关于库存设备维修管理决策的新方法
作者:何晓晖 王强 高勇 魏锋利
关键词:仓库管理 检修 决策
论文摘要:分析了仓库维修管理中存在的问题,确定了维修管理的目标,通过建立库存设备维修管理的模型,提出了一种管理决策的新方法。
仓库是用于储存物资设备的设施和机构,是物资设备储存供应的基地。物资设备储存是由其生产部门到使用单位的整个供应链中的一个重要环节,它既是社会物资供应中断时的平衡手段,也是提高管理效益的必然途径.在技术飞速的今天,社会物质产品极大丰富,仓库的地位和作用显得日益重要。而如何提高仓库的管理水平和质量,更好的为社会服务也成为我们面临的新问题。
1仓库管理目标的确定
在库存的设备中,许多是仅在紧急情况下使用的设备(如消防设备和许多军用武器装备等〕,尽管这些设各在服役期中使用并不多,甚至从未使用过,仅作为库存设备存在。但作为设备储备,一旦有紧急情况发生,它们就会发挥巨大的作用。而这些设各在储存过程中受环境或自身因素的影响会发生劣化,在投入使用时就存在着失效的危险,使设备不能充分发挥其固有的技术性能。正是因为这些特殊性,使这类设备成为仓库管理工作的重中之重。
检修是解决这一问题的有效技术手段。通过对设备进行适度的检查和修理,尽可能的把故障消灭在萌芽状态,就可以最大限度的降低设备投入使用时失效的概率。对检修工作而言,最关键的问题是确定检修的间隔期。若检修太频繁,会导致维修“过剩”,造成不必要的人员和物资的浪费:检修间隔太长,又会导致维修“不足”,达不到检修的目的。因此,库存设备的管理目标应为确定在检修工作中使设备单位时间内的可用率达到最高的检修间隔期t.
2检修间隔期的确定
传统的方法是根据机件的磨损和经验来大致确定检修间隔期,很明显用这种方法确定的并非理想的间隔期。为确定最优的检修间隔期,我们把定量技术引入到决策中,通过建立检修决策的数学模型确定最优的间隔期。
2.1几个定义
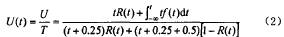
(l)设备的可用率
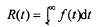
设备的可用率定义为:任意时刻,在没有事先准备的情况下执行某一任务时,设各所处的可工作状态的概率,一般用U表示。(2)可靠性函数在检修决策中,我们需要了解设备可以保持良好状态到某一时间t的概率,通常称这一概率为可靠性函数,用(l)表示。若设备的故障函数为人O,则可靠性函数为
![]()
其意义如图1中阴影部分所示:

图l可靠性函数显然,可靠性函数也就是设备在t时刻以后产生故障的概率.而设备在t时刻以前产生故障的概率为l-R(t)。
2.2建模
在检修工作中,我们认为出现故障的设备经过修理后可恢复到与新设备相同的状态,因而,对设各可按固定的间隔期进行检修。
在实际的检修中存在两种可能的工作周期:设备状态良好的周期和设备发生故障的周期,如图2所示。

其中:兀表示完成一次检查所需的时间,Tr表示完成一次修理所需的时间,I表示检修间隔期。
对于设备状态良好的周期,因在检查过程中没有发现故障,该周期中设备的可用率即为to对于设备发生故障的周期,设备的可用率可取设备的平均故障时间,该周期中设备的可用率为
则设备预期的每个周期的可用率U为

此即为仓库检修决策的模型。通过求解该模型就可以确定检修工作最优的间隔期。
3检修决策方法
3.1单一设备检修决策某仓库一库存设备,其故障率服从正态分布,均值为5个月,方差为l个月.检查一次该设备所需时间为仓25个月,即不司.25.修理一次所需时间为期0.5个月,即Tr=5。为降低设备的失效率,对其进行检修决策。由式(I)
可得![]()
对该式求最值可得出,当t=3.2600(月)时,u取最大值:u.二0.9187。即为使设备单位时间内的可用率达到最大,最优的检修间隔期应为3.26个月。
图3表示出了对于不同的检修间隔期设备可用率曲线(式(2))的分布趋势。
从图中,可以直观的看出不同的检修间隔期对设备可用率的影响,从一个侧面证明对设备检修间隔期进行最优决策是必要的。同时,也可以看出曲线在最优值附近的变化趋势十分平缓,在这种情况下,对设备进行检修工作时,是否一定取最优的间隔期就显得并不十分重要。对本例而言,当t=3(月)时,u二0.9173.可见检修间隔期取3.2600个月还是3个月对设备的可用率基本无影响。也就是说如果指定一合适的可用率,就存在一与之相对应的最优检修间隔区,如图3中所示。对本例,若取护0.91,则最优检修间隔区为:(2.6,3.8).这样在设备检修工作安排上:就有许多灵活的余地,这无疑给管理工作带来许多方便。因此,单一设备的检修决策方法为:首先建模,求解出最优的间隔期及最大可用率,然后确定最优的检修间隔区,再根据单位的实际情况在检修间隔区中选取一合适的间隔期作为最优的检修间隔期.
3.2多个设备检修决策
确定多个设备的检修方针,首先要按3.1中所示的方法确定每个设备最优的检修间隔区Li(i=1,2,3,…n)。若多个设备的检修间隔区的交集为空,即
则必需根据实际情况,针对每个设各逐一确定设备的检修间隔期.若多个设备的检修间隔区的交集不为空,即
。特巾。这时对某一设备而言存在两种情况。一种是该设备与其它设备的检修间隔区无交叉:另一种是该设备与其它设备的检修间隔区有交叉。
对满足第一种情况的设备,其检修间隔期需单独确定.对满足第二种情形的设备,设它与m套设备存在交叉,则它们的检修间隔区必存在一交集L,称为交错区(如图4)。这时就可以同时确定这m套设备的检修间隔期。即根据实际情况在L中选取合适的检修间隔期,作为这m套设备的共同的检修间隔期。其示意图如图4所示(以两个设备为例)。

4结语
从以上的分析可看出,应用本决策方法可最大限度的提高库存设备单位时间内的可用率,确保在紧急情况下库存设备能发挥其最大性能,减小不必要的损失,具有十分重要的现实意义。
资料:
[1]wh1te,D.J.,DynamieProgr呱ingoliverandBoyd











