.J.L. Deposition and storage of fine-grained sediment within the main channel system of the River Tweed, Scotl and. Earth Surface Processes and Landforms, 1999,24:1061-1076.
  [38] Walling, D.E.,Owens,P.N., and Leeks, G.J.L. The role of channel and f loodplain storage in the suspended sediment budget of the River Ouse, Yokshire, UK.Goemorphlogy, 1998,22:225-242.
  [39] Philip N.Owens, D.Desmond E.Walling, and Leeks, G.J.L. Use of floodplain sediment cores to investigate recent historical changes in overbank sedimentati on rates and sediment sources in the catchment of the River Ouse, Yorkshire,UK C atena,1999,36:21-47.
  [40] A.L.Collins, E.Walling, and Leeks, G.J.L. Use of geochemical record pres erved in floodplain deposits to reconstruct recent changes in river basin sedime nt sources. Geomorphology,1997,19:151-167.
  [41] Marco Cisternas, Alberto Araneda, Patricia Martinez, and Sergio Perez. Effects of historical land use on sediment yield from a lacustrine watershed in catchment in central Chile. Earth Surface Processes and Landforms,2001,26;63-76 .

图片内容