FIR数字滤波器在TMS320VC54xDSP上的实现
来源:岁月联盟
时间:2010-08-30
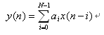
FIR滤波器的结构如图1所示:
……由上可见,虽然循环缓冲区中新老数据不很直接明了,但是利用循环缓冲区实现Z-1的优点还是很明显的:它不需要数据移动,不存在一个极其周期中要求能进行一次读和一次写的数据存储器,因而可以将循环缓冲区定位在数据存储器的任何位置(线性缓冲区要求定位在DARAM中)。实现循环缓冲区间接寻址的关键问题是:如何使N个循环缓冲区单元首位相邻?要做到这一点,必须利用BK(循环缓冲器长度)器存器实现按模间接寻址。可用的指令有:… *ARx+% ;增量、按模修正ARx:addr=ARx,ARx=circ(ARx+1)… *ARx-% ;减量、按模修正ARx:addr=ARx,ARx=circ(ARx-1)… *ARx+0% ;增AR0、按模修正ARx:addr=ARx,ARx=circ(ARx+AR0)… *ARx-0% ;减AR0、按模修正ARx:addr=ARx,ARx=circ(ARx-AR0)… *+ARx(lk)% ;加(lk)、按模修正ARx:addr=circ(ARx+lk),ARx=circ(ARx+AR0)其中符号“circ”就是按照BK(循环缓冲器长度)器存器中的值(如FIR滤波其中的N值),对(ARx+1)、(ARx-1)、(ARx+AR0)、(ARx-AR0)或(ARx+lk)值取模。这样就能保证循环缓冲区的指针ARx始终指向循环缓冲区,实现循环缓冲区顶部和底部单元相邻。循环寻址的算法可归纳为:if 0 index + step < BK: index = index + stepelse if index + step BK: index = index + step – BKelse if index + step < BK: index = index + step + BK上述算法中,index是存放在辅助寄存器中的地址指针,step为步长(亦即变址值。步长可正可负,其绝对值晓予或等于循环缓冲区长度BK)。依据以上循环寻址算法,就可以实现循环缓冲区首位单元相邻了。 为了使循环缓冲区正常进行,除了用循环缓冲区长度寄存器(BK)来规定循环缓冲区的大小外,循环缓冲区的起始地址的k个最低有效位必须为0。K值满足2k>N,N微循环缓冲区的长度。4 FIR滤波器在DSP上的实现对于系数对称的FIR滤波器,由于其具有线性相位特征,因此应用很广,特别实在对相位失真要求很高的场合,如调制解调器(MODEM)。例如:一个N=8的FIR滤波器,若a(n)=a(N-1-n),就是对称FIR滤波器,其输出方程为:y(n)= a0x(n)+ a1x(n-1)+ a 2x(n-2)+ a 3x(n-3)+ a 3x(n-4)+ a 2x(n-5)+ a1x(n-6)+ a0x(n-7)总共有8次乘法和7次加法,如果改写成: y(n)= a0 [x(n)+ x(n-7)]+ a1 [ x(n-1)+ x(n-6)]+ a 2 [ x(n-2)+ x(n-5)]+ a 3 [ x(n-3)+ x(n-4)]则变成4次乘法和7次加法。可见,乘法运算的次数减少了一半。这是对称FIR的又一个优点。对称FIR滤波器C54X实现的要点如下:(1)数据存储器中开辟两个循环缓冲算区:新循环缓冲区中存放新数据,旧循环缓冲区中存放老数据。循环缓冲区的长度为N/2。 (2)设置循环缓冲区指针:AR2指向新循环缓冲区中最新的数据,AR3指向旧循环缓冲区中最老的数据。 (3)在程序存储器中设置系数表。 (4)AR2+ AR3
AH(累加器A的高位),AR2-1
AR2,AR3-1
AR3 (5)将累加器B清零,重复执行4次(i=0,1,2,3):AH*系数ai+B
B,系数指针(PAR)加1。AR2+ AR3
AH,AR2和AR3减1。 (6)保存和输出结果。 (7)修正数据指针,让AR2和AR3分别指向新循环缓冲区中最老的数据和旧循环缓冲区中最老的数据。 (8)用新循环缓冲区中最老的数据替代旧循环缓冲区中最老的数据,旧循环缓冲区指针减1。 (9)输入一个新的数据替代新循环缓冲区中最老的数据。 重复执行第(4)至(9)步。 在编程中要用到FIRS(系数对称有限冲击响应滤波器)指令,其操作步骤如下: FIR Xmem,Ymem,Pmem 执行 Pmad
PAR 当(RC)≠0 (B)+(A(32-16))×(由PAR寻址Pmem)
B ((Xmem)+(Ymem))<<16
A (PAR)+1
PAR (RC)-1
RC FIRS指令在同一个及其周期内,通过C和D总线读2次数据存储器,同时通过P总线读一个系数 本文对FIR滤波器在DSP上的实现借助了MATLAB,其设计思路为:(1)MATLAB环境下产生滤波器系数和输入的数据,并仿真滤波器的滤波过程,可视化得到滤波器对动态输入数据的实时滤波效果;(2)将所得滤波器系数直接导入CCStudio中,再把滤波器的输入数据作为CCStudio设计的滤波起的输入测试数据存储在C54x数据空间中; (3)在CCStudio环境下结合FIR滤波的公式适用汇编语言设计FIR滤波程序,使用MATLAB产生的滤波器系数和输入测试数据进行,把输入数据和滤波结果借助CCStudio菜单中的View/Graph/Time/Frequency子菜单用图形方式显示出来(结果如图2);
图2 (a)输入数据(Input)
图2(b)滤波后的数据(Output) 将FIR滤波的入口数据地址改为外部I/O空间或McBSP口的读写数据地址,或数据空间内建缓冲地址;将FIR滤波的结果数据地址改为外部I/O空间或McBSP口的输出数据地址,或数据空间内建缓冲地址,则完成了基于C54xDSP的实时数据FIR滤波程序。:[1] 程佩青.数字信号处理教程[M].北京:清华大学出版社 1999年[2] 孙宗瀛,谢鸿林.TMS320C5xDSP原理设计与应用[M].北京:清华大学出版社.2002年[3] 陈亚勇等 编著.MATLAB信号处理详解[M].北京:人民邮电出版社.2001年[4] Texas Instruments.TMS320C54x Assembly Language Tools User’s Guide[5] Texas Instruments.TMS320C54x DSP Programmer’s Guide